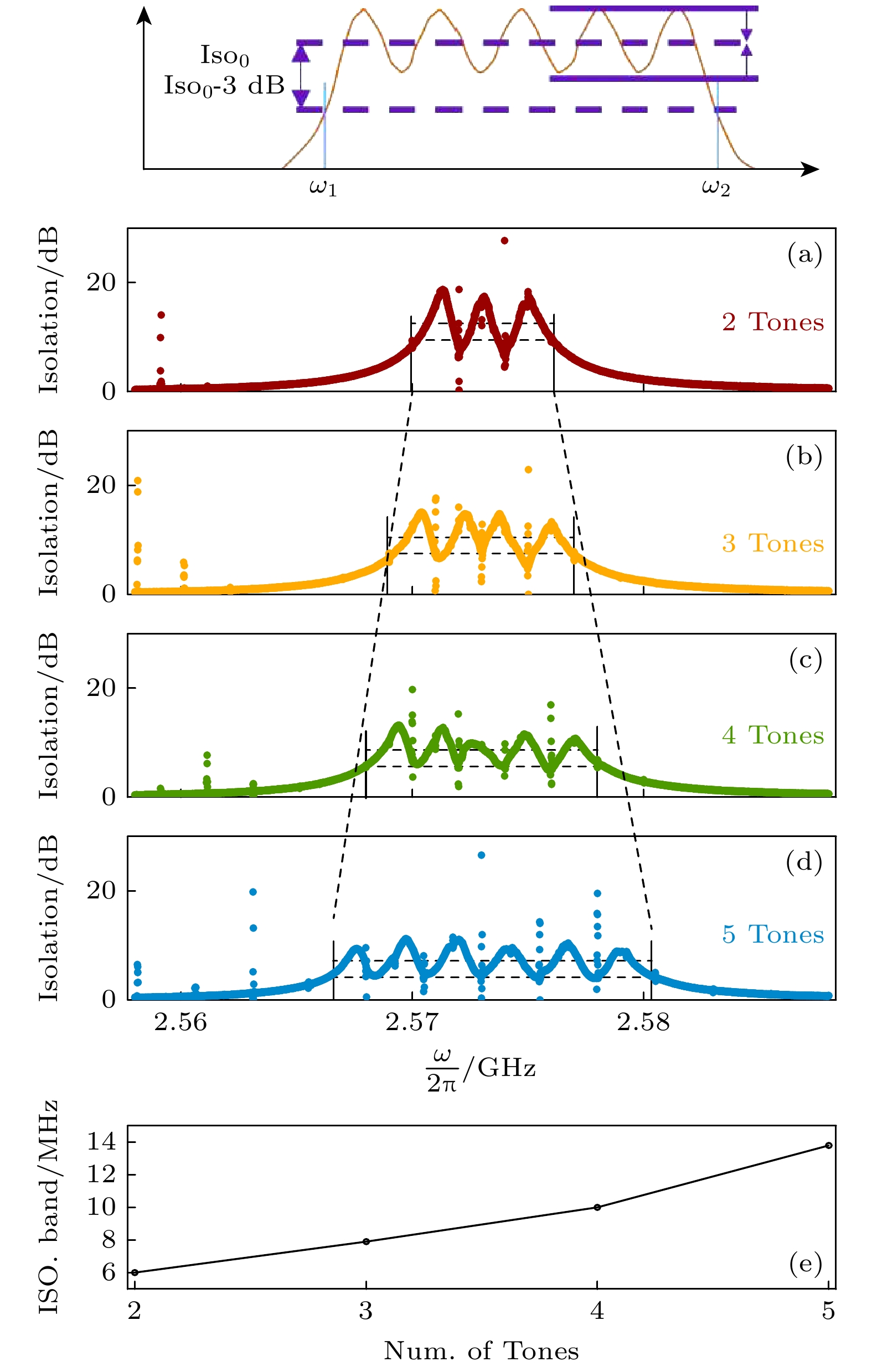
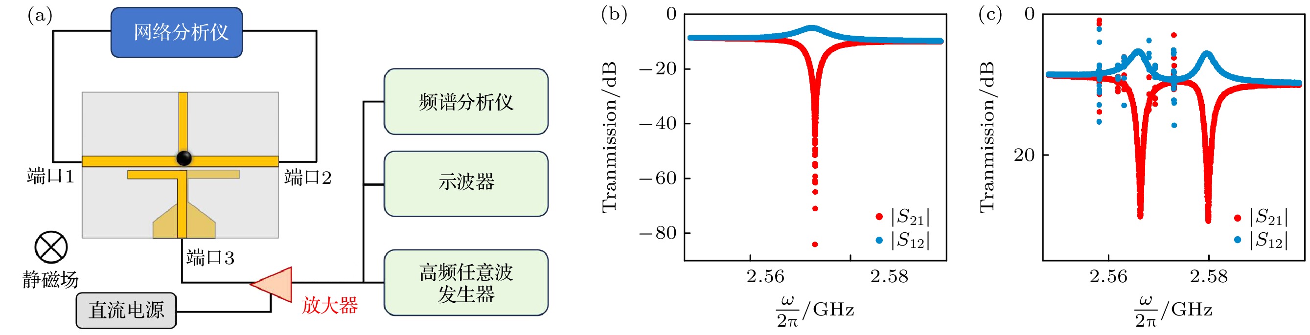
Nonreciprocal electromagnetic wave transmission is essential for wireless communication, quantum computing, and radar systems, traditionally relying on breaking time-reversal symmetry through static magnetic fields or structural modifications, which face limitations in tunability and integration. Recent advancements in cavity magnonics, particularly the use of bound states in the continuum (BIC) and pump-induced magnon mode (PIM), have enhanced the nonreciprocal isolation and dynamic control of magnon dynamics. In this study, a novel method to achieve broadband-tunable microwave nonreciprocal isolation is presented by introducing multiple modulated pump signals, thereby extending traditional single-mode magnon-based nonreciprocal transmission to multi-channel and broadband regimes. The core method involves exciting multiple PIMs in a cavity magnonics system and strongly coupling them with BIC to generate hybrid modes with pronounced nonreciprocal characteristics. The experimental setup is comprised of a 1-millimeter-diameter yttrium iron garnet (YIG) sphere positioned at the node of a microwave resonator (central frequency: 2.92 GHz), with pump signals injected through a microwave patch antenna. By dynamically tuning the frequency, power, and number of pump signals, the precise control over the number of nonreciprocal isolation channels and their spectral positions is realized. Notably, the continuous tuning of the nonreciprocal bandwidth is achieved by increasing the number of pump signals from 2 to 5, expanding the isolation bandwidth from 6 MHz to 14 MHz. Furthermore, by tailoring the spectral distribution of pump signals, the system realizes flexible switching between bandpass and band-stop isolation states. Importantly, this method eliminates the need of static magnetic field adjustments or structural reconfiguration, relying solely on coherent microwave-photon interactions to modulate PIM-BIC coupling. Experimental results highlight two key physical outcomes: 1) Extending conventional single-mode magnonic nonreciprocal transmission to multi-channel and broadband-tunable regimes; 2) achieving microwave nonreciprocal control without the need of static magnetic field adjustments or structural reconfiguration. These advances establish a robust platform for designing reconfigurable multi-channel isolators and circulators, which can be directly applied to microwave communication systems, quantum information processing, and radar technologies.