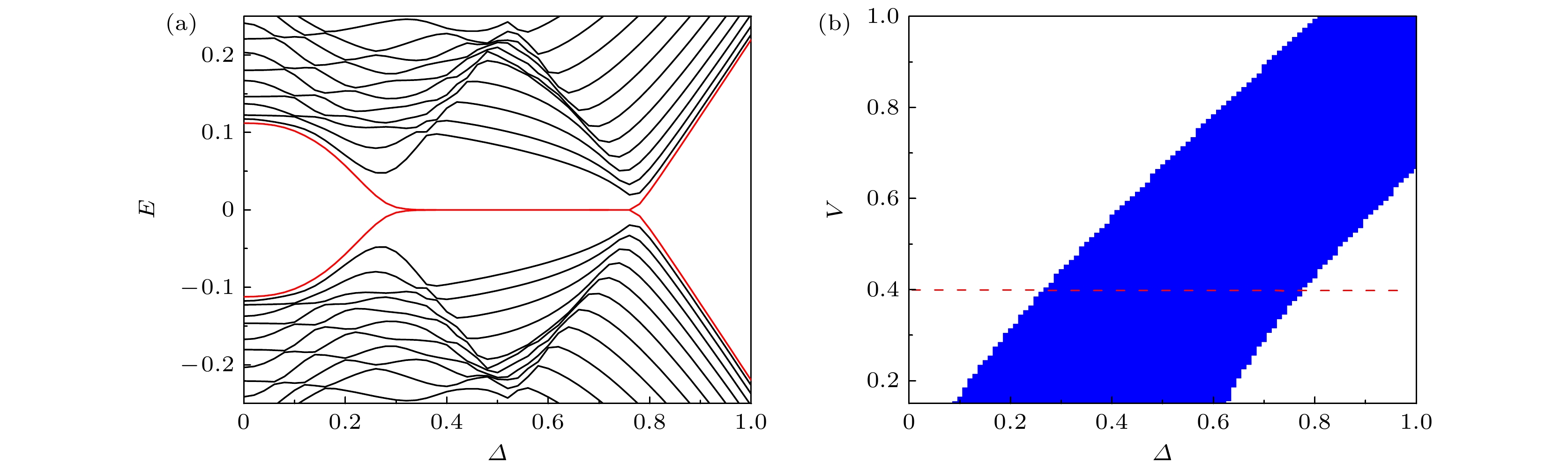
A magnetic flux threading through magnetic atomic rings can induce topological superconductivity. It provides a novel approach to achieving low-dimensional (2D) topological superconductivity, which requires neither spin-orbit coupling nor helical magnetic order. In this paper, we introduce a topological superconductor model by depositing a ferromagnetic atomic ring on the surface of a 2D s-wave superconductor. When the moments of the magnetic atoms are perpendicular to the external magnetic field, a magnetic flux can induce topological superconductivity. Considering practical experiments, because the magnetic atomic chain breaks the inversion symmetry of the surface of the 2D substrate, the Rashba spin-orbit coupling (SOC) is introduced, leading to the appearance of helical magnetic order in the atomic chain. According to previous researches, this helical magnetic order ensures that the magnetic moments of the ring are perpendicular to the external magnetic field, and the patch angle of neighbor moment of the helical order is proportional to the strength of the SOC. However, the helical order or Rashba SOC may introduce topological superconductivity on their own. It is meaningful to investigate the influence of the effects of the Rashba SOC and helical magnetic order on the flux induced topological superconducting states. We find that the Rashba SOC has a disruptive effect on the existing topological state, while helical magnetic order merely shifts its transition position in the parameter space. Therefore, when selecting materials for experiment, it is recommended to choose materials with lower Rashba SOC strength.