-
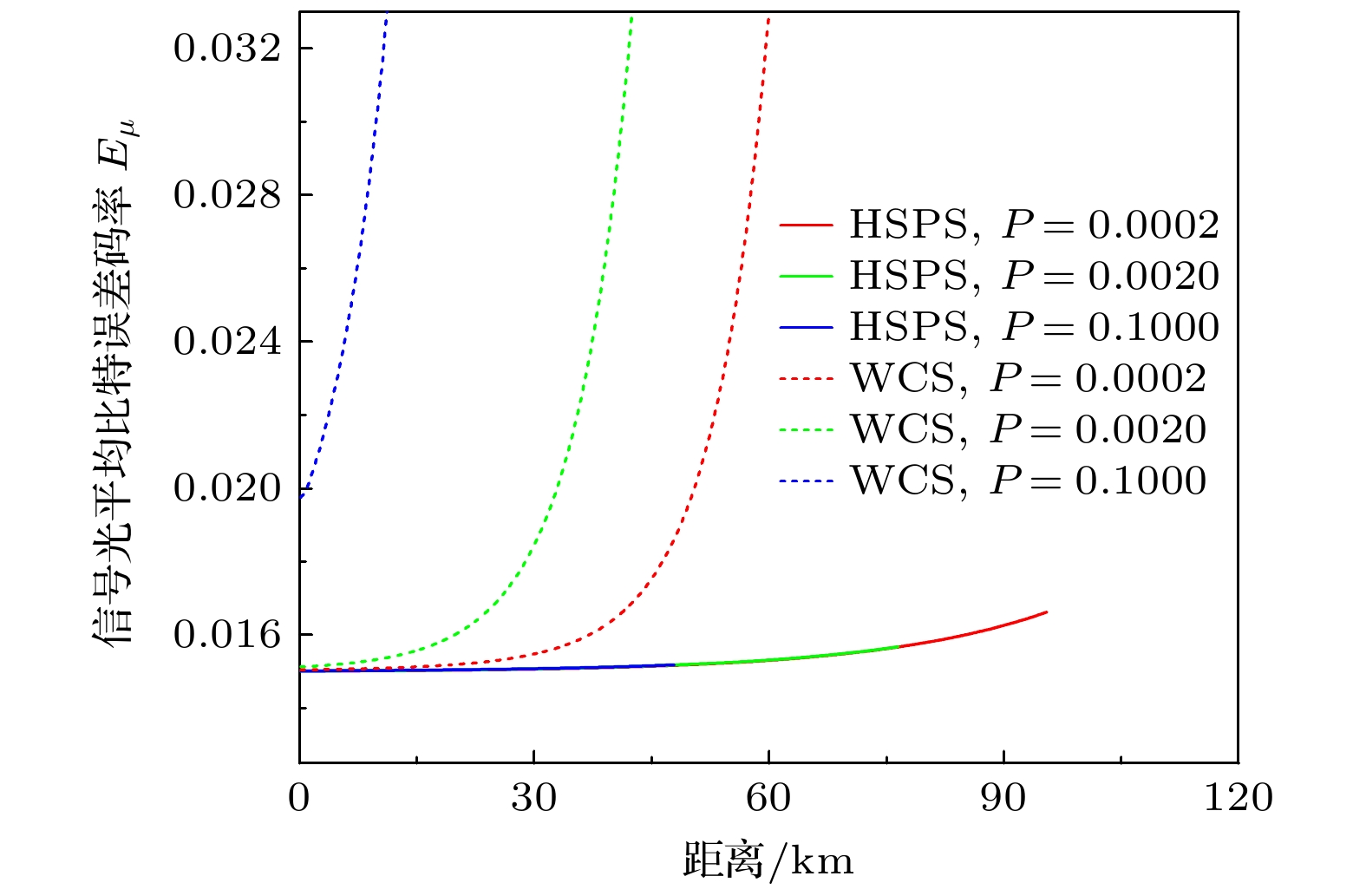
现有量子密钥分发系统的光源主要是弱相干态光源, 但是由于该类光源中含有大量的真空态脉冲, 并且在光源调制过程中可能存在一定信息泄漏, 从而限制了量子密钥分发系统的最远安全传输距离. 为克服这一局限, 本文提出了一种. 一方面, 通过借助标记单光子源中极低的真空态概率, 提升了系统的极限传输距离; 另一方面, 在系统发射端添加了Hong-Ou-Mandel (HOM)光源监控模块, 通过测量HOM干涉可见度的大小来精确刻画出源端可能泄漏信息量的大小, 从而更加准确地估算出系统可提取密钥率的大小. 此外, 将本工作与其他同类协议进行数值仿真对比, 仿真结果显示, 本协议在传输距离和密钥率等方面具有更加优越的性能. 因此, 本工作为未来发展更安全可靠的量子通信网络提供了重要的参考价值.
-
关键词:
- 量子密钥分发 /
- Hong-Ou-Mandel干涉 /
- 光源监控 /
- 标记单光子源
The security of quantum key distribution (QKD) is based on the basic principles of quantum mechanics, and therefore has unconditional security in theory. In existing quantum key distribution systems, weakly coherent sources (WCSs) are often used as light sources due to a high probability of vacuum pulses in these sources, resulting in limited transmission distances. Besides, there inevitably exist equipment defects in actual QKD systems, such as certain defects in phase modulators and intensity modulators, which lead to distinguishability of quantum states in higher dimensions and result in side-channel vulnerabilities. An eavesdropper can carry out corresponding attacks, thereby threatening the actual security of QKD systems. To overcome the above limitations, we propose an improved protocol on quantum key distribution based on monitoring heralded single-photon sources. Due to the simultaneity of parametric down-conversion photon pairs, we can accurately predict the arrival of one photon by measuring the arrival time of another photon. Through this way, we can greatly reduce the probability of vacuum states in the signal light, and increase the longest transmission distance of the QKD system. Moreover, a light source monitoring module is inserted into the sender’s side. By randomly selecting a certain period of time through the source monitoring module to measure the Hong-Ou-Mandel interference between the signal light and the idle light , we can estimate the side-channel information leakage of the source and then obtain the key generation rate. Compared with the QKD protocol based on monitoring weak coherent sources, our present protocol can give a better performance in either the transmission distance or the key generation rate, especially when the interference error is large. In addition, in principle, our present protocol can also be extended to other quantum key distribution protocols, such as the measurement-device-independent protocols, to further improve the security and practicability of QKD systems. Therefore, our present work can provide valuable references for realizing the large-scale application of quantum communication networks in the near future. -
Keywords:
- quantum key distribution /
- Hong-Ou-Mandel interference /
- source monitoring /
- heralded single-photon source
[1] [2] [3] [4] [5] [6] [7] [8] [9] [10] [11] [12] [13] [14] [15] [16] [17] [18] [19] [20] [21] [22] [23] [24] [25] [26] -
表 1 仿真使用的参数列表
N α/(dB·km–1) dA ηA Y0 ed ηB 1010 0.2 10–6 0.75 6.02×10–6 0.015 0.145 -
[1] [2] [3] [4] [5] [6] [7] [8] [9] [10] [11] [12] [13] [14] [15] [16] [17] [18] [19] [20] [21] [22] [23] [24] [25] [26]
计量
- 文章访问数: 378
- PDF下载量: 15
- 被引次数: 0








下载: