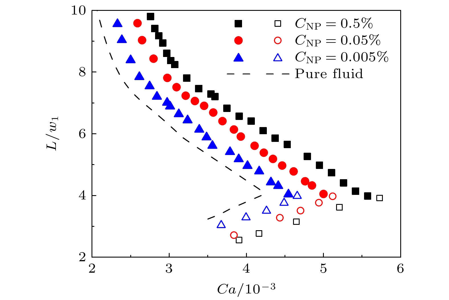
The release of trapped droplets in pore-throat structures is of great significance to study multiphase flow in porous media. In this paper, the effects of nanoparticle surfactants on the release behavior of trapped droplets in micro-pore throat are investigated using microfluidic visualization system and fluorescence techniques. We demonstrate a droplet control technique in microchannel and observe the release states of trapped droplets in pore-throat. We obtain the phase diagram of droplet states and establish mathematical models describing the critical transition condition by mechanism analysis. Based on the analysis of force on the trapped droplets, the breakup mechanism and the release mechanism are also obtained when droplets move through the pore-throat. The breakup of droplets is dominated by capillary pressure, with the critical capillary number of breakup being negatively correlated with droplet size. Conversely, the release of droplets is controlled by capillary pressure and hydrostatic pressure, with the critical capillary number of release exhibiting a positive correlation with droplet size. In addition, this research reveals the effect of nanoparticle surfactants on droplet release behavior by analyzing the variation of droplet length with flow velocity and capillary number. Nanoparticle surfactant reduces the critical flow velocity of droplet release but significantly increases the critical capillary number, and this phenomenon becomes more pronounced with the increase of concentrations of nanoparticle surfactants. Fluorescence experiments further elucidate the mechanism by which nanoparticle surfactants inhibit the release of trapped droplets in pore-throat by inducing interfacial viscoelasticity. Nanoparticles react with polymers at the interface to form the viscoelastic film. This film-induced interfacial viscoelasticity hinders droplet deformation and increases the viscous resistance between droplets and wall, thereby impeding the release of trapped droplets in pore-throat.