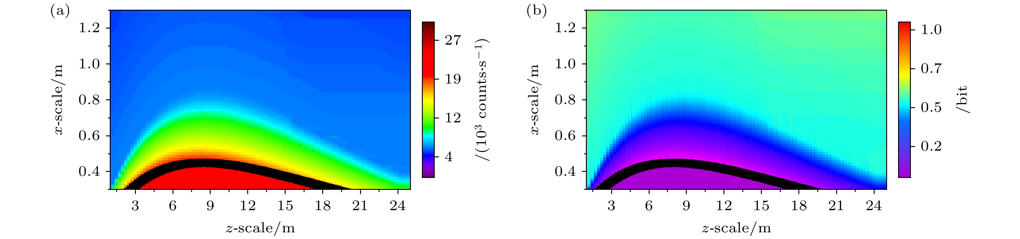
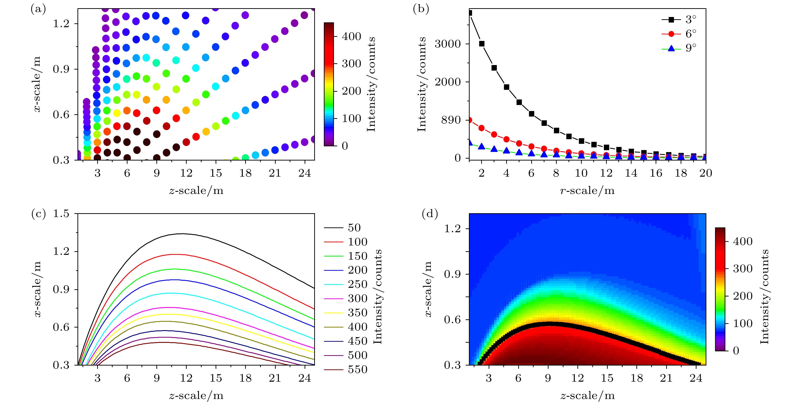
Underwaterwireless optical communication (UWOC) possesses significant advantages, suchas high bandwidth, low latency, and low power consumption, making it a key technology for building information networks in marine environments. However, due to the scattering effect of seawater, some photons carrying information inevitably scatter out of their predetermined paths, leading to the possibility for information leakage. Therefore, we propose a physical-layer security analysis model for UWOC systems based on the wiretap channel model. The model evaluates the security of the communication system by calculating the capacity difference between the legitimate channel and the eavesdropping channel in the UWOC system.Specifically, the model first constructs the three-dimensional intensity distribution of scattered photons in the underwater channel via Monte Carlo simulations and experimental measurements. Then, it calculates the capacities of both the legitimate and eavesdropping channels based on the decoding results. Finally, the three-dimensional distribution of secrecy capacity is derived to assess the security of the communication system. In this work this model is used to analyze the security of the UWOC system in clear seawater environments. The results show that the secrecy capacity of the system is zero within a certain range near the transmission path, demonstrating that scattered photons can cause information leakage. We recommend that, in practical applications, monitoring the non-signal transmission area near the transmitter is essential to ensure communication security. This research provides a solution for analyzing the quantitative security of UWOC, which can strongly support the design of UWOC systems and encoding/decoding schemes.