-
压电振动传感器与其他振动传感技术相比具有频率范围宽、动态范围大、结构简单、工作可靠、体积小等优点, 在核电行业、航空航天、轨道交通及国防军工等多个领域有着广泛的应用. 然而, 随着振动测试技术的飞速发展以及应用领域的不断拓宽, 对压电振动传感器在极端环境中长时服役的可靠性提出了更高要求, 如何提高压电振动传感器的服役温度满足极端环境下的应用需求是目前迫切解决的问题. 本文综述了高温压电传感技术应用场景和工作原理, 讨论了常见的高温压电陶瓷和晶体材料, 系统地总结了现有的压电振动传感器工作模式、不同类型压电振动传感器结构及传感器振动校准装置, 重点介绍了近年来国内外高温振动传感器的研究进展. 在此基础上, 探讨了高温压电振动传感器当前面临的问题及未来发展趋势, 为开发下一代极端环境应用的超高温振动传感器提供了思路, 有望促进国内高温压电振动传感技术的进一步研究.
Vibration sensor technology, especially piezoelectric vibration sensor, has been widely applied in various fields. This type of sensor has excellent dynamic response, linearity, wide bandwidth, high sensitivity, large temperature range, simple structure, and stable performance, so it can be applied in many cases such as nuclear power, aerospace, rail transportation, and defense industries. However, most of piezoelectric vibration sensors are limited to operating temperatures below 500 ℃, which restricts their applications in extreme high-temperature environments encountered in nuclear reactors, aircraft engines, missile systems, and internal combustion engines. How to improve the operating temperature of piezoelectric vibration sensors to meet their application requirements in extreme environments is an urgent problem that needs to be solved. High-temperature piezoelectric materials, as the core components of piezoelectric vibration sensors, play a decisive role in determining the overall performance of the sensor. Common high-temperature piezoelectric materials include piezoelectric ceramics and single crystals. To ensure stable operation and excellent sensitivity in extreme environments, it is essential to select piezoelectric materials with high Curie temperature, high piezoelectric coefficient, high resistivity, and low dielectric loss as the sensing elements of the sensor. There are usually three main types of piezoelectric vibration sensors: bending, compression, and shear. In addition to selecting the suitable piezoelectric material, it is also crucial to choose the optimal sensor structure suitable to the specific application scenarios. In view of the urgent demand for ultrahigh-temperature vibration sensors, this paper mainly reviews the current research progress of high-temperature piezoelectric materials and high-temperature piezoelectric vibration sensors, summarizes the structures, advantages and disadvantages, and application scenarios of different types of high-temperature piezoelectric vibration sensors, explores the current problems and future development trends of high-temperature piezoelectric vibration sensors, and provides ideas for developing the next-generation ultrahigh temperature vibration sensors for extreme environmental applications, which is expected to promote the further development of high-temperature piezoelectric vibration sensing technology. -
Keywords:
- vibration sensors /
- high-temperature piezoelectric materials /
- vibration modes /
- vibration calibration devices
[1] [2] [3] [4] [5] [6] [7] [8] [9] [10] [11] [12] [13] [14] [15] [16] [17] [18] [19] [20] [21] [22] [23] [24] [25] [26] [27] [28] [29] [30] [31] [32] [33] [34] [35] [36] [37] [38] [39] [40] [41] [42] [43] [44] [45] [46] [47] [48] [49] [50] [51] [52] [53] [54] [55] [56] [57] [58] [59] [60] [61] [62] [63] [64] [65] [66] [67] [68] [69] [70] [71] [72] [73] [74] [75] [76] [77] [78] [79] [80] [81] [82] [83] [84] [85] [86] [87] [88] [89] [90] [91] [92] [93] [94] [95] [96] [97] [98] [99] [100] [101] [102] [103] [104] [105] [106] [107] [108] [109] [110] [111] [112] [113] [114] [115] [116] [117] [118] [119] [120] [121] [122] [123] [124] [125] [126] [127] [128] [129] [130] [131] [132] [133] [134] [135] [136] [137] [138] [139] [140] [141] [142] [143] [144] [145] [146] [147] [148] [149] [150] [151] [152] [153] [154] [155] [156] [157] [158] [159] [160] [161] [162] [163] [164] [165] [166] [167] [168] [169] [170] -
加速度计
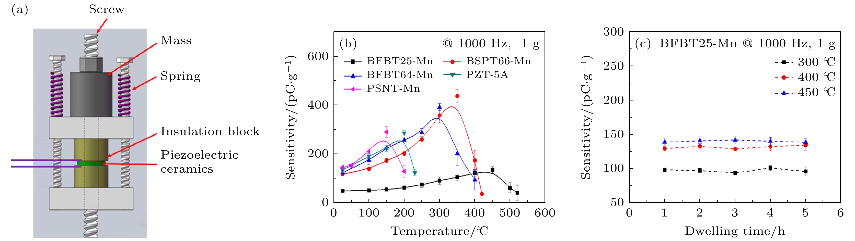
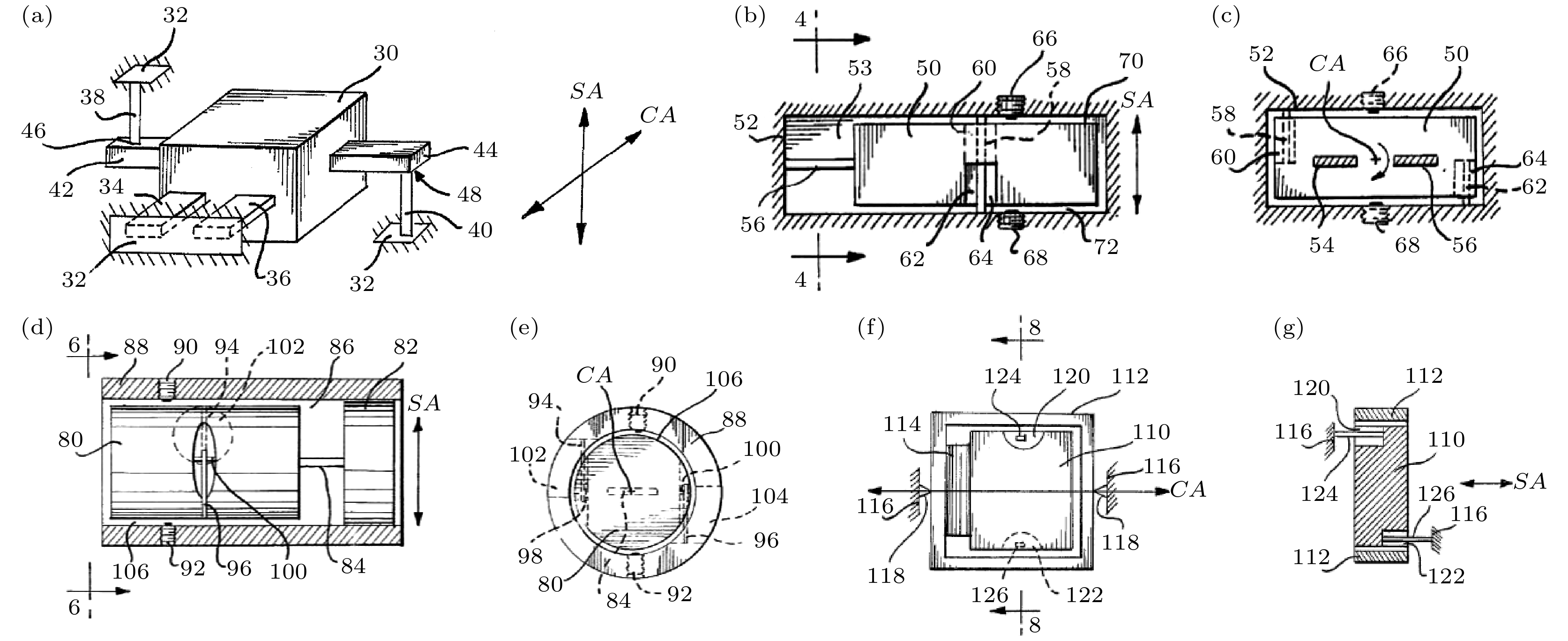
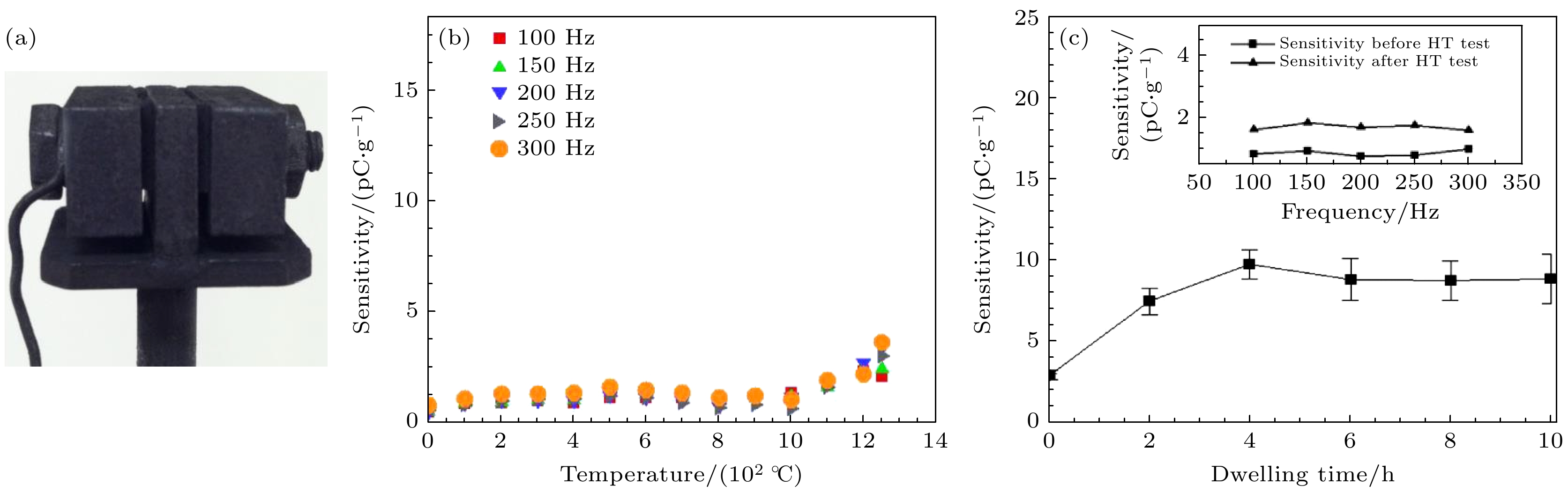
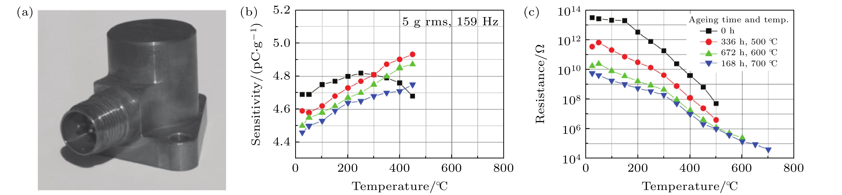
结构优点 缺点 应用场景 弯曲式 重量轻、灵敏度高、响应速度快、分辨率高、背底噪声低、易于微型化集成 频率范围窄、结构脆弱、抗冲击能力差、存在固有电荷泄露 微米级尺度的微弱信号的实时检测, 低频、低加速度信号测量等 压缩式 结构简单、加工便捷、制作成本低、强度和刚度大、共振频率高、频带宽、可以承受高水平瞬态振动 对力和温度变化敏感, 底座弯曲或热膨胀易引起较大测量误差、背底噪声高、横向灵敏度大、抗干扰能力较差 冲击测试等 剪切式 信号噪声低、应变小、抗干扰能力强、热性能稳定、电荷输出高、灵敏度高 结构复杂、固有频率低、可用频率带宽窄 微地震监测、钢水与钢渣、熔渣分离等 压电材料 加速度计结构 最高服役温度/℃ 灵敏度/(pC·g-1) 频响范围/Hz 参考文献 PbZr0.51Ti0.49O3 平面剪切式 300 42 1—8000 [160] LGT 平面剪切式 350 3.82 100—2000 [162] BFBT25-Mn 压缩式 450 49 200—1000 [150] CNGS 压缩式 600 0.722 60—2000 [133] CTGS 平面剪切式 600 2.56 100—2000 [140] BTS 倒装压缩式 600 ~12.5 — [153] UHT-12TM 平面剪切式 649 10 — [143] BTS 压缩式 650 2.62 120—3000 [154] YCOB 压缩式 900 ~2.4 100—600 [155] AlN 平面剪切式 1000 9.2 40—600 [164] YCOB 平面剪切式 1000 ~5.9 1—335 [35] YCOB 平面剪切式 1250 ~1.26 1—320 [163] -
[1] [2] [3] [4] [5] [6] [7] [8] [9] [10] [11] [12] [13] [14] [15] [16] [17] [18] [19] [20] [21] [22] [23] [24] [25] [26] [27] [28] [29] [30] [31] [32] [33] [34] [35] [36] [37] [38] [39] [40] [41] [42] [43] [44] [45] [46] [47] [48] [49] [50] [51] [52] [53] [54] [55] [56] [57] [58] [59] [60] [61] [62] [63] [64] [65] [66] [67] [68] [69] [70] [71] [72] [73] [74] [75] [76] [77] [78] [79] [80] [81] [82] [83] [84] [85] [86] [87] [88] [89] [90] [91] [92] [93] [94] [95] [96] [97] [98] [99] [100] [101] [102] [103] [104] [105] [106] [107] [108] [109] [110] [111] [112] [113] [114] [115] [116] [117] [118] [119] [120] [121] [122] [123] [124] [125] [126] [127] [128] [129] [130] [131] [132] [133] [134] [135] [136] [137] [138] [139] [140] [141] [142] [143] [144] [145] [146] [147] [148] [149] [150] [151] [152] [153] [154] [155] [156] [157] [158] [159] [160] [161] [162] [163] [164] [165] [166] [167] [168] [169] [170]
计量
- 文章访问数: 4437
- PDF下载量: 274
- 被引次数: 0








下载: