-
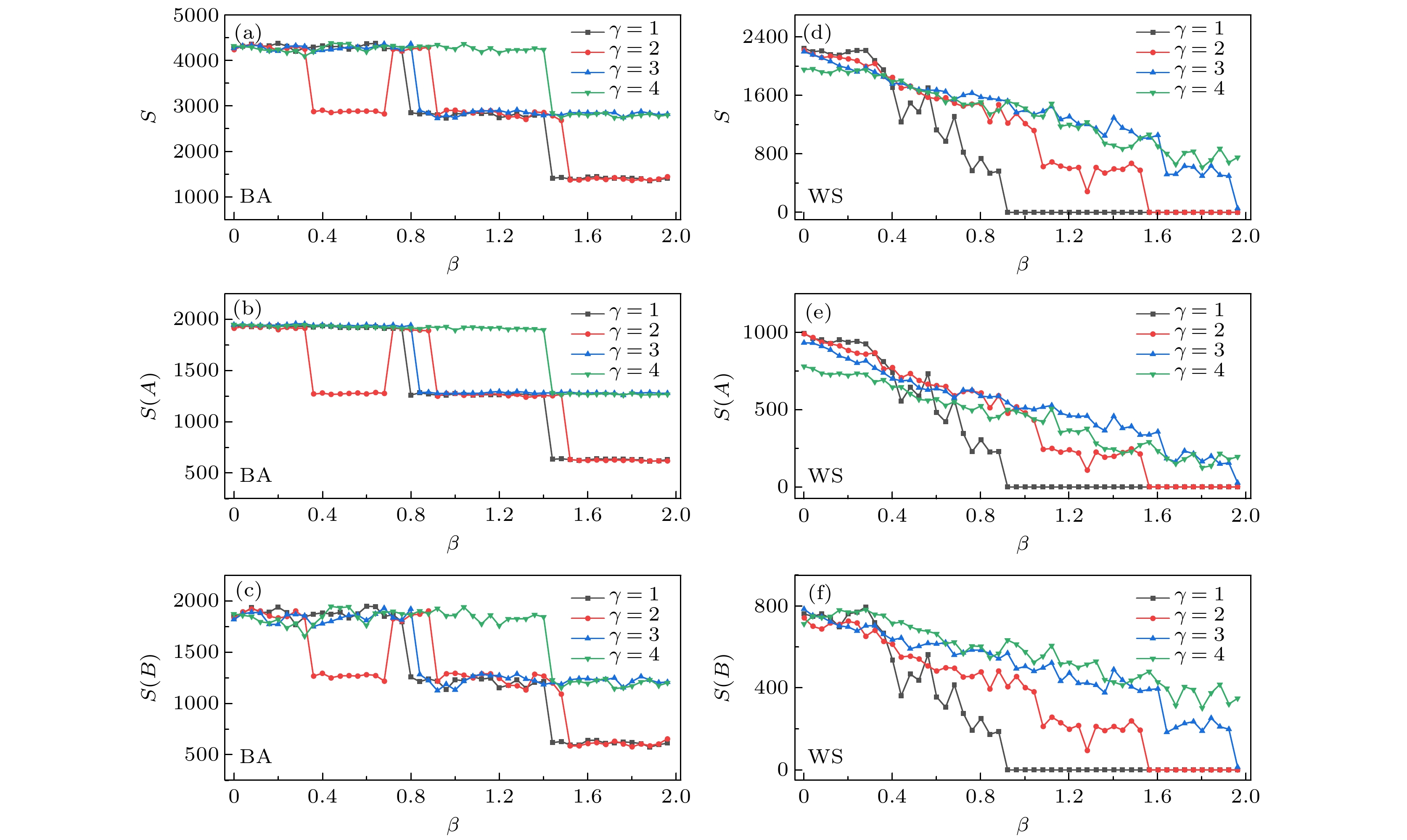
相互依赖网络中的级联故障过程一直是网络级联分析的一个重要领域. 与以往研究不同的是, 本文考虑了人们在出行时最小化成本的需求, 提出了基于成本约束的网络动力学模型. 同时, 研究了相互依赖网络中不同层次的特性, 定义了不同的负载传播模式. 在此基础上, 本文通过改变网络结构和模型中的参数, 仿真现实中的网络防护策略并验证这些措施的防护效果, 并发现了一些有趣的结论. 一般认为, 增加网络中连边的数量或提高连边的质量可以有效地增强网络的鲁棒性. 然而, 本文的实验结果表明, 这些方法在某些情况下实际上可能会降低网络的鲁棒性. 一方面, 网络中一些特殊边的复活是导致边能力提升网络鲁棒性却下降的主要原因, 因为这些边会破坏原有网络的稳定结构; 另一方面, 无论是提高单层网络的内部连通性来增加网络连边数量, 还是提高相互依赖的网络之间的耦合强度来增加连边数量, 都不能完全有效地提高网络的鲁棒性. 这是因为随着边数量的增加, 网络中可能会出现一些关键边, 这些边会吸引大量的网络负载, 导致网络的鲁棒性下降.Cascading failure process in interdependent networks has always been an important field of network cascading analysis. Unlike the previous studies, we take people’s demand for minimizing travel costs into consideration in this article and propose a network dynamics model based on the cost constraint. On this basis, we pay attention to the characteristics of different layers in the interdependent network, and taking the real-world traffic network for example, we define different load propagation modes for different layers. Then, we carry out the simulation experiment on cascade failure in the artificial network. By changing the structure of the network and the parameters in the model, such as the capability value of the network side and the connectivity of the network, we are able to focus on the effects of traditional protection strategies during the simulation and obtain some interesting conclusions. It is generally believed that increasing the quantity of connections in the network or improving the quality of edges will enhance the network robustness effectively. However, our experimental results show that these methods may actually reduce network robustness in some cases. On the one hand, we find that the resurrection of some special edges in the network is the main reason for the capacity paradox, as these edges will destroy the stable structure of the original network. On the other hand, neither improving the internal connectivity of a single-layer network nor enhancing the coupling strength between interdependent networks will effectively improve network robustness. This is because as the number of edges increases, some critical edges may appear in the network, attracting a large amount of the network load and leading the network robustness to decrease. These conclusions remind us that blindly investing resources in network construction cannot achieve the best protection effect. Only by scientifically designing the network structures and allocating network resources reasonably can the network robustness be effectively improved.
[1] [2] [3] [4] [5] [6] [7] [8] [9] [10] [11] [12] [13] [14] [15] [16] [17] [18] [19] [20] [21] [22] [23] [24] [25] [26] [27] [28] [29] [30] [31] [32] [33] [34] [35] [36] [37] [38] [39] [40] [41] [42] [43] [44] [45] [46] [47] [48] [49] [50] [51] -
组件或过程 定义方式 负载流动过程 $ {F}_{i\to j}={F}_{i\to }\cdot \dfrac{{\omega }_{j}/{t}_{ij}^{\gamma }}{\displaystyle\sum\limits_{n\in N\cap n\ne i}^{N} \dfrac{{\omega }_{n}}{{t}_{in}^{\gamma }}} $ 边初始负载 $ {L}_{m}\left(0\right)=\displaystyle \sum\limits_{i, j\in N}{F}_{i\to j}\cdot {R}_{m}^{i, j} $ 边能力 $ {C}_{m}=\left(1+\beta \right){L}_{m}\left(0\right), m\in E $ 级联失效过程 若$ {L}_{m}\left(T\right) > {C}_{m} $, 则删除边$ m $ 鲁棒性统计指标 失效边数$ S $ $ \alpha $ = 1 $ \alpha $ = 2 $ \alpha $ = 3 $ \alpha $ = 4 $ {\mathrm{B}}{\mathrm{A}} $ 55.25% 47.61% 40.67% 31.03% $ {\mathrm{W}}{\mathrm{S}} $ 39.33% 35.54% 40.37% 38.92% $ \alpha $ = 1 $ \alpha $ = 2 $ \alpha $ = 3 $ \alpha $ = 4 $ {\mathrm{B}}{\mathrm{A}} $ 60.74% 52.41% 46.83% 44.11% $ {\mathrm{W}}{\mathrm{S}} $ 45.54% 46.70% 43.69% 41.15% $ \alpha $ = 1 $ \alpha $ = 2 $ \alpha $ = 3 $ \alpha $ = 4 $ {\mathrm{B}}{\mathrm{A}} $ 1.0454 1.0762 1.0968 1.1375 $ {\mathrm{W}}{\mathrm{S}} $ 1.1124 1.1287 1.0962 1.0931 $ \gamma $ = 1 $ \gamma $ = 2 $ \gamma $ = 3 $ \gamma $ = 4 $ {\mathrm{B}}{\mathrm{A}} $ 50.85% 50.59% 51.25% 52.20% $ {\mathrm{W}}{\mathrm{S}} $ 56.30% 55.64% 50.71% 42.02% $ \gamma $ = 1 $ \gamma $ = 2 $ \gamma $ = 3 $ \gamma $ = 4 $ {\mathrm{B}}{\mathrm{A}} $ 50.63% 52.21% 55.84% 57.16% $ {\mathrm{W}}{\mathrm{S}} $ 48.15% 49.32% 55.47% 58.94% 聚类系数 0.2311 0.4647 0.6536 不平均分配指数 0.637 0.819 0.845 失效边数占比/% 59.80 84.72 84.70 聚类系数 0.2149 0.3681 0.4276 不平均分配指数 0.452 0.611 0.656 失效边数占比/% 54.78 70.46 67.07 -
[1] [2] [3] [4] [5] [6] [7] [8] [9] [10] [11] [12] [13] [14] [15] [16] [17] [18] [19] [20] [21] [22] [23] [24] [25] [26] [27] [28] [29] [30] [31] [32] [33] [34] [35] [36] [37] [38] [39] [40] [41] [42] [43] [44] [45] [46] [47] [48] [49] [50] [51]
计量
- 文章访问数:564
- PDF下载量:32
- 被引次数:0












下载:










