搜索

x

留言板

姓名
邮箱
手机号码
标题
留言内容
验证码

引用本文:
Citation:

万梓煊, 胡亮, 金英捷, 魏炳波
cstr: 32037.14.aps.74.20241194

Phase selection mechanism and eutectic growth kinetics of refractory Nb81.7Si17.3Hf alloy under electrostatic levitation condition

WAN Zixuan, HU Liang, JIN Yingjie, WEI Bingbo
cstr: 32037.14.aps.74.20241194
Article Text (iFLYTEK Translation)
PDF
HTML
导出引用
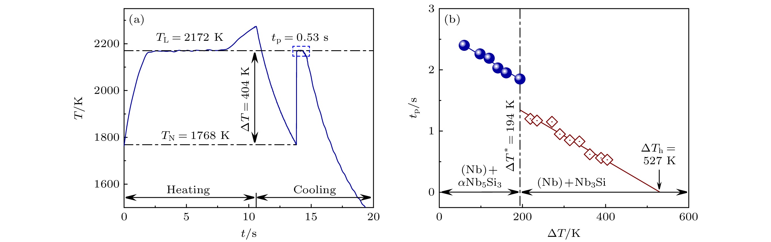
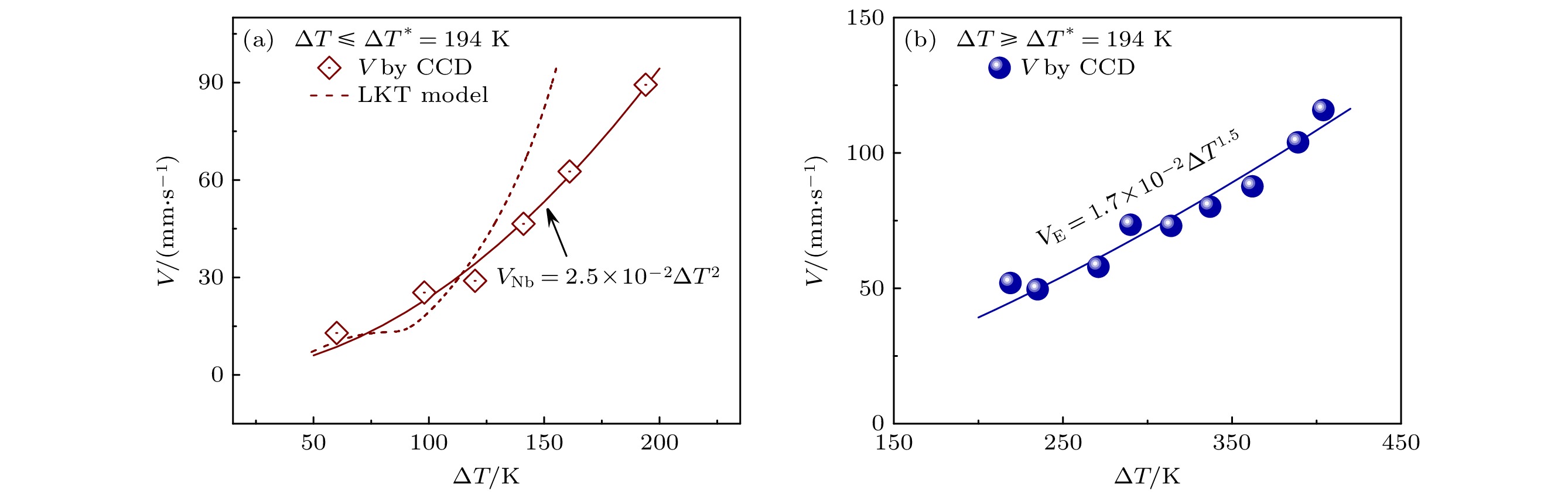
  • 采用静电悬浮技术实现了液态Nb81.7Si17.3Hf合金在不同过冷度下的快速凝固, 实验最大过冷度达404 K (0.19TL). 实验测定出其液态超过冷临界过冷度为527 K (0.24TL). 当液相过冷度超过194 K时, 合金相组成由(Nb)和αNb5Si3转变为(Nb)和Nb3Si. 若过冷度小于此临界值, 凝固过程中(Nb)相优先形核生长, 剩余液相形成了(Nb)+αNb5Si3层片共晶. 高速摄影实验发现初生相的生长速度可达89.4 mm/s. 在194 K以上深过冷条件下, (Nb)初生相将消失, (Nb)+Nb3Si非规则共晶在过冷熔体中直接生长. 非规则共晶生长速度随过冷度呈幂函数增大, 最高可达115.9 mm/s. 由于共晶间距减小和(Nb)相体积分数增大, 在194 K过冷度下合金断裂韧性可达21.9 MPa·m1/2, 提升至小过冷条件的3.4倍.
    The phase selection mechanism and eutectic growth kinetics of Nb81.7Si17.3Hf alloy are investigated by electrostatic levitation technique. The maximum undercooling of this alloy reaches 404 K (0.19TL). By analyzing the cooling curves, its hypercooling limit is obtained to be 527 K (0.24TL). A critical undercooling of 194 K is determined for the transition of solidification path. Below this undercooling threshold, (Nb) phase firstly nucleates and grows into primary dendrites, resulting in the enrichment of Si and Hf in the residual melt, which is conducive to the formation of the (Nb)+αNb5Si3 eutectics. Therefore, (Nb)+αNb5Si3 lamellar eutectics form in interdendritic space. With the increase of undercooling, the growth velocity of primary (Nb) dendritic follows a power function, while the eutectic growth velocity increases slowly. The maximum values of (Nb) dendritic reaches 89.4 mm/s. A modified LKT/BCT model is used to calculate the growth velocity of (Nb) dendrites. The results are in good agreement with the experimental values, indicating that after the LKT model is modified slightly, it can be used to describe the rapid dendrite growth behavior of the (Nb) phase in the Nb81.7Si17.3Hf alloy melt. Meanwhile, the lamellar spacing of (Nb)+αNb5Si3 eutectics notably decreases to 360 nm at 194 K undercooling. Above the critical threshold, the primary (Nb) dendrites disappear, whereas (Nb) phase and Nb3Si phase nucleate independently in the undercooled liquid and grow into anomalous eutectics. The growth velocity of anomalous eutectic exhibits a power function relationship with the increase of undercooling, with a maximum value of 115.9 mm/s. The interphase spacing of (Nb)+Nb3Si anomalous eutectics is larger than that of (Nb)+αNb5Si3 lamellar eutectics. Owing to the formation of nanosized eutectics and the increase of volume fraction of (Nb) phase, the alloy fracture toughness at 194 K reaches 21.9 MPa·m1/2, which is 3.4 times as large as that under small undercooling condition.
      通信作者: 魏炳波, bbwei@nwpu.edu.cn
    • 基金项目: 国家重点研发计划(批准号: 2021YFA0716301)、国家自然科学基金(批准号: 52088101, 52171047)和陕西省自然科学基金(批准号: 2023-JC-JQ-30)资助的课题.
      Corresponding author: WEI Bingbo, bbwei@nwpu.edu.cn
    • Funds: Project supported by the National Key R&D Program of China (Grant No. 2021YFA0716301), the National Natural Science Foundation of China (Grant Nos. 52088101, 52171047), and the Scientific Research Program Funded by Shaanxi Province, China (Grant No. 2023-JC-JQ-30).
    [1]

    [2]

    [3]

    [4]

    [5]

    [6]

    [7]

    [8]

    [9]

    [10]

    [11]

    [12]

    [13]

    [14]

    [15]

    [16]

    [17]

    [18]

    [19]

    [20]

    [21]

    [22]

    [23]

    [24]

    [25]

    [26]

    [27]

    [28]

    [29]

  • 参数 符号/单位 数值 文献
    液相线温度 TL/K 2172 This work
    熔化焓 ΔHm/(J·mol–1) 32943 [24]
    熔体比热 CPL/(J·mol–1·K–1) 31.88 [24]
    (Nb)相界面能 σ0/(J·m–2) 0.28 [25]
    热扩散系数 Dt/(m2·s–1) 3.1×10–5 [22]
    液相线斜率(Si) m1/(K·%–1) 94.32 [12]
    液相线斜率(Hf) m2/(K·%–1) 5.51 [12]
    平衡分配系数(Si) k1 0.17 [12]
    平衡分配系数(Hf) k2 0.52 [12]
    溶质扩散系数(Si) D1/(m2·s–1) 1.8×10–9 [24]
    溶质扩散系数(Hf) D2/(m2·s–1) 1.2×10–9 [24]
    溶质扩散特征长度 a0/m 2.0×10–9 [24]
    下载: 导出CSV
  • [1]

    [2]

    [3]

    [4]

    [5]

    [6]

    [7]

    [8]

    [9]

    [10]

    [11]

    [12]

    [13]

    [14]

    [15]

    [16]

    [17]

    [18]

    [19]

    [20]

    [21]

    [22]

    [23]

    [24]

    [25]

    [26]

    [27]

    [28]

    [29]

计量
  • 文章访问数:  1273
  • PDF下载量:  57
  • 被引次数: 0
出版历程
  • 收稿日期:  2024-08-27
  • 修回日期:  2024-12-23
  • 上网日期:  2024-12-26
  • 刊出日期:  2025-02-05

返回文章
返回