搜索

x

留言板

姓名
邮箱
手机号码
标题
留言内容
验证码

引用本文:
Citation:

张竺立, 张凡, 王凯雷, 李超, 王锦涛
cstr: 32037.14.aps.74.20241325

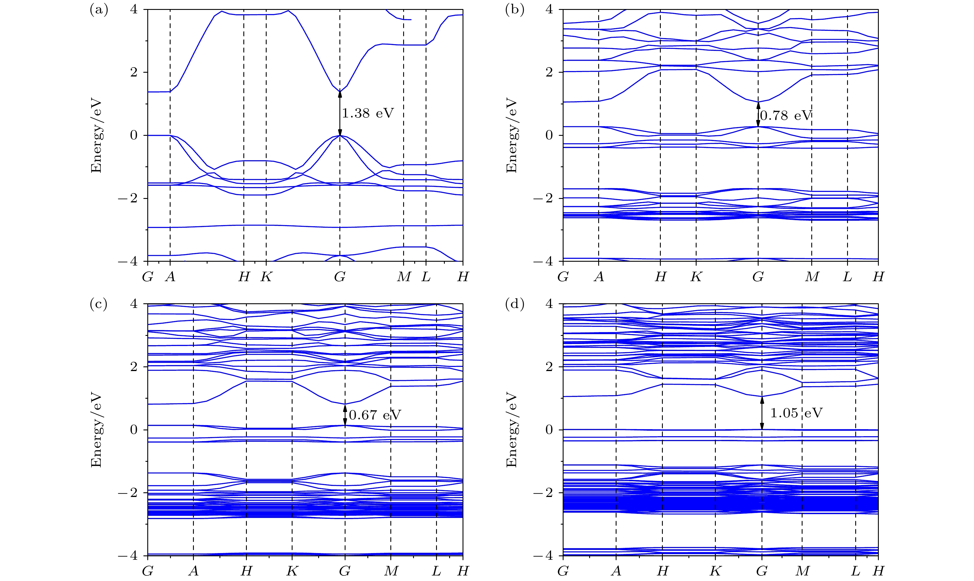
Effect of Fe doping on electronic structure and optical properties of two-dimensional CuI

ZHANG Zhuli, ZHANG Fan, WANG Kailei, LI Chao, WANG Jintao
cstr: 32037.14.aps.74.20241325
Article Text (iFLYTEK Translation)
PDF
HTML
导出引用
计量
  • 文章访问数:  1565
  • PDF下载量:  54
  • 被引次数: 0
出版历程
  • 收稿日期:  2024-09-22
  • 修回日期:  2024-11-14
  • 上网日期:  2024-12-10
  • 刊出日期:  2025-01-20

返回文章
返回