-
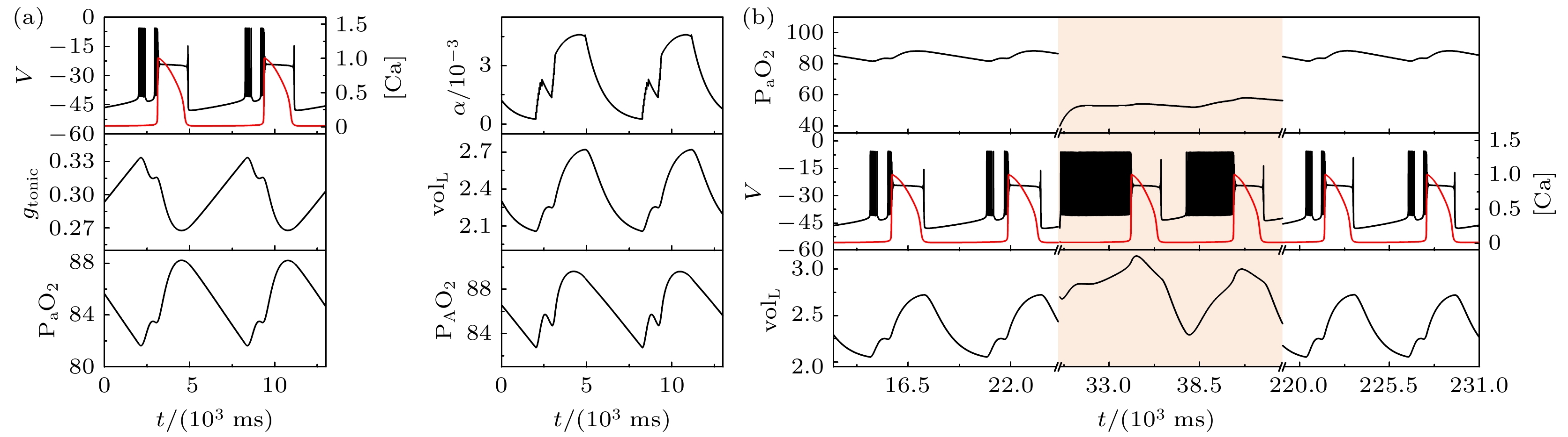
Pre-Bötzinger复合体是哺乳类动物呼吸节律起源的关键部位. 外周化学感受器可通过监测血液中氧气和二氧化碳浓度的变化, 显著影响呼吸节律. 本文基于pre-Bötzinger复合体神经元, 同时考虑运动池、肺容积、肺氧、血氧以及化学感受器等因素, 建立了电磁感应驱动的闭环呼吸控制模型. 研究发现, 在不同电磁感应驱动下, 系统的缺氧反应受到磁流反馈系数的控制. 通过分岔分析和数值模拟, 揭示了磁流反馈系数对呼吸节律的恢复能力具有显著影响, 并阐明了产生不同缺氧反应的动力学机制. 此外, 研究发现在电磁感应驱动下, 闭环系统中混合簇放电节律能够自动恢复的条件为缺氧扰动前后的分岔结构完全相同; 而当缺氧扰动前后的分岔结构不同, 系统中混合簇放电节律则不能自动恢复. 对于较轻电磁感应驱动下不能自动恢复的情形, 适当增大磁流反馈系数能使系统自动恢复, 这与Hopf分岔、极限环的鞍结分岔密切相关. 本研究有助于理解呼吸中枢与外周化学感受反馈的相互作用对呼吸节律的影响以及外部感应对缺氧反应的控制作用.The pre-Bötzinger complex is a crucial region for generating respiratory rhythms in mammals. Peripheral chemoreceptors have a significant influence on respiratory rhythm by monitoring changes in blood oxygen concentration and carbon dioxide concentration. This study introduces a closed-loop respiratory control model, which is driven by electromagnetic induction and based on the activation of pre-Bötzinger complex neurons. The model incorporates various factors including the motor pool, lung volume, lung oxygen, blood oxygen, and chemoreceptors. The response of the system subjected to the same hypoxic perturbation under different electromagnetic induction is studied, and the control effect of magnetic flux feedback coefficient on the recovery of mixed rhythms is investigated. Using bifurcation analysis and numerical simulations, it is found that the magnetic flux feedback coefficient has a significant influence on the ability to recover respiratory rhythm. The dynamic mechanism of the magnetic flux feedback coefficient on different hypoxic responses in closed-loop systems are revealed. Dynamic analysis indicates that under certain electromagnetic induction, the mixed bursting rhythm in the closed-loop system can autoresuscitate if the bifurcation structure before and after applying hypoxia perturbation are completely identical. However, when the bifurcation structure before and after applying hypoxia perturbation are different, the mixed bursting rhythm in the system cannot autoresuscitate. In addition, for the cases where automatic recovery is not achieved under mild electromagnetic induction, increasing the magnetic flux feedback coefficient appropriately can lead the system to autoresuscitate, which is closely related to the Hopf bifurcation and fold bifurcation of limit cycle. This study contributes to understanding the influence of the interaction between the central respiratory and peripheral chemoreceptive feedback on respiratory rhythm, as well as the control effect of external induction on the hypoxic response.
-
Keywords:
- respiratory rhythm/
- closed-loop respiratory control model/
- bifurcation analysis/
- electromagnetic induction
[1] [2] [3] [4] [5] [6] [7] [8] [9] [10] [11] [12] [13] [14] [15] [16] [17] [18] [19] [20] [21] [22] [23] [24] -
变量 $x$ ${\text{vo}}{{\text{l}}_{\text{L}}}$ $ {{\text{P}}_{\text{a}}}{{\text{O}}_{2}} $ l $ {{\text{P}}_{\text{A}}}{{\text{O}}_{2}} $ h ${v_x}$ 0.0009 0.0009 0.0019 0.0020 0.0057 变量 $x$ $\alpha $ [Ca] $ \varphi $ V n ${v_x}$ 0.0415 0.0500 0.3513 0.3601 0.4631 参数 取值 参数 取值 参数 取值 C/μF 21 EK/mV –85 $ E_{{\mathrm{L}}} $/mV –58 ${E_{{\text{Na}}}}$ 50 ${E_{{\text{tonic}}}}$/mV 0 ${g_{\text{K}}}$/nS 3.5 ${g_{\text{L}}}$/nS 2.3 ${g_{{\text{NaP}}}}$/nS varied ${g_{{\text{Na}}}}$/nS 8 ${\theta _m}$/mV –34 ${\sigma _m}$/mV –5 ${\theta _n}$/mV –29 ${\sigma _n}$/mV –4 ${\overline \tau _n}$/mV 10 ${\theta _h}$/mV –48 ${\sigma _h}$/mV 5 ${\overline \tau _h}$/mV 10000 ${\theta _p}$/mV –40 $ {\sigma _p} $/mV –6 ${K_{{\text{CAN}}}}$/(μmol·L–1) 0.74 ${n_{{\text{CAN}}}}$ 0.97 ${L_{{\text{I}}{{\text{P}}_{3}}}}$/($ {{\mathrm{p}}{\mathrm{L}}}^{-1}\cdot {{\mathrm{s}}}^{-1} $) 0.27 ${P_{{\text{I}}{{\text{P}}_{3}}}}$/($ {{\mathrm{p}}{\mathrm{L}}}^{-1}\cdot {{\mathrm{s}}}^{-1} $) 31000 $\left[ {{\text{I}}{{\text{P}}_3}} \right]$/(μmol·L–1) varied ${K_{\text{I}}}$/(μmol·L–1) 1.0 ${K_{\text{a}}}$/(μmol·L–1) 0.4 ${{\text{[Ca]}}_{{\text{Tot}}}}$/(μmol·L–1) 1.25 $\sigma $ 0.185 ${V_{{\text{SERCA}}}}$/(amol·s–1) 400 ${K_{{\text{SERCA}}}}$/(μmol·L–1) 0.2 ${f_m}$/$ {{\mathrm{p}}{\mathrm{L}}}^{-1} $ 0.000025 A/(μmol–1·L·s–1) 0.001 ${K_d}$/(μmol·L–1) 0.4 ${r_a}$/(mmol–1·L·ms–1) 0.001 ${r_d}$/(mmol–1·L·ms–1) 0.001 ${T_{\max }}$/(mmol·L–1) 1 ${V_T}$/mV 2 ${K_P}$/mV 5 ${E_1}$/($ {{\mathrm{m}}{\mathrm{s}}}^{-1} $) 0.0025 ${E_2}$/$ {{\mathrm{m}}{\mathrm{s}}}^{-1} $ 0.4 ${\text{vo}}{{\text{l}}_{0}}$/L 2 ${{\text{P}}_{{\text{ext}}}}{{\text{O}}_{2}}$/mmHg 149.7 ${\tau _{{\text{LB}}}}$/ms 500 R/($ {\mathrm{L}}\cdot {\mathrm{ }}{\mathrm{m}}{\mathrm{m}}{\mathrm{H}}{\mathrm{g}}\cdot {{\mathrm{K}}}^{-1}\cdot {{\mathrm{m}}{\mathrm{o}}{\mathrm{l}}}^{-1} $) 62.364 T/K 310 M/$ {{\mathrm{m}}{\mathrm{s}}}^{-1} $ 8×10–6 ${\beta _{{{\text{O}}_{2}}}}$/($ {\mathrm{m}}{\mathrm{l}}{{\mathrm{O}}}_{2}\cdot {\mathrm{l}}{{\mathrm{b}}{\mathrm{l}}{\mathrm{o}}{\mathrm{o}}{\mathrm{d}}}^{-1}\cdot {{\mathrm{m}}{\mathrm{m}}{\mathrm{H}}{\mathrm{g}}}^{-1} $) 0.03 c 2.5 K/mmHg 26 ${\text{vo}}{{\text{l}}_{\text{B}}}$/L 5 [Hb]/(g·L–1) 150 $\phi $/nS 0.3 ${\theta _{\text{g}}}$/mmHg 85 ${\sigma _{\text{g}}}$/mmHg 30 -
[1] [2] [3] [4] [5] [6] [7] [8] [9] [10] [11] [12] [13] [14] [15] [16] [17] [18] [19] [20] [21] [22] [23] [24]
计量
- 文章访问数:215
- PDF下载量:8
- 被引次数:0












下载:












