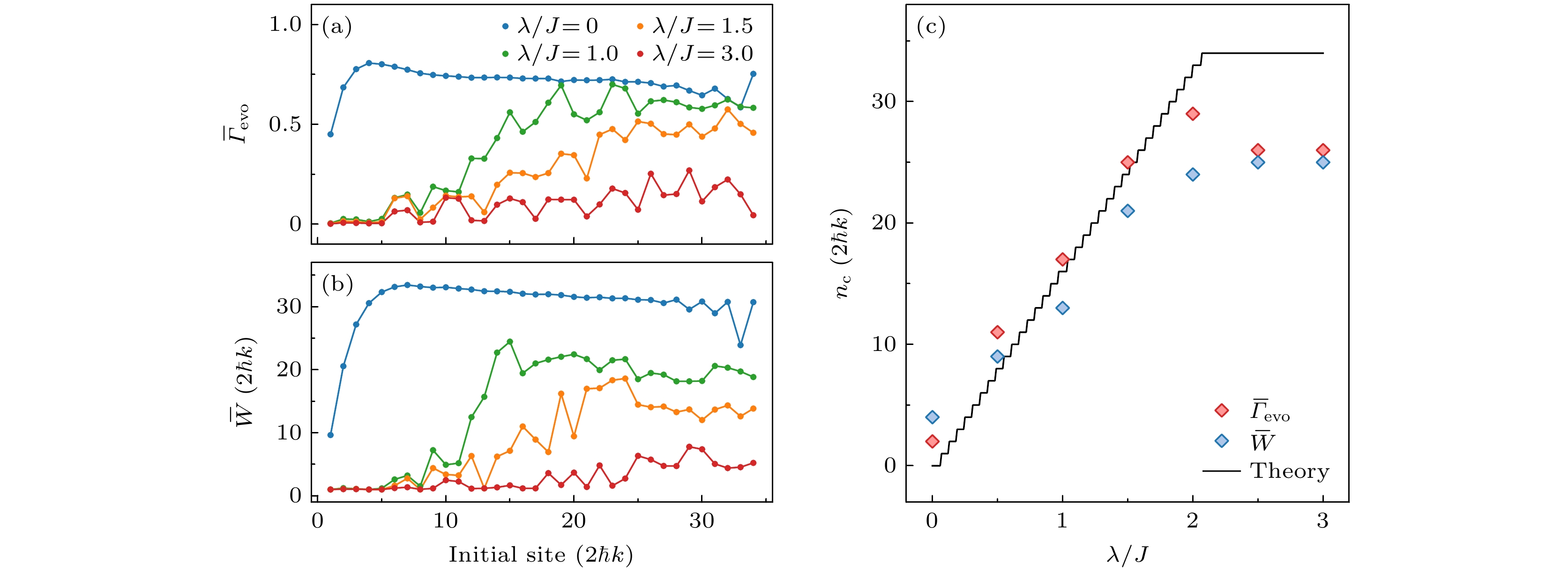
Anderson localization is a profound phenomenon in condensed matter physics, representing a fundamental transition in eigenstates, which is triggered off by disorder. The one-dimensional Aubry-André-Harper (AAH) model, an iconic quasiperiodic lattice model, is one of the simplest models that demonstrate the Anderson localization transition. Recently, with the growth of interest in quantum lattice models in curved spacetime (CST), the AAH model in CST has been proposed to explore the interplay between Anderson localization and CST physics. Several CST lattice models have been realized in optical waveguide systems to date, but there are still significant challenges to the experimental preparation and measurement of states, primarily due to the difficulty in dynamically modulating the lattices in such systems. In this work, we propose an experimental scheme using a momentum-state lattice (MSL) in an ultracold atom system to realize the AAH model in CST and study the Anderson localization in this context. Due to the individually controllable coupling between adjacent momentum states in each pair, the coupling amplitude in the MSL can be encoded as a power-law position-dependent $J_n \propto n^{\sigma}$, which is conducive to the effective simulation of CST. The numerical calculation results of the MSL Hamiltonian show that the phase separation appears in a 34-site AAH chain in CST, where wave packet dynamics exhibit the localized behavior on one side of the critical site and the extended behavior on the other side. The critical site of phase separation is identified by extracting the turning points of the evolving fractal dimension and wave packet width from the evolution simulations. Furthermore, by modulating the spacetime curvature parameter σ, we propose a method of preparing the eigenstates of the AAH chain in CST, and perform numerical simulations in the MSL. By calculating the fractal dimension of eigenstates prepared using the aforementioned method, we analyze the localization properties of eigenstates under various quasiperiodic modulation phases, confirming the coexistence of localized phase, swing phase, and extended phase in the energy spectrum. Unlike traditional localized and extended phases, eigenstates in the swing phase of the AAH model in CST exhibit different localization properties under different modulation phases, indicating the existence of a swing mobility edge. Our results provide a feasible experimental method for studying Anderson localization in CST and presents a new platform for realizing quantum lattice models in curved spacetime.