-
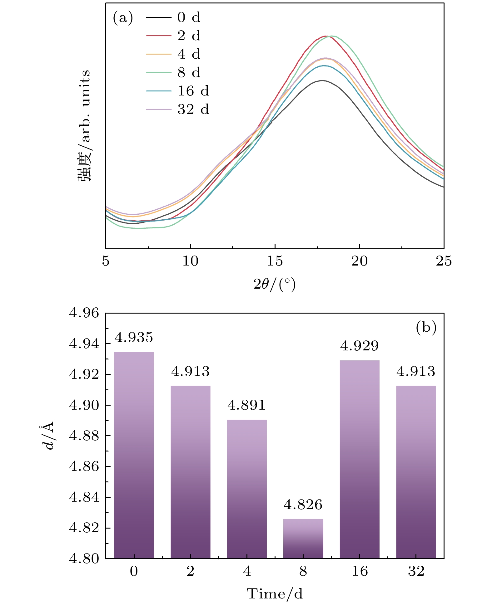
采用热氧老化方式模拟聚脲(polyurea, PU)薄膜在高温工况下的老化行为, 根据PU薄膜介电储能特性的变化规律将其老化过程划分为3个阶段. 结果表明: 老化初期, 氧气的桥接作用促使分子链规整排列, 相邻脲基团之间的氢键作用稍有增强, 分子链间距减小, 介电常数减小, 而击穿场强变化较小; 老化中期, 醚键断裂并诱导形成联苯结构, 体系无定形程度加剧, 介电常数增大, 但联苯结构加深了陷阱深度, 导致载流子迁移率降低, 这提高了薄膜的击穿场强; 老化后期, 氧气促使脲基分解, 造成贡献深陷阱能级的基团数量减少, 同时主链发生裂解, 并释放CO2与H2O等小分子物质, 这些因素共同导致了PU的击穿场强显著降低. 热氧老化过程中PU的储能密度表现出与击穿场强相同的时间依赖性, 证明了计及陷阱演变的PU储能性能退化机理: 氧气对醚键和脲基的分解作用分别诱发了联苯结构的形成和主链的裂解, 这改变了陷阱深度, 其中陷阱深度越浅, PU性能退化越显著.Dielectric capacitors are essential energy storage devices with high power density. The dielectric films of capacitors will age at working temperatures, a leading their performance to degrade. Polyurea (PU) is a potential working dielectric for capacitors with high energy density and low dielectric loss. However, the aging characteristics and underlying mechanism of PU have not been discussed. Considering the operating temperature of commercial dielectric capacitors, the aging characteristics of PU are investigate by being exposed to 80 °C for different durations. Compared with dielectric constant, breakdown strength changes significantly with aging time which can be used as a characteristic parameter to evaluate the aging degree of PU. Combining experimental method and simulation method, the correlation between molecular structure, trap properties and breakdown strength during thermo-oxidative aging is studied and established. The results show that the thermal-oxidative aging of PU can be divided into three stages. In the early stage of aging, the bridging effect of oxygen promotes the order arrangement of molecular chains. In this stage, the molecular chain spacing decreases, but the H-bonding interaction between adjacent urea groups is enhanced slightly as shown in Fig. (a). As a result, the dielectric constant decreases, while the breakdown strength is almost unchanged. In the middle stage of aging, ether bonds break and inducing the formation of biphenyl structures and resulting in a disordered structure as illustrated in Fig. (b). The enhanced mobility effect increases the dielectric constant. Meanwhile, the biphenyl structures deepen the trap depth, resulting in the decrease of carrier mobility and the increase of the breakdown strength. In the late stage of aging, oxygen promotes the decomposition of urea groups, thereby reducing the number of urea groups that form deep traps. At the same time, the main chain undergoes breakage, releasing small molecules such as CO2 and H2O, which is shown in Fig. (c). These factors collectively lead to a significant reduction in the breakdown strength of PU. In addition, the variations of dielectric constant, breakdown strength and energy density in the three stages are summarized in Fig. (d).
-
Keywords:
- polyurea /
- energy storage characteristics /
- thermal-oxidative aging /
- degradation mechanism
[1] [2] [3] [4] [5] [6] [7] [8] [9] [10] [11] [12] [13] [14] [15] [16] [17] [18] [19] [20] [21] [22] [23] [24] [25] [26] [27] [28] [29] [30] [31] [32] [33] -
[1] [2] [3] [4] [5] [6] [7] [8] [9] [10] [11] [12] [13] [14] [15] [16] [17] [18] [19] [20] [21] [22] [23] [24] [25] [26] [27] [28] [29] [30] [31] [32] [33]
计量
- 文章访问数: 799
- PDF下载量: 23
- 被引次数: 0








下载: