-
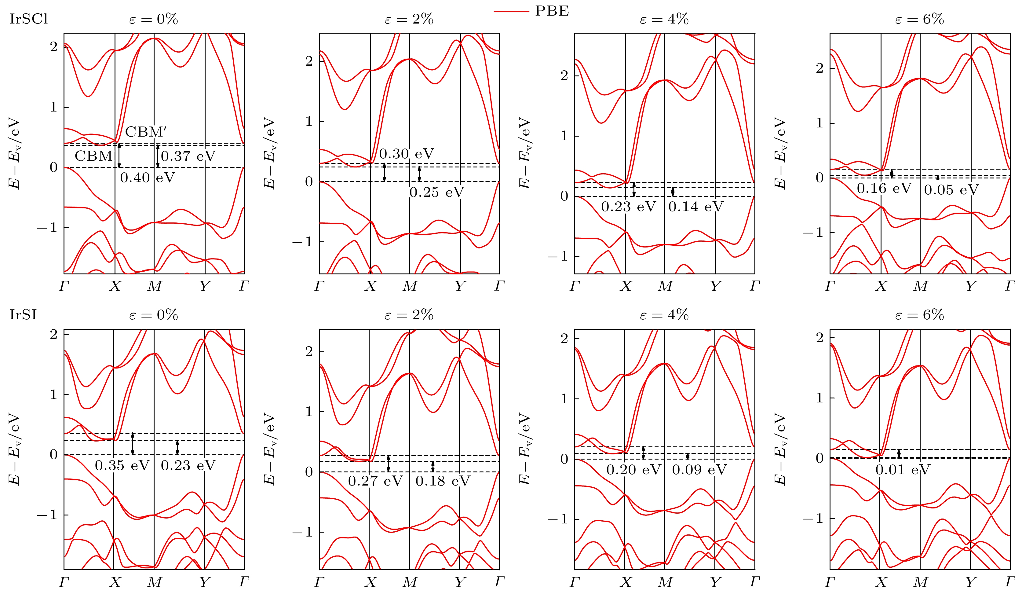
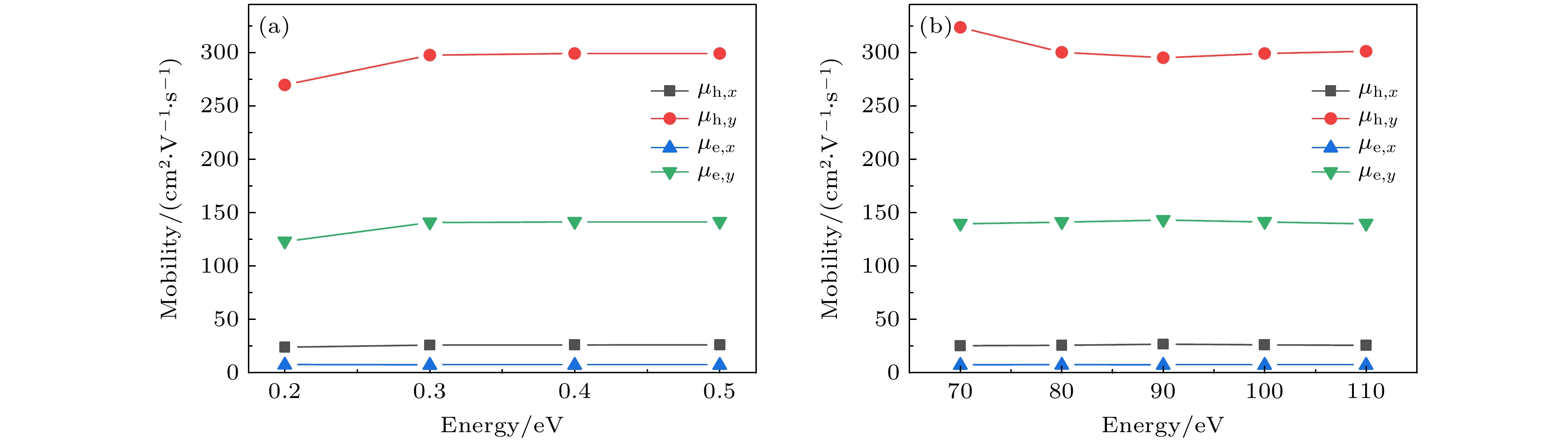
基于密度泛函理论的第一性原理计算方法, 系统研究了单层IrSCl和IrSI材料的载流子输运特性. 声子谱计算无虚频, 表明材料结构稳定, 且分子动力学模拟验证了其在300 K下的热稳定性. 结果显示, 这两种材料均为间接带隙半导体, 且在不同泛函下的带隙计算结果分别为: 单层IrSCl在PBE和HSE06泛函下的带隙.为0.37 eV和1.58 eV, 单层IrSI的带隙为0.23 eV和1.36 eV. 在双轴拉伸应变下, IrSCl和IrSI的带隙逐渐减小. 在应变6%时, 带隙分别降至0.05 eV和0.01 eV (PBE). 基于形变势理论预测, 室温下单层IrSCl和IrSI的最大载流子迁移率分别407.77 cm 2/(V·s)和202.64 cm 2/(V·s). 同时, 基于玻尔兹曼输运方程的计算结果显示, 室温下单层IrSCl和IrSI的载流子迁移率最大值分别299.15 cm 2/(V·s)和286.41 cm 2/(V·s). 这些结果表明, IrSCl和IrSI单层材料在纳米电子器件领域具有潜在的应用价值.Carrier mobility is a key parameter determining the response speed of charge carriers to electric fields in nanoelectronic devices. This study aims to investigate the charge carrier transport properties of monolayer IrSCl and IrSI. Using first-principles calculations based on density functional theory, we systematically investigate the electronic structure and transport properties of monolayer IrSCl and IrSI. The phonon dispersion calculations indicate that both IrSCl and IrSI exhibit no imaginary frequencies, confirming their structural stability. Furthermore, molecular dynamics simulations demonstrate that these materials maintain thermal stability at room temperature (300 K). The evaluation of the bandgap by using the Perdew-Burke-Ernzerhof (PBE) functional and the hybrid HSE06 functional shows that both IrSCl and IrSI are indirect bandgap semiconductors. The bandgap values for monolayer IrSCl are 0.37 eV and 1.58 eV under the PBE functional and the HSE06 functional, respectively, while those for monolayer IrSI are 0.23 eV and 1.36 eV under the PBE functional and the HSE06 functional, respectively. We further investigate the effects of biaxial tensile strain on the bandgap. The bandgap of IrSCl and IrSI decrease with the increase of strain, respectively reaching 0.05 eV and 0.01 eV under the PBE functional at a strain of 6%, indicating a strain-induced transition to metallic behavior. According to deformation potential theory and the Boltzmann transport equation, we calculate the carrier mobility for each of monolayer IrSCl and IrSI. The predicted maximum carrier mobility at room temperature is 407.77 cm 2/(V·s) for monolayer IrSCl, and 202.64 cm 2/(V·s) for monolayer IrSI. Additionally, the results from the Boltzmann transport equation show that the highest mobility is 299.15 cm 2/(V·s) for IrSCl and 286.41 cm 2/(V·s) for IrSI. These findings suggest that both IrSCl and IrSI possess favorable electronic and transport properties, thus they have become promising candidates for future applications in the field of two-dimensional nanoelectronic devices. Notably, the combination of a moderate bandgap and high carrier mobility at room temperature indicates their potential applications in the fields of transistors, sensors, and other electronic components. This study provides valuable insights into the material properties of IrSCl and IrSI, contributing to the design of novel two-dimensional materials for electronic applications.
[1] [2] [3] [4] [5] [6] [7] [8] [9] [10] [11] [12] [13] [14] [15] [16] [17] [18] [19] [20] [21] [22] [23] [24] [25] [26] [27] [28] -
$\Delta \varepsilon$ $m_{x, {\rm{h}}} (m_{\mathrm{e}} )$ $m_{x, {\rm{e}}} (m_{\mathrm{e}} )$ $m_{y, {\rm{h}}} (m_{\mathrm{e}} )$ $m_{y, {\rm{e}}} (m_{\mathrm{e}} )$ IrSCl 0% 1.839 3.300 0.232 0.179 2% 1.781 3.470 0.223 0.181 4% 1.761 3.690 0.304 0.187 6% 1.785 3.861 0.379 0.196 IrSI 0% 2.295 1.337 0.244 0.238 2% 2.187 1.397 0.260 0.224 4% 2.126 1.452 0.279 0.215 6% 2.134 1.512 0.300 0.205 $C_{2\mathrm{D}, x} $ $C_{2\mathrm{D}, y} $ $E_{{\rm{h}}, x} $ $E_{{\rm{e}}, x} $ $E_{{\rm{h}}, y} $ $E_{{\rm{e}}, y} $ $\mu _{{\rm{h}}, x} $ $\mu _{{\rm{e}}, x} $ $\mu _{{\rm{h}}, y} $ $\mu _{{\rm{e}}, y} $ IrSCl 114.6 167.2 3.48 2.93 7.6 14.4 168.5 112.84 407.77 161.88 IrSI 90 173.8 4.86 7.14 10.02 13.66 47.49 50.14 202.64 148.9 Temperature/K IrSCl IrSI $\mu _{{\rm{h}}, x} $ $\mu _{{\rm{h}}, y} $ $\mu _{{\rm{e}}, x} $ $\mu _{{\rm{e}}, y} $ $\mu _{{\rm{h}}, x} $ $\mu _{{\rm{h}}, y} $ $\mu _{{\rm{e}}, x} $ $\mu _{{\rm{e}}, y} $ 200 49.41 520.94 18.70 244.38 36.11 354.48 11.48 125.45 250 33.86 372.70 11.29 176.83 29.55 313.42 9.59 106.41 300 26.20 299.15 7.57 141.39 25.44 286.41 8.44 94.75 350 21.80 257.10 5.44 119.99 22.58 266.34 8.63 86.15 400 18.98 230.42 4.09 105.65 20.44 250.04 6.99 79.58 450 17.00 211.99 3.18 95.26 18.73 235.97 6.45 73.77 500 15.51 198.26 2.54 87.28 17.32 223.31 5.98 68.61 550 14.34 187.32 2.07 80.89 16.11 211.64 5.56 63.96 600 13.36 178.08 1.72 75.61 15.05 200.68 5.18 59.72 -
[1] [2] [3] [4] [5] [6] [7] [8] [9] [10] [11] [12] [13] [14] [15] [16] [17] [18] [19] [20] [21] [22] [23] [24] [25] [26] [27] [28]
计量
- 文章访问数:640
- PDF下载量:33
- 被引次数:0













下载:






