-
末态粒子的平均横动量
$\langle p_{\mathrm{T}}\rangle$ 是高能重离子碰撞实验中的一个重要观测量. 它反映了软质强子的特性和热核物质的性质, 对其研究有助于获取碰撞系统的演化信息与规律. 基于相对论重离子对撞机(RHIC)上的STAR、PHENIX实验组和大型强子对撞机(LHC)的ALICE实验组提供的金核-金核(Au+Au)和铅核-铅核(Pb+Pb)碰撞中心快度区实验数据, 唯象公式能很好地描述不同碰撞能量下, 鉴别粒子平均横动量$\langle p_{\mathrm{T}}\rangle$ 随碰撞中心度、每核子对的平均碰撞次数、每核子对平均产生的带电粒子多重数赝快度密度及每次碰撞平均产生的带电粒子多重数赝快度密度的依赖关系. 结果表明, 鉴别粒子平均横动量$\langle p_{\mathrm{T}}\rangle$ 与碰撞中心度呈线性关系, 而与每核子对的平均碰撞次数$ {2N_{{\mathrm{coll}}}}/{N_{{\mathrm{part}}}}$ 、每核子对平均产生的带电粒子多重数赝快度密度$\dfrac{2}{N_{{\mathrm{part}}}}\dfrac{{\mathrm{d}}N_{{\mathrm{ch}}}}{{\mathrm{d}}\eta}$ 及每次碰撞平均产生的带电粒子多重数赝快度密度$\dfrac{1}{N_{{\mathrm{coll}}}}\dfrac{{\mathrm{d}}N_{{\mathrm{ch}}}}{{\mathrm{d}}\eta}$ 呈幂律关系. 同时, 发现鉴别粒子平均横动量$\langle p_{\mathrm{T}}\rangle$ 与碰撞中心度以及每核子对的平均碰撞次数唯象公式中的拟合参数与碰撞能量呈现非常好的幂律函数关系. 因此, 碰撞中心度及每核子对的平均碰撞次数是研究鉴别粒子平均横动量的优选物理量. 本文结果可用于对实验上在其他碰撞能量下鉴别粒子平均横动量的预测.The average transverse momentum$\left\langle p_{\mathrm{T}} \right\rangle$ of final particles is an important observable in high-energy heavy-ion collision experiments. It reflects the properties of soft hadrons and thermonuclear matter, and it can also be used to deduce the information about the evolution of collision systems. By using the phenomenological linear and power-law functions, we study the dependence of the average transverse momentum$\langle p_{\mathrm{T}}\rangle$ at midrapidity in Au + Au and Pb + Pb collisions from the STAR, PHENIX and ALICE Collaborations on four normalized physical quantities, i.e. the collision centrality, the average number of binary collisions per participant pair$\dfrac{2N_{{\mathrm{coll}}}}{N_{{\mathrm{part}}}}$ , the average pseudorapidity density of charged particles per participant pair$\dfrac{2}{N_{{\mathrm{part}}}}\dfrac{{\mathrm{d}}N_{{\mathrm{ch}}}}{{\mathrm{d}}\eta}$ and the average pseudorapidity density of charged particles per binary collision$\dfrac{1}{N_{{\mathrm{coll}}}}\dfrac{{\mathrm{d}}N_{{\mathrm{ch}}}}{{\mathrm{d}}\eta} $ . The results show that the average transverse momentum$\langle p_{\mathrm{T}} \rangle$ of identified particles exhibits a good linear relationship with collision centrality, and it follows a nice power-law relationship with the average number of binary collisions per participant pair$\dfrac{2N_{{\mathrm{coll}}}}{N_{{\mathrm{part}}}}$ , the average pseudorapidity density of charged particles per participant pair$\dfrac{2}{N_{{\mathrm{part}}}}\dfrac{{\mathrm{d}}N_{{\mathrm{ch}}}}{{\mathrm{d}}\eta}$ , and the average pseudorapidity density of charged particles per binary collision$\dfrac{1}{N_{{\mathrm{coll}}}}\dfrac{{\mathrm{d}}N_{{\mathrm{ch}}}}{{\mathrm{d}}\eta}$ . It is also found that the fitting parameters in the proposed phenomenological functions for the average transverse momentum$\langle p_{\mathrm{T}} \rangle$ with collision centrality and the average number of binary collisions per participant pair follow a power-law function with collision energy, which endows the phenomenological approach with predictive ability. Therefore, the collision centrality and the average number of binary collisions per participant pair are good physical quantities for studying the average transverse momentum of identified particles in high-energy heavy-ion collisions. The results in this study can be used to predict the average transverse momentum of identified particles at other collision energy of which the experimental data are not available so far. The mass ordering of the average transverse momentum of identified particles, i.e.$\text{π}^{-},\;{\mathrm{K}}^{-} $ and$\bar{{\mathrm{p}}}$ , is also discussed and explained by the particle production time related to energy conservation, at a given collision centrality and energy.[1] [2] [3] [4] [5] [6] [7] [8] [9] [10] [11] [12] [13] [14] [15] [16] [17] [18] [19] [20] [21] [22] [23] [24] [25] [26] [27] [28] [29] [30] [31] [32] [33] [34] [35] [36] [37] [38] [39] [40] [41] [42] [43] [44] [45] [46] [47] [48] [49] [50] [51] [52] [53] [54] [55] [56] [57] [58] [59] -
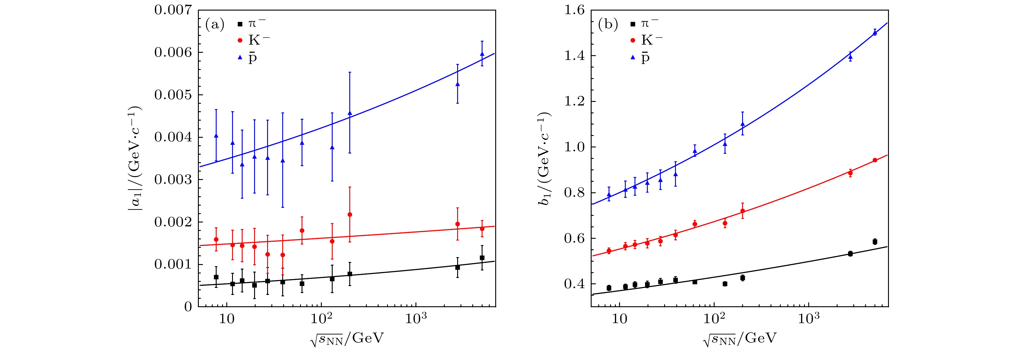
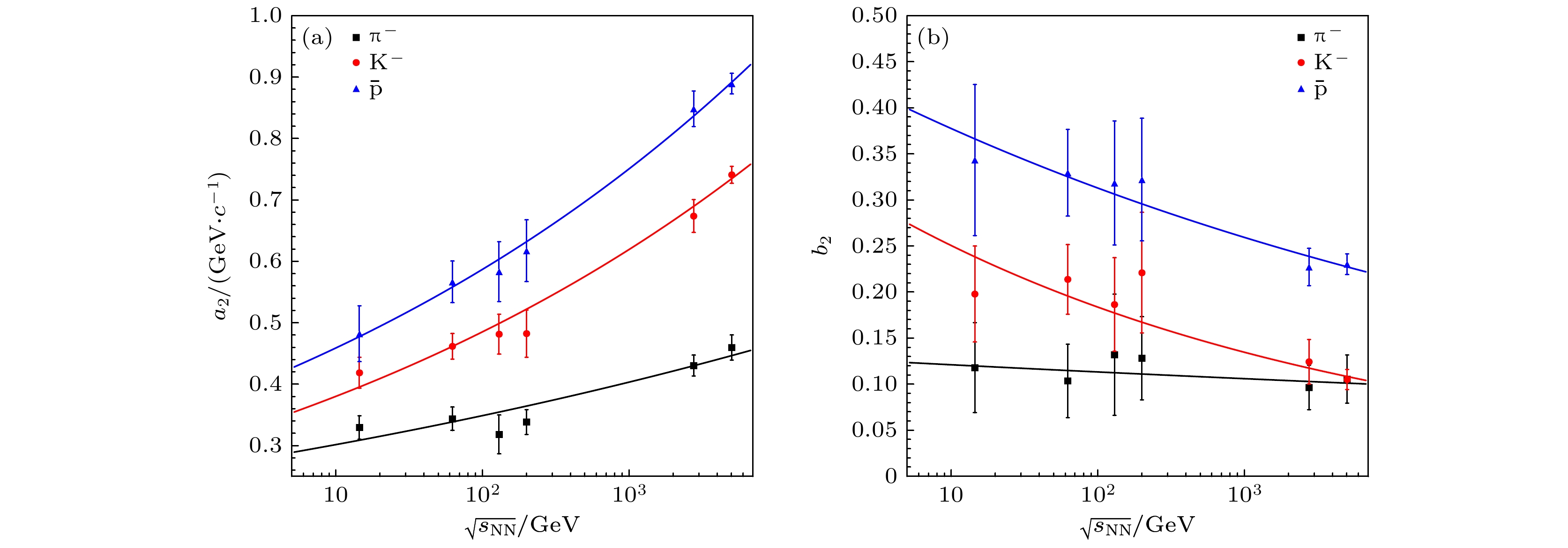
碰撞系统, 碰撞能量 粒子种类 截距$ b_1 /(\mathrm{GeV}\cdot c^{-1}) $ 斜率$ a_1 /(\mathrm{GeV}\cdot c^{-1}) $ $ \chi^2/{\rm NDF} $ $ \text{π}^{-} $ $ 0.382\pm 0.011 $ $ -7.01\times10^{-4} \pm 2.47\times10^{-4} $ 0.311/7 Au+Au, 7.7 GeV $ {\mathrm{K}}^{-} $ $ 0.545 \pm 0.013 $ $ -1.59\times10^{-3}\pm 2.72\times10^{-4} $ 0.337/7 $ \bar{{\mathrm{p}}} $ $ 0.794\pm 0.030 $ $ -4.05\times10^{-3} \pm 6.07\times10^{-4} $ 0.211/7 $ \text{π}^{-} $ $ 0.388\pm 0.011 $ $ -5.39\times10^{-4} \pm 2.50\times10^{-4} $ 0.397/7 Au+Au, 11.5 GeV $ {\mathrm{K}}^{-} $ $ 0.566 \pm 0.016 $ $ -1.46\times10^{-3}\pm 3.47\times10^{-4} $ 0.531/7 $ \bar{{\mathrm{p}}} $ $ 0.815\pm0.036 $ $ -3.87\times10^{-3} \pm 7.24\times10^{-4} $ 0.097/7 $ \text{π}^{-} $ $ 0.397\pm 0.012 $ $ -6.19\times10^{-4} \pm 2.69\times10^{-4} $ 0.238/7 Au+Au, 14.5 GeV $ {\mathrm{K}}^{-} $ $ 0.572 \pm 0.018 $ $ -1.44\times10^{-3}\pm 3.79\times10^{-4} $ 0.323/7 $ \bar{{\mathrm{p}}} $ $ 0.827\pm0.039 $ $ -3.37\times10^{-3} \pm 8.04\times10^{-4} $ 0.122/7 $ \text{π}^{-} $ $ 0.398\pm 0.014 $ $ -5.08\times10^{-4} \pm 3.12\times10^{-4} $ 0.195/7 Au+Au, 19.6 GeV $ {\mathrm{K}}^{-} $ $ 0.578 \pm 0.020 $ $ -1.42\times10^{-3}\pm 4.30\times10^{-4} $ 0.149/7 $ \bar{{\mathrm{p}}} $ $ 0.845\pm0.042 $ $ -3.55\times10^{-3} \pm 8.64\times10^{-4} $ 0.066/7 $ \text{π}^{-} $ $ 0.410\pm 0.014 $ $ -6.08\times10^{-4} \pm 3.19\times10^{-4} $ 0.093/7 Au+Au, 27 GeV $ {\mathrm{K}}^{-} $ $ 0.588 \pm 0.020 $ $ -1.24\times10^{-3}\pm 4.48\times10^{-4} $ 0.179/7 $ \bar{{\mathrm{p}}} $ $ 0.857\pm0.043 $ $ -3.52\times10^{-3} \pm 8.81\times10^{-4} $ 0.134/7 $ \text{π}^{-} $ $ 0.417\pm 0.015 $ $ -5.84\times10^{-4} \pm3.25\times10^{-4} $ 0.151/7 Au+Au, 39 GeV $ {\mathrm{K}}^{-} $ $ 0.615 \pm 0.021 $ $ -1.22\times10^{-3}\pm 4.71\times10^{-4} $ 0.138/7 $ \bar{{\mathrm{p}}} $ $ 0.882\pm 0.054 $ $ -3.46\times10^{-3} \pm 1.11\times10^{-3} $ 0.091/7 $ \text{π}^{-} $ $ 0.409\pm 0.007 $ $ -5.46\times10^{-4} \pm 2.11\times10^{-4} $ 0.755/7 Au+Au, 62.4 GeV $ {\mathrm{K}}^{-} $ $ 0.663\pm0.016 $ $ -1.80\times10^{-3}\pm 3.20\times10^{-4} $ 0.712/7 $ \bar{{\mathrm{p}}} $ $ 0.984\pm 0.025 $ $ -3.87\times10^{-3} \pm 5.46\times10^{-4} $ 0.501/7 $ \text{π}^{-} $ $ 0.400\pm0.009 $ $ -6.57\times10^{-4} \pm 3.24\times10^{-4} $ 0.384/6 Au+Au, 130 GeV $ {\mathrm{K}}^{-} $ $ 0.666 \pm 0.020 $ $ -1.54\times10^{-3} \pm 4.19\times10^{-4} $ 0.478/6 $ \bar{{\mathrm{p}}} $ $ 1.01\pm 0.042 $ $ -3.77\times10^{-3}\pm8.05\times10^{-4} $ 0.275/6 $ \text{π}^{-} $ $ 0.427\pm0.012 $ $ -7.75\times10^{-4} \pm 2.73\times10^{-4} $ 0.234/7 Au+Au, 200 GeV $ {\mathrm{K}}^{-} $ $ 0.720\pm0.033 $ $ -2.18 \times10^{-3} \pm 6.49\times10^{-4} $ 0.145/7 $ \bar{{\mathrm{p}}} $ $ 1.10\pm0.050 $ $ -4.58\times10^{-3}\pm 9.55\times10^{-4} $ 0.222/7 $ \text{π}^{-} $ $ 0.532\pm0.010 $ $ -9.28\times10^{-4} \pm 2.34\times10^{-4} $ 1.099/7 Pb+Pb, 2.76 TeV $ {\mathrm{K}}^{-} $ $ 0.886 \pm 0.017 $ $ -1.95\times10^{-3} \pm 3.80\times10^{-4} $ 0.960/7 $ \bar{{\mathrm{p}}} $ $ 1.40\pm 0.020 $ $ -5.26\times10^{-3}\pm 4.58\times10^{-4} $ 3.124/7 $ \text{π}^{-} $ $ 0.586\pm0.012 $ $ -1.16\times10^{-3} \pm 2.88\times10^{-4} $ 0.707/7 Pb+Pb, 5.02 TeV $ {\mathrm{K}}^{-} $ $ 0.943 \pm 0.008 $ $ -1.84\times10^{-3} \pm 1.93\times10^{-4} $ 6.723/7 $ \bar{{\mathrm{p}}} $ $ 1.50\pm 0.013 $ $ -5.97\times10^{-3}\pm 2.91\times10^{-4} $ 12.752/7 碰撞系统, 碰撞能量 粒子种类 系数$ a_2/(\mathrm{GeV}\cdot c^{-1})$ 指数$ b_2 $ $ \chi^2/{\rm NDF} $ $ \text{π}^{-} $ $ 0.330\pm0.019 $ $ 0.118\pm 0.049 $ 0.180/7 Au+Au, 14.5 GeV $ {\mathrm{K}}^{-} $ $ 0.418\pm0.025 $ $ 0.198\pm 0.052 $ 0.235/7 $ \bar{{\mathrm{p}}} $ $ 0.482\pm 0.045 $ $ 0.343\pm 0.082 $ 0.110/7 $ \text{π}^{-} $ $ 0.344\pm0.019 $ $ 0.104\pm 0.040 $ 0.519/7 Au+Au, 62.4 GeV $ {\mathrm{K}}^{-} $ $ 0.462\pm0.021 $ $ 0.214\pm 0.038 $ 0.413/7 $ \bar{{\mathrm{p}}} $ $ 0.566\pm 0.034 $ $ 0.330\pm 0.047 $ 0.352/7 $ \text{π}^{-} $ $ 0.318\pm0.032 $ $ 0.132\pm 0.066 $ 0.375/6 Au+Au, 130 GeV $ {\mathrm{K}}^{-} $ $ 0.481\pm 0.033 $ $ 0.186 \pm0.051 $ 0.448/6 $ \bar{{\mathrm{p}}} $ $ 0.583\pm 0.049 $ $ 0.318\pm 0.067 $ 0.215/6 $ \text{π}^{-} $ $ 0.338\pm0.020 $ $ 0.128 \pm 0.045 $ 0.149/7 Au+Au, 200 GeV $ {\mathrm{K}}^{-} $ $ 0.482\pm0.038 $ $ 0.221\pm 0.065 $ 0.184/7 $ \bar{{\mathrm{p}}} $ $ 0.617\pm 0.050 $ $ 0.322 \pm 0.066 $ 0.304/7 $ \text{π}^{-} $ $ 0.430\pm0.017 $ $ 0.096 \pm 0.024 $ 0.623/7 Pb+Pb, 2.76 TeV $ {\mathrm{K}}^{-} $ $ 0.674 \pm 0.027 $ $ 0.124 \pm 0.024 $ 0.527/7 $ \bar{{\mathrm{p}}} $ $ 0.848\pm 0.029 $ $ 0.227\pm 0.020 $ 1.731/7 $ \text{π}^{-} $ $ 0.460\pm 0.020 $ $ 0.105\pm 0.026 $ 0.405/7 Pb+Pb, 5.02 TeV $ {\mathrm{K}}^{-} $ $ 0.741 \pm 0.014 $ $ 0.105\pm 0.011 $ 3.765/7 $ \bar{{\mathrm{p}}} $ $ 0.889\pm 0.017 $ $ 0.230\pm 0.011 $ 7.564/7 碰撞系统, 碰撞能量 粒子种类 系数$ a_3 /(\mathrm{GeV}\cdot c^{-1})$ 指数$ b_3 $ $ \chi^2/{\rm NDF} $ $ \text{π}^{-} $ $ 0.366\pm0.007 $ $ 0.220\pm 0.142 $ 0.263/5 Au+Au, 7.7 GeV $ {\mathrm{K}}^{-} $ $ 0.509\pm 0.008 $ $ 0.418\pm 0.117 $ 0.551/5 $ \bar{{\mathrm{p}}} $ $ 0.700\pm 0.019 $ $ 0.828 \pm 0.200 $ 0.548/5 $ \text{π}^{-} $ $ 0.366\pm0.01 $6 $ 0.195\pm 0.170 $ 0.063/5 Au+Au, 14.5 GeV $ {\mathrm{K}}^{-} $ $ 0.494\pm 0.022 $ $ 0.361\pm 0.174 $ 0.237/5 $ \bar{{\mathrm{p}}} $ $ 0.631\pm 0.044 $ $ 0.689 \pm 0.269 $ 0.235/5 $ \text{π}^{-} $ $ 0.351\pm0.047 $ $ 0.232\pm 0.299 $ 0.105/5 Au+Au, 19.6 GeV $ {\mathrm{K}}^{-} $ $ 0.427\pm 0.057 $ $ 0.590\pm 0.304 $ 0.462/5 $ \bar{{\mathrm{p}}} $ $ 0.473\pm 0.093 $ $ 1.15 \pm 0.465 $ 0.621/5 $ \text{π}^{-} $ $ 0.346\pm0.045 $ $ 0.261\pm 0.254 $ 0.081/5 Au+Au, 27 GeV $ {\mathrm{K}}^{-} $ $ 0.460\pm0.060 $ $ 0.378\pm 0.254 $ 0.123/5 $ \bar{{\mathrm{p}}} $ $ 0.489\pm 0.094 $ $ 0.893 \pm 0.371 $ 0.245/5 $ \text{π}^{-} $ $ 0.333\pm0.070 $ $ 0.290\pm 0.309 $ 0.083/5 Au+Au, 39 GeV $ {\mathrm{K}}^{-} $ $ 0.428\pm 0.090 $ $ 0.472\pm 0.315 $ 0.146/5 $ \bar{{\mathrm{p}}} $ $ 0.405\pm 0.153 $ $ 1.02 \pm 0.546 $ 0.142/5 $ \text{π}^{-} $ $ 0.317\pm0.038 $ $ 0.260\pm 0.136 $ 0.331/6 Au+Au, 62.4 GeV $ {\mathrm{K}}^{-} $ $ 0.357\pm 0.036 $ $ 0.644\pm 0.127 $ 0.662/6 $ \bar{{\mathrm{p}}} $ $ 0.379\pm 0.050 $ $ 0.997 \pm 0.158 $ 0.507/6 $ \text{π}^{-} $ $ 0.290\pm0.042 $ $ 0.257\pm 0.127 $ 0.356/6 Au+Au, 130 GeV $ {\mathrm{K}}^{-} $ $ 0.410\pm 0.045 $ $ 0.388\pm 0.105 $ 0.452/6 $ \bar{{\mathrm{p}}} $ $ 0.440\pm 0.062 $ $ 0.674 \pm 0.142 $ 0.481/6 $ \text{π}^{-} $ $ 0.266\pm0.056 $ $ 0.344 \pm 0.171 $ 0.278/6 Au+Au, 200 GeV $ {\mathrm{K}}^{-} $ $ 0.286\pm0.087 $ $ 0.683\pm 0.247 $ 0.190/6 $ \bar{{\mathrm{p}}} $ $ 0.291\pm 0.089 $ $ 0.989 \pm0.259 $ 0.383/6 $ \text{π}^{-} $ $ 0.325\pm 0.036 $ $ 0.230 \pm 0.058 $ 0.862/7 Pb+Pb, 2.76 TeV $ {\mathrm{K}}^{-} $ $ 0.471\pm0.052 $ $ 0.295\pm 0.058 $ 1.182/7 $ \bar{{\mathrm{p}}} $ $ 0.442\pm0.041 $ $ 0.538\pm 0.048 $ 3.699/7 $ \text{π}^{-} $ $ 0.305\pm0.045 $ $ 0.282\pm 0.071 $ 0.924/7 Pb+Pb, 5.02 TeV $ {\mathrm{K}}^{-} $ $ 0.502\pm 0.030 $ $ 0.272\pm 0.029 $ 8.162/7 $ \bar{{\mathrm{p}}} $ $ 0.373\pm0.023 $ $ 0.602\pm 0.030 $ 20.985/7 碰撞系统, 碰撞能量 粒子种类 系数$ a_4 /(\mathrm{GeV}· c^{-1}) $ 指数$ b_4 $ $ \chi^2/{\rm NDF} $ $ \text{π}^{-} $ $ 0.326\pm 0.044 $ $ -0.156\pm 0.128 $ 0.001/5 Au+Au, 14.5 GeV $ {\mathrm{K}}^{-} $ $ 0.400\pm0.056 $ $ -0.290\pm 0.137 $ 0.026/5 $ \bar{{\mathrm{p}}} $ $ 0.425\pm0.094 $ $ -0.547\pm 0.211 $ 0.052/5 $ \text{π}^{-} $ $ 0.357\pm0.021 $ $ -0.185\pm 0.098 $ 0.411/6 Au+Au, 62.4 GeV $ {\mathrm{K}}^{-} $ $ 0.484\pm0.021 $ $ -0.424\pm 0.086 $ 1.108/6 $ \bar{{\mathrm{p}}} $ $ 0.606\pm 0.036 $ $ -0.674 \pm 0.109 $ 1.402/6 $ \text{π}^{-} $ $ 0.331\pm0.026 $ $ -0.391 \pm 0.190 $ 0.347/6 Au+Au, 130 GeV $ {\mathrm{K}}^{-} $ $ 0.519\pm0.025 $ $ -0.503\pm 0.137 $ 0.720/6 $ \bar{{\mathrm{p}}} $ $ 0.665\pm 0.038 $ $ -0.850\pm 0.181 $ 0.384/6 $ \text{π}^{-} $ $ 0.381\pm0.013 $ $ -0.251 \pm 0.124 $ 0.053/6 Au+Au, 200 GeV $ {\mathrm{K}}^{-} $ $ 0.589\pm0.023 $ $ -0.430\pm 0.170 $ 0.420/6 $ \bar{{\mathrm{p}}} $ $ 0.826\pm 0.033 $ $ -0.627\pm 0.174 $ 0.704/6 $ \text{π}^{-} $ $ 0.526\pm 0.009 $ $ -0.171\pm 0.042 $ 0.511/7 Pb+Pb, 2.76 TeV $ {\mathrm{K}}^{-} $ $ 0.874 \pm0.015 $ $ -0.221 \pm 0.043 $ 0.353/7 $ \bar{{\mathrm{p}}} $ $ 1.36 \pm 0.018 $ $ -0.402\pm 0.036 $ 1.187/7 $ \text{π}^{-} $ $ 0.587\pm 0.013 $ $ -0.167\pm 0.041 $ 0.204/7 Pb+Pb, 5.02 TeV $ {\mathrm{K}}^{-} $ $ 0.946\pm 0.008 $ $ -0.169\pm 0.018 $ 1.997/7 $ \bar{{\mathrm{p}}} $ $ 1.52\pm 0.014 $ $ -0.369\pm 0.018 $ 2.886/7 -
[1] [2] [3] [4] [5] [6] [7] [8] [9] [10] [11] [12] [13] [14] [15] [16] [17] [18] [19] [20] [21] [22] [23] [24] [25] [26] [27] [28] [29] [30] [31] [32] [33] [34] [35] [36] [37] [38] [39] [40] [41] [42] [43] [44] [45] [46] [47] [48] [49] [50] [51] [52] [53] [54] [55] [56] [57] [58] [59]
计量
- 文章访问数:280
- PDF下载量:12
- 被引次数:0












下载:






