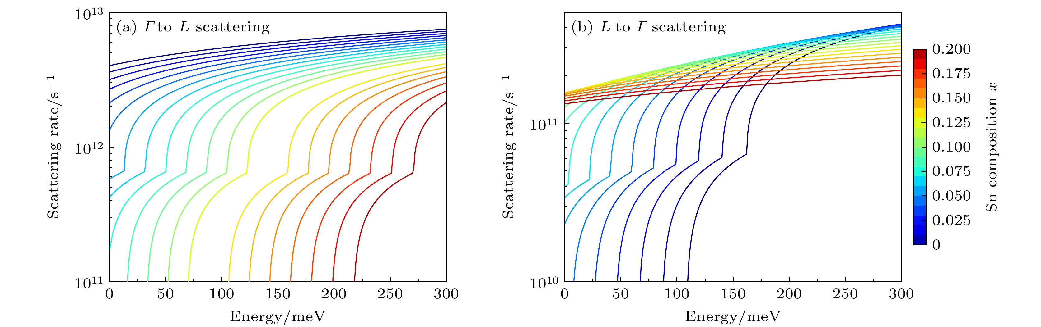
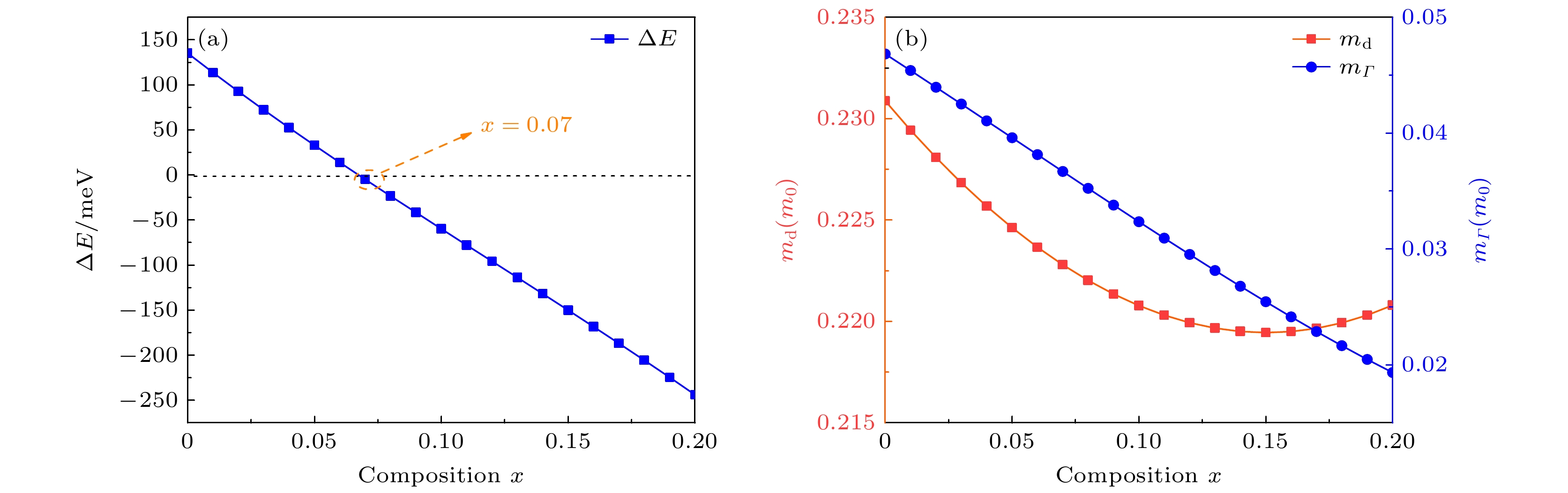
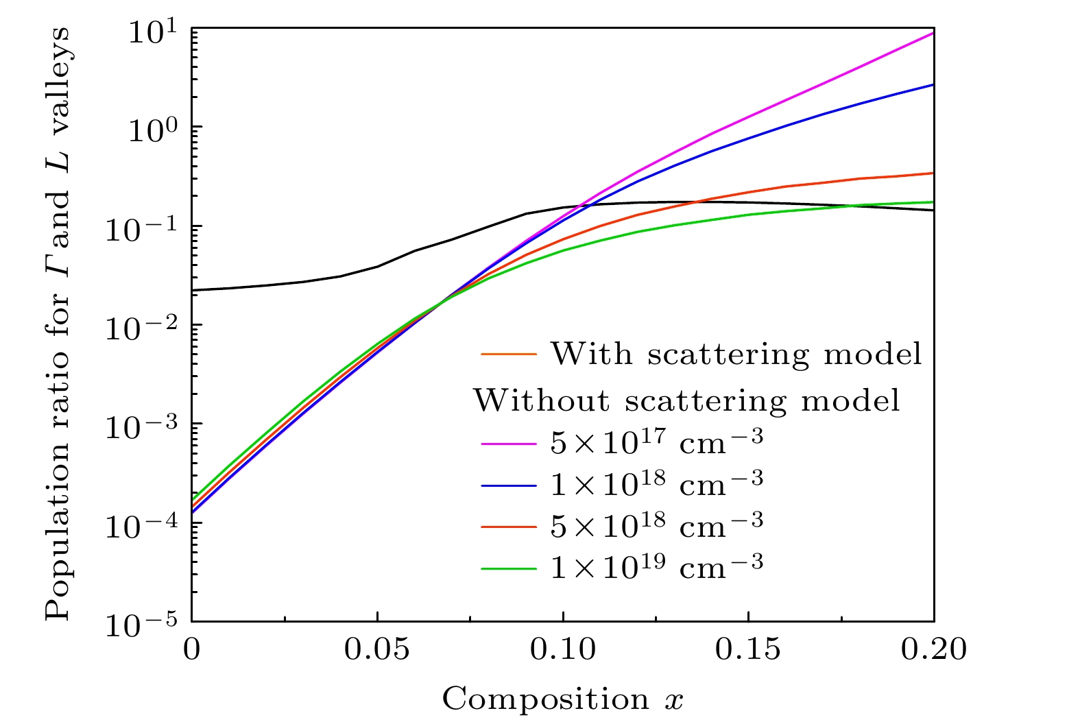
Ge1–x Snx alloys have aroused great interest in silicon photonics because of their compatiblity with complementary metal-oxide-semiconductor (CMOS) technology. As a result, they are considered potential candidate materials. Owing to the significant differences in effective mass within the valleys, the unique dual-valley structure of Γ valley and L valley in energy can improve the optoelectronic properties of Ge1–x Snx alloys. Therefore, inter-valley scattering mechanisms between the Γ and L valley in Ge1–x Snx alloys are crucial for understanding the electronic transports and optical properties of Ge1–x Snx materials. This work focuses on the theoretical analysis of inter-valley scattering mechanisms between Γ and L valley, and hence on the electron transmission dynamics in Ge1–x Snx alloys based on the phenomenological theory model.Firstly, the 30th-order k ·p perturbation theory is introduced to reproduce the band structure of Ge1–x Snx. The results show that the effective mass of L valley is always about an order of magnitude higher than that of Γ valley, which will significantly influence the electron distributions between Γ and L valley.Secondly, the scattering mechanism is modeled in Ge1–x Snx alloys. The results indicate that scattering rate RΓL is about an order of magnitude higher than RLΓ, while RΓL decreases with the increase of Sn composition and tends to saturate when Sn component is greater than 0.1. And RLΓ is almost independent of the Sn component.Thirdly, kinetic processes of carriers between Γ and L valley are proposed to analyze the electron transmission dynamics in Ge1–x Snx alloys. Numerical results indicate that the electron population ratio for Γ-valley increases and then tends to saturation with the increase of Sn composition, and is independent of the injected electron concentration. The model without the scattering mechanism indicates that the electron population ratio for Γ-valley in indirect-Ge1–x Snx alloys is independent of the injected electron concentration, while the electron population ratio for Γ-valley in direct-Ge1–x Snx alloys is dependent on the injected electron concentration, and the lower the electron concentration, the greater the electron population ratio for Γ-valley is.The results open a new way of understanding the mechanisms of electron mobility, electrical transport, and photoelectric conversion in Ge1–x Snx alloys, and can provide theoretical value for designing Ge1–x Snx alloys in the fields of microelectronics and optoelectronics.