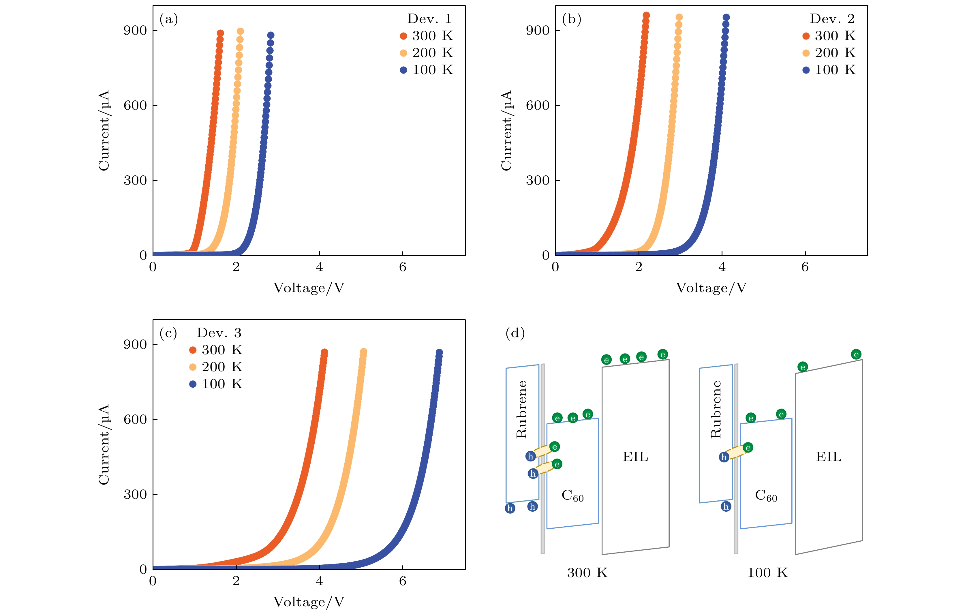
Half-band-gap turn-on characteristic is a unique photoelectric property of organic light-emitting diodes (OLEDs), and has advantage in the development of low driving voltage devices. But the physical mechanism that the electron injection layer (EIL) affects the half-band-gap turn-on characteristic has not been reported. In this work, the change from half-band-gap turn-on electroluminescence (EL) to sub-band-gap turn-on EL to normal turn-on EL is observed by regulating the electron mobility of EIL in Rubrene/C
60based devices. Three sets of devices are fabricated by using BCP (~10
–3cm
2/(V·s), Dev. 1), Bphen (~10
–4cm
2/(V·s), Dev. 2) and TPBi (~10
–5cm
2/(V·s), Dev. 3) as EIL materials. By measuring the
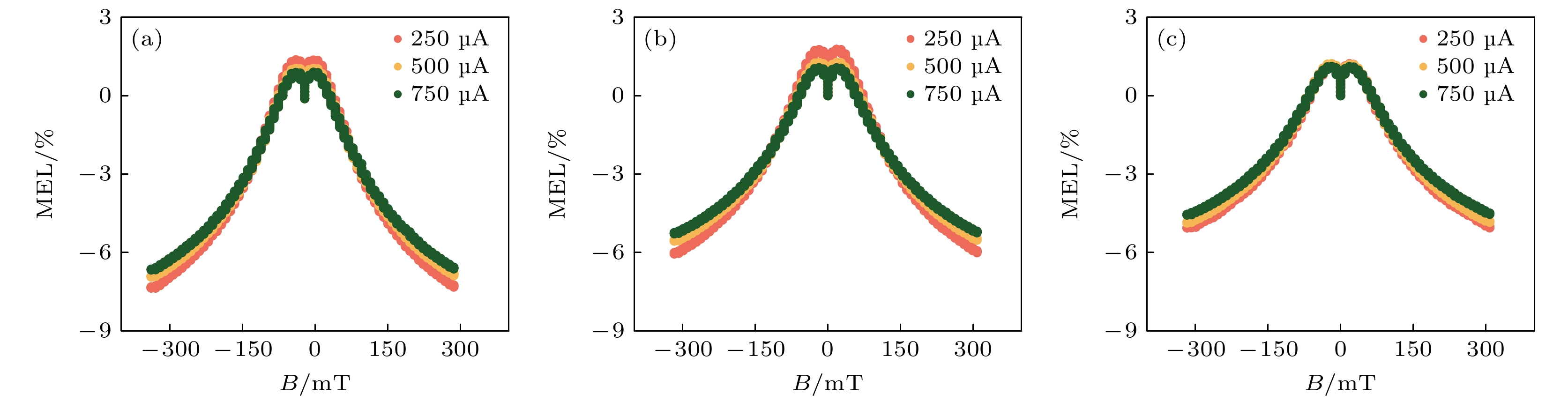
I-B-Vcurves of devices at room temperature, it is found that the turn-on voltages of devices obviously increase by an order of magnitude with electron mobility of EIL decreasing. Specifically, the turn-on voltage of Dev. 1, Dev. 2, and Dev. 3 exhibit the physical phenomena of half-band-gap turn-on (1.1 V), sub-band-gap turn-on (2.1 V) and normal turn-on (4.1 V) properties, respectively. The magneto-electroluminescence (MEL) results show that the half-band-gap turn-on characteristic of high EIL electron mobility (Dev. 1) is attributed to the triplet-triplet annihilation (TTA, T
1,Rb+ T
1,Rb→ S
1,Rb+ S
0) process which can effectively reduce the turn-on voltage. However, the half-band-gap turn-on characteristic is not observed in the devices (Dev. 2 and Dev. 3) with low carrier mobility, which can be reasonably explained by a higher voltage that is applied to the EIL with low electron mobility in order to inject more electrons. The higher voltage offsets the reduced turn-on voltage of the TTA process, resulting in Dev. 2 and Dev. 3 with sub-band-gap turn-on and normal turn-on, respectively. In addition, although the TTA process is observed in all three devices, the TTA process is stronger and the EL is higher in Dev. 1 with high EIL electron mobility. This is because a large number of triplet Rubrene/C
60exciplex states (EX
3) are formed at the Rubrene/C
60interface, enhancing the Dexter energy transfer (DET, EX
3→ T
1,Rb) process from EX
3to triplet exciton of Rubrene (T
1,Rb). That is, Dev. 1 exhibits stronger TTA process and higher EL due to the presence of a large number of T
1,Rbexcitons formed by DET process than Dev. 2 and Dev. 3. Furthermore, by measuring the
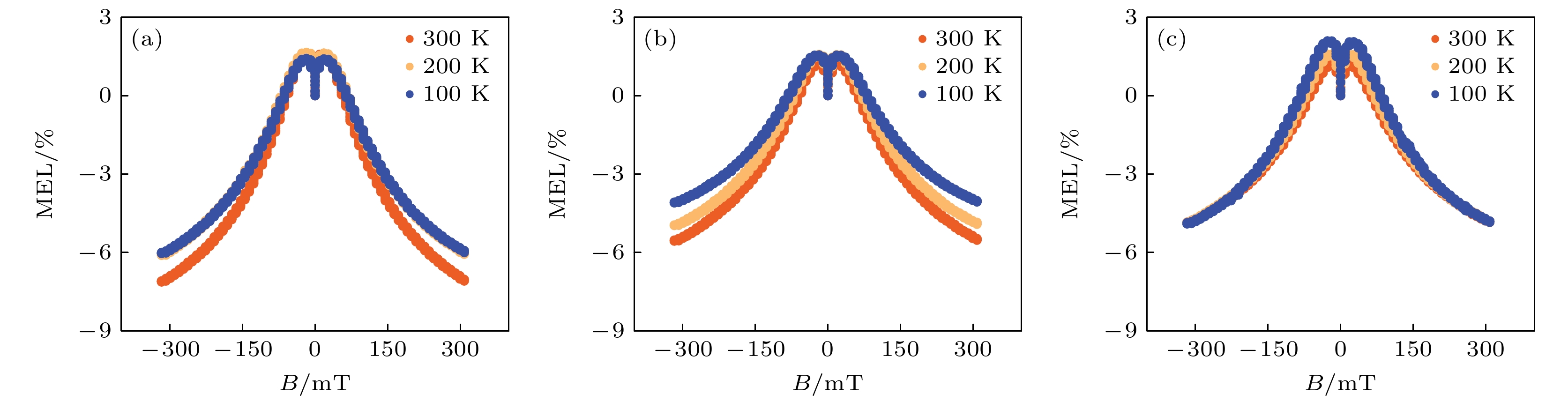
I-Vcurves of devices at low temperature, it is found that the reduced carrier mobility caused by lowering operational temperature increases the turn-on voltages of these three devices. The significantly different increases in the turn-on voltages of Dev. 1–3 at the same low temperature are due to the different influences of temperature on the electron mobility of EIL. The tradeoff between the decrease of carrier mobility and the extension of exciton lifetime makes the MEL curves present different temperature-dependent behaviors. This work further deepens the understanding of the influence of EIL electron mobility on the turn-on voltage and the related physical microscopic mechanism in Rubrene/C
60devices.