搜索

x

留言板

姓名
邮箱
手机号码
标题
留言内容
验证码

引用本文:
Citation:

杨三祥, 赵以德, 代鹏, 李建鹏, 谷增杰, 孟伟, 耿海, 郭宁, 贾艳辉, 杨俊泰
cstr: 32037.14.aps.74.20241330

Instabilities triggered off by electron collision, plasma density gradient, and magnetic field gradient in Hall thruster

YANG Sanxiang, ZHAO Yide, DAI Peng, LI Jianpeng, GU Zengjie, MENG Wei, GENG Hai, GUO Ning, JIA Yanhui, YANG Juntai
cstr: 32037.14.aps.74.20241330
Article Text (iFLYTEK Translation)
PDF
HTML
导出引用
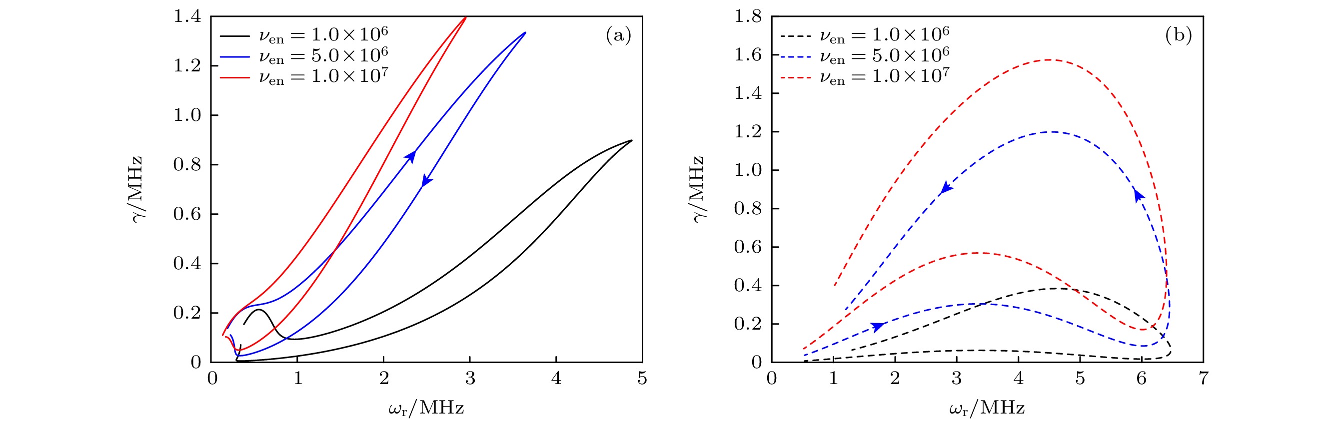
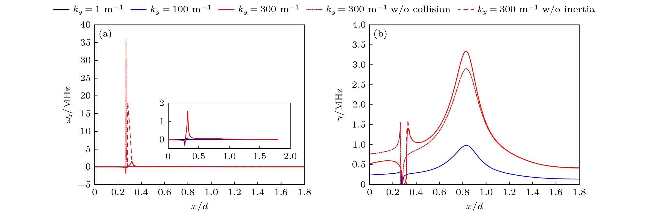
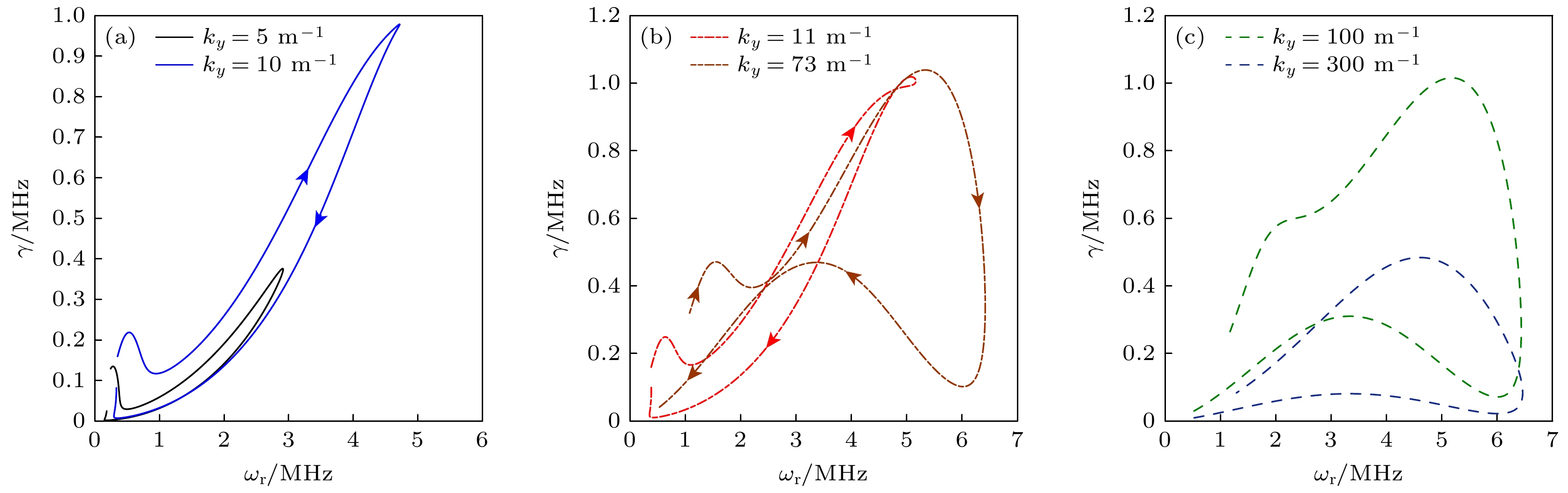
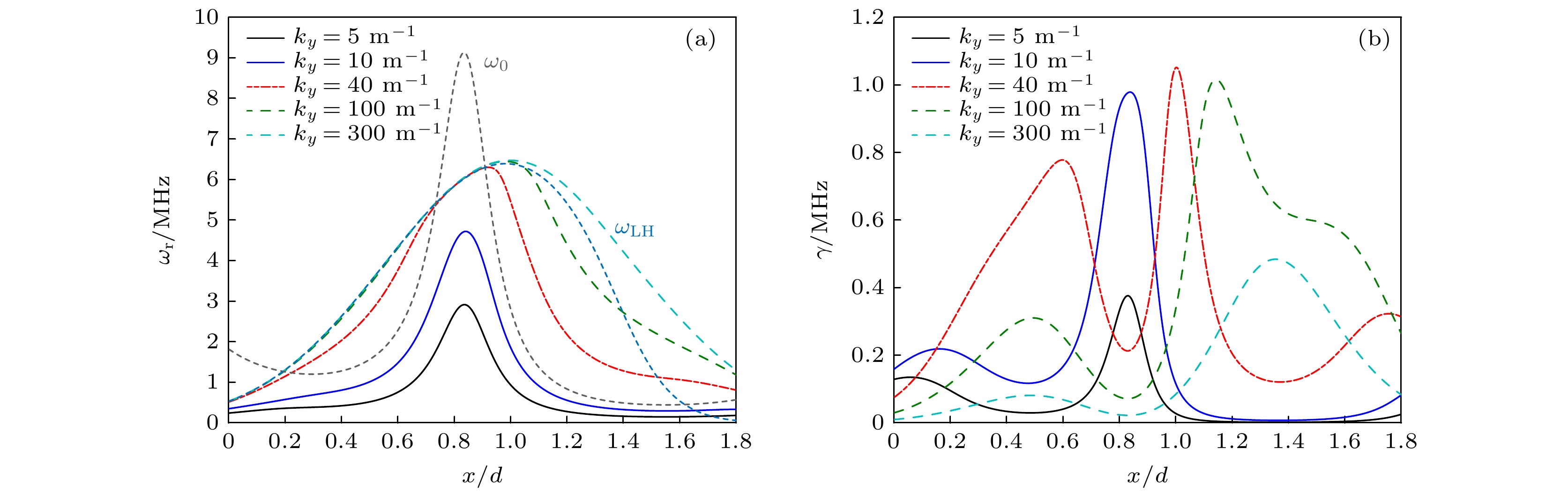
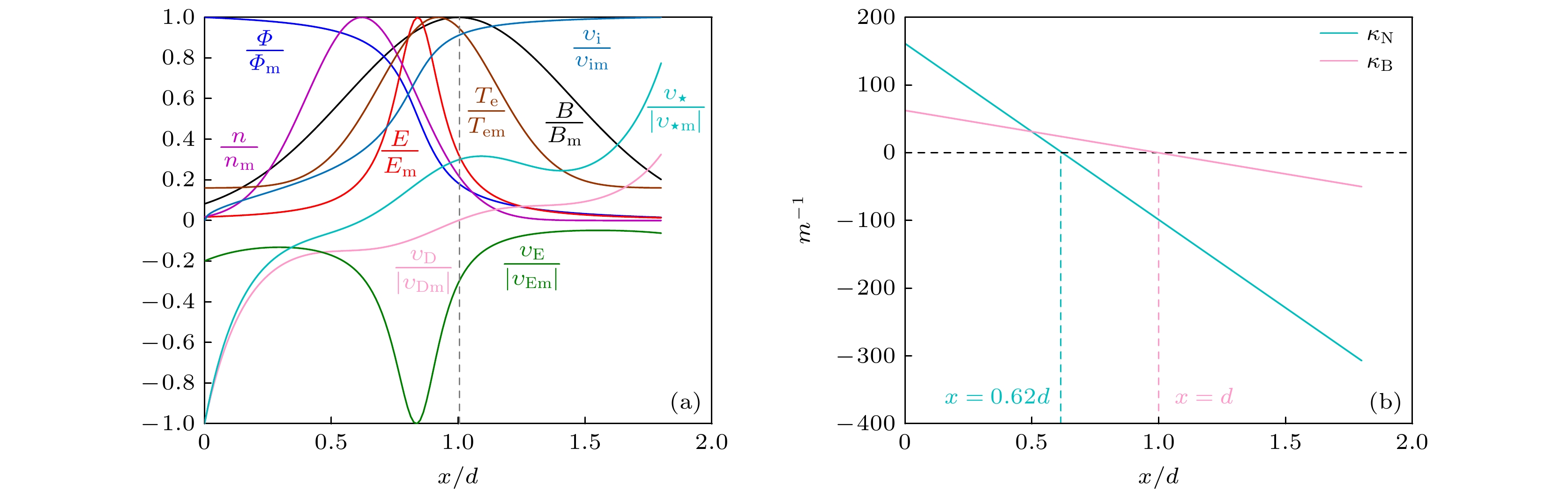
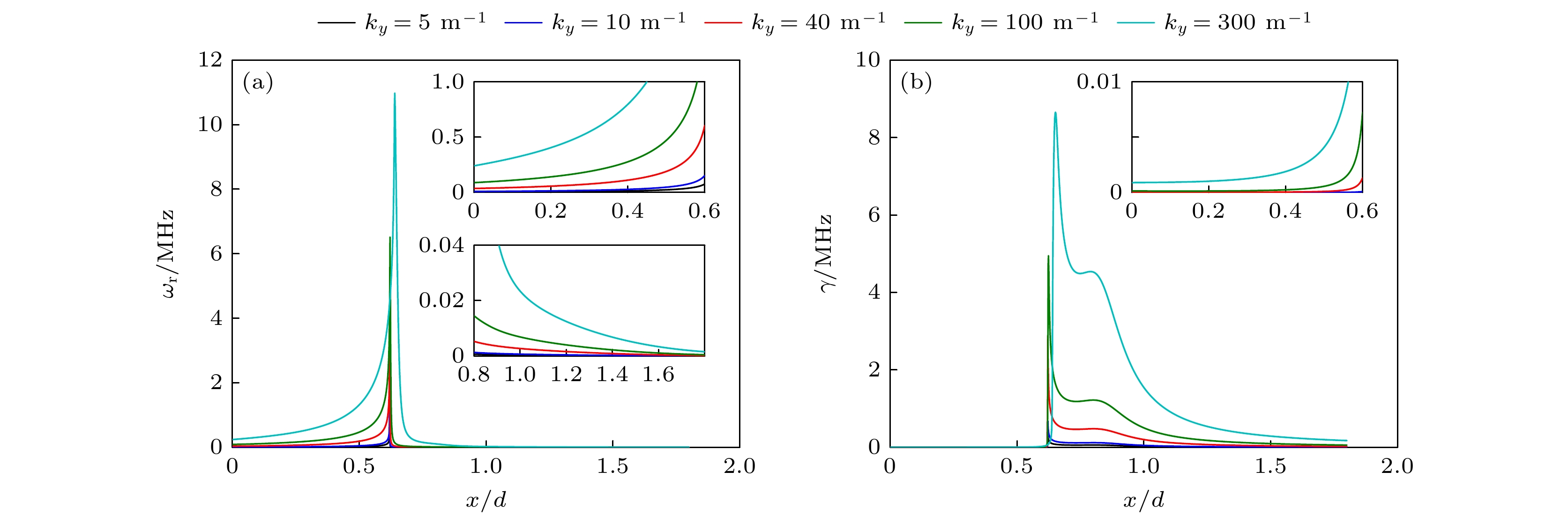
  • 在霍尔推力器中, 电子漂移、电子碰撞, 以及等离子体密度、温度、磁场梯度所蕴含的自由能会驱动各种频率和波长的不稳定性. 不稳定性的存在会破坏等离子体的稳定放电, 削弱推力器与电源处理单元的匹配度, 降低推力器的性能. 基于此, 本文利用基于流体模型推导的色散关系研究了霍尔推力器中由电子碰撞、等离子体密度和磁场梯度驱动的不稳定性. 结果表明: 1)在考虑电子惯性、电子与中性原子的碰撞, 以及电子${\boldsymbol{E}} \times {\boldsymbol{B}}$漂移时能够在推力器近阳极区到羽流区内的任一轴向位置处激发不稳定性. 随着角向波数${k_y}$的增大($k = 2{\text{π /}}\lambda $, $\lambda $为波长), 模式将从由碰撞激发的低杂波不稳定性转变为离子声波不稳定性. 当${k_y} = 10 {{\text{ m}}^{ - 1}}$时, 最大增长率${\gamma _{\max }}$对应频率${\omega _{\text{r}}}$随着碰撞频率${\nu _{{\text{en}}}}$的增大而轻微减小; 当$ {k_y} = 300 {{\text{ m}}^{ - 1}} $时, ${\gamma _{\max }}$对应的频率${\omega _{\text{r}}}$以及最大频率${\omega _{{\text{rmax}}}}$几乎不随碰撞频率变化. 不依赖于$ {k_y} $的大小, 对于碰撞激发的不稳定性, 模式的增长率随着碰撞频率的增大而增大. 2) 同时考虑电子惯性、电子碰撞效应, 以及密度梯度时, 密度梯度对驱动不稳定性占主导作用. 模式的动力学行为不会随${k_y}$的增大而变化, 但模式的本征值随${k_y}$的增大而增大. 在密度梯度${\kappa _{\text{N}}} = 0$的两侧, 由于密度梯度引起的抗磁性漂移频率${\omega _{\text{s}}}$的符号发生了变化, 模式的本征值在${\kappa _{\text{N}}} = 0$两侧有相反的变化趋势: 当${\omega _*}$与${\omega _{\text{r}}}$符号相反时, 密度梯度对不稳定性的激发有削弱作用(${\kappa _{\text{N}}} \gt 0$); 当${\omega _*}$与${\omega _{\text{r}}}$符号相同时, 密度梯度对不稳定性的激发有增强作用(${\kappa _{\text{N}}} \lt 0$). 3)在模型中同时考虑等离子体密度梯度、磁场梯度, 以及电子惯性和碰撞效应时, 模式本征值的变化依赖于电子的漂移频率, 以及密度和磁场梯度引起的抗磁性漂移频率的相对大小. 当仅包含密度梯度和磁场梯度时, 推力器放电通道内将出现稳定窗, 即增长率为0的区间; 包含电子惯性和碰撞效应后, 稳定窗消失.
    The free energy contained in electron drift, electron collision, and plasma density gradient, temperature, magnetic field gradient can trigger off the instabilities with different frequencies and wavelengths in hall thrusters. The instabilities will destroy the stable discharge of plasma, affecting the matching degree between the thruster and the power processing unit, and reducing the performance of the thruster. Based on this, the instabilities triggered off by electron collision, plasma density gradient, and magnetic field gradient in the hall thruster are studied by using dispersion relation derived from the fluid model. The results are shown below. 1) When in the model includes the effects of electron inertia, collision between electrons and neutral atoms, and electron drift, instability can be excited at any axial position from the near anode region to the plume region of the thruster. With the increase of azimuthal wavenumber ${k_y} = 2\pi /\lambda $, the lower-hybrid mode excited by electron collision transitions into the ion sound mode, where ${k_y} = 2{\text{π }}/\lambda $, $\lambda $being the wave length. The real frequency ${\omega _{\text{r}}}$ corresponding to the maximum growth rate ${\gamma _{\max }}$ slightly decreases with collision frequency increasing for ${k_y} = 10{\text{ }}{{\text{ m}}^{ - 1}}$. However, the maximum real frequency and real frequency ${\omega _{\text{r}}}$ corresponding to the maximum growth rate ${k_y} = 300{{\text{ m}}^{ - 1}}$ will not change with collision frequency for ${k_y} = 300{\text{ }}{{\text{ m}}^{ - 1}}$. Independent of the value of ${k_y}$, the growth rate of mode triggered off by electron collision increases with collision frequency increasing. 2) The plasma density gradient effect plays a dominant role in triggering off instabilities when the electron inertia, electron-neutral collisions and plasma density gradient are simultaneously included in the model. The dynamic behavior of the model does not change with the increase of ${k_y}$, but the eigenvalue of the model increases with the ${k_y}$ increasing. Since the sign of anti-drift frequency induced by the plasma density gradient is changed, the mode eigenvalues have the opposite change trend on both sides of point ${\kappa _{\text{N}}}$. When the sign of ${\omega _r}$ and ${\omega _r}$ are opposite, the density gradient effect has a stabilization effect on instability excitation (${\kappa _{\text{N}}} > 0$). When the sign of ${\omega _{\text{s}}}$ and ${\omega _{\text{r}}}$ are the same, the density gradient effect enhances the excitation of instability (${\kappa _{\text{N}}} < 0$). 3) If the plasma density gradient, magnetic field gradient, electron inertia and electron-neutral collisions are included in the dispersion, the mode eigenvalue relies on the electron drift frequency, and the diamagnetic drift frequency induced by the density gradient and magnetic field gradient. When the density gradient effect and the magnetic field gradient effect are considered, there is a stable window in the discharge channel. However, if the electron inertia and electron-neutral collisions are also included, the stable window will disappear.
      通信作者: 耿海, marineen115@163.com
    • 基金项目: 国家重点研发计划(批准号: 2021YFC2202704)、国家自然科学基金(批准号: 62201238)和甘肃省杰出青年基金(批准号: 21JR7RA744)资助的课题.
      Corresponding author: GENG Hai, marineen115@163.com
    • Funds: Project supported by the National Key R&D Program of China (Grant No. 2021YFC2202704), the National Natural Science Foundation of China (Grant No. 62201238), and the Outstanding Youth Fund of Gansu Province, China (Grant No. 21JR7RA744).
    [1]

    [2]

    [3]

    [4]

    [5]

    [6]

    [7]

    [8]

    [9]

    [10]

    [11]

    [12]

    [13]

    [14]

    [15]

    [16]

    [17]

    [18]

    [19]

    [20]

    [21]

    [22]

    [23]

    [24]

    [25]

    [26]

    [27]

    [28]

    [29]

    [30]

    [31]

    [32]

    [33]

    [34]

  • 参数 数值 参数 数值
    ${\varPhi _{\text{m}}}$/V 270 ${l_1}$ $0.62 d$
    ${B_{\text{m}}}$/T 0.018 ${l_2}$ $0.84 d$
    ${n_{\text{m}}}$/m–3 5.0×1017 ${l_3}$ $0.92 d$
    ${\vartheta _1}$ 2.5 ${\alpha _2}$ 1.5
    ${\vartheta _2}$ 4 $T_{\text{e}}^{{\text{max}}}$/eV 24
    ${\vartheta _3}$ 7.5 $T_{\text{e}}^{{\text{min}}}$/eV 3
    ${\vartheta _4}$ 8
    下载: 导出CSV
  • [1]

    [2]

    [3]

    [4]

    [5]

    [6]

    [7]

    [8]

    [9]

    [10]

    [11]

    [12]

    [13]

    [14]

    [15]

    [16]

    [17]

    [18]

    [19]

    [20]

    [21]

    [22]

    [23]

    [24]

    [25]

    [26]

    [27]

    [28]

    [29]

    [30]

    [31]

    [32]

    [33]

    [34]

  • [1] 马莉莉, 张世平, 张芳军, 李麦娟, 蒋军, 丁晓彬, 颉录有, 张登红, 董晨钟. W6+离子的电子碰撞电离研究. 必威体育下载 , 2024, 73(12): 123401. doi: 10.7498/aps.73.20240408
    [2] 杨三祥, 赵以德, 代鹏, 李建鹏, 耿海, 杨俊泰, 贾艳辉, 郭宁. 羽流区磁场对霍尔推力器性能影响的二维模拟研究. 必威体育下载 , 2024, 73(24): 245202. doi: 10.7498/aps.73.20241331
    [3] 杨三祥, 郭宁, 贾艳辉, 耿海, 高俊, 刘家涛, 刘士永, 杨盛林. 霍尔推力器中呼吸振荡激发机理及影响因素. 必威体育下载 , 2023, 72(8): 085201. doi: 10.7498/aps.72.20230009
    [4] 杨三祥, 王倩楠, 高俊, 贾艳辉, 耿海, 郭宁, 陈新伟, 袁兴龙, 张鹏. 径向磁场对霍尔推力器性能影响的数值模拟研究. 必威体育下载 , 2022, 71(10): 105201. doi: 10.7498/aps.71.20212386
    [5] 王文钊, 胡碧涛, 郑皓, 屠小青, 高朋林, 闫松, 郭文传, 闫海洋. 一种可用于极化3He实验的新型磁场系统. 必威体育下载 , 2018, 67(17): 176701. doi: 10.7498/aps.67.20180571
    [6] 王鹏, 薛纭, 楼智美. 黏性流体中超细长弹性杆的动力学不稳定性. 必威体育下载 , 2017, 66(9): 094501. doi: 10.7498/aps.66.094501
    [7] 谭文静, 安竹, 朱敬军, 赵建玲, 刘慢天. 10-25 keV电子致厚W,Au靶韧致辐射谱的测量. 必威体育下载 , 2016, 65(11): 113401. doi: 10.7498/aps.65.113401
    [8] 王通, 王晓方. 激光尾场加速电子的密度梯度注入的解析处理. 必威体育下载 , 2016, 65(4): 044102. doi: 10.7498/aps.65.044102
    [9] 张恒, 段文山. 二维玻色-爱因斯坦凝聚中孤立波的调制不稳定性. 必威体育下载 , 2013, 62(4): 044703. doi: 10.7498/aps.62.044703
    [10] 卿绍伟, 鄂鹏, 段萍. 壁面二次电子发射对霍尔推力器放电通道绝缘壁面双鞘特性的影响. 必威体育下载 , 2013, 62(5): 055202. doi: 10.7498/aps.62.055202
    [11] 魏琪, 鄂文汲. 薄膜去湿不稳定性的热力学分析. 必威体育下载 , 2012, 61(16): 160508. doi: 10.7498/aps.61.160508
    [12] 卿绍伟, 鄂鹏, 段萍. 电子温度各向异性对霍尔推力器中等离子体与壁面相互作用的影响. 必威体育下载 , 2012, 61(20): 205202. doi: 10.7498/aps.61.205202
    [13] 于达仁, 卿绍伟, 王晓钢, 丁永杰, 段萍. 电子温度各向异性对霍尔推力器BN绝缘壁面鞘层特性的影响. 必威体育下载 , 2011, 60(2): 025204. doi: 10.7498/aps.60.025204
    [14] 邓立赟, 蓝红梅, 刘悦. 霍尔推力器磁场位形及其优化的数值研究. 必威体育下载 , 2011, 60(2): 025213. doi: 10.7498/aps.60.025213
    [15] 鄂鹏, 段萍, 魏立秋, 白德宇, 江滨浩, 徐殿国. 真空背压对霍尔推力器放电特性影响的实验研究. 必威体育下载 , 2010, 59(12): 8676-8684. doi: 10.7498/aps.59.8676
    [16] 鄂鹏, 段萍, 江滨浩, 刘辉, 魏立秋, 徐殿国. 磁场梯度对Hall推力器放电特性影响的实验研究. 必威体育下载 , 2010, 59(10): 7182-7190. doi: 10.7498/aps.59.7182
    [17] 鄂鹏, 韩轲, 武志文, 于达仁. 磁场强度对霍尔推力器放电特性影响的实验研究. 必威体育下载 , 2009, 58(4): 2535-2542. doi: 10.7498/aps.58.2535
    [18] 王光昶, 郑志坚, 谷渝秋, 陈 涛, 张 婷. 利用渡越辐射研究超热电子在固体靶中的输运过程. 必威体育下载 , 2007, 56(2): 982-987. doi: 10.7498/aps.56.982
    [19] 魏新华, 周国成, 曹晋滨, 李柳元. 无碰撞电流片低频电磁模不稳定性:MHD模型. 必威体育下载 , 2005, 54(7): 3228-3235. doi: 10.7498/aps.54.3228
    [20] 简广德, 董家齐. 环形等离子体中电子温度梯度不稳定性的粒子模拟. 必威体育下载 , 2003, 52(7): 1656-1662. doi: 10.7498/aps.52.1656
计量
  • 文章访问数:  1709
  • PDF下载量:  81
  • 被引次数: 0
出版历程
  • 收稿日期:  2024-09-22
  • 修回日期:  2024-11-21
  • 上网日期:  2024-12-06
  • 刊出日期:  2025-01-20

返回文章
返回