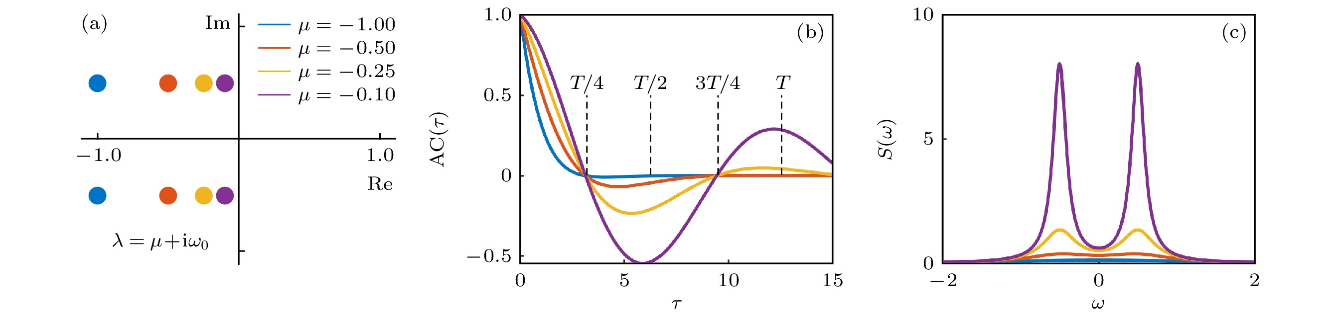
Brain diseases often occur simultaneously with critical changes in neural system and abnormal neuronal firing. Studying the early warning signals (EWSs) of critical changes can provide a promising approach for predicting neuronal firing behaviors, which is conducible to the early diagnosis and prevention of brain diseases. Traditional EWSs, such as autocorrelation and variance, have been widely used to detect the critical transitions in various dynamical systems. However, these methods have limitations in distinguishing different types of bifurcations. In contrast, the EWSs with power spectrum have shown a significant advantage in not only predicting bifurcation points but also distinguishing the types of bifurcations involved. Previous studies have demonstrated its predictive capability in climate and ecological models. Based on this, this study applies the EWS with power spectrum to neuronal systems in order to predict the neuronal firing behaviors and distinguish different classes of neuronal excitability. Specifically, we compute the EWSs before the occurrence of saddle-node bifurcation on the invariant circle and subcritical Hopf bifurcation in the Morris-Lecar neuron model. Additionally, we extend the analysis to the Hindmarsh-Rose model, calculating the EWSs before both saddle-node bifurcation and supercritical Hopf bifurcation. This study contains the four types of codimension-1 bifurcations corresponding to the neuronal firing. For comparison, we also calculate two types of conventional EWSs: lag-1 autocorrelation and variance. In numerical simulations, the stochastic differential equations are simulated by the Euler-Maruyama method. Then, the simulated responses are detrended by the Lowess filter. Finally, the EWSs are calculated by using the rolling window method to ensure the detection of EWS before bifurcation points. Our results show that the EWS with power spectrum can effectively predict the bifurcation points, which means that it can predict neuronal firing activities. Compared with the lag-1 autocorrelation and the variance, the EWSs with power spectrum not only accurately predict the neuronal firing, but also distinguish the classes of excitability in neurons. That is, according to the different characteristics of the power spectrum frequencies, the EWS with power spectrum can effectively distinguish between saddle-node bifurcations and Hopf bifurcations during neuronal firing. This work provides a novel approach for predicting the critical transitions in neural system, with potential applications in diagnosing and treating brain diseases.