-
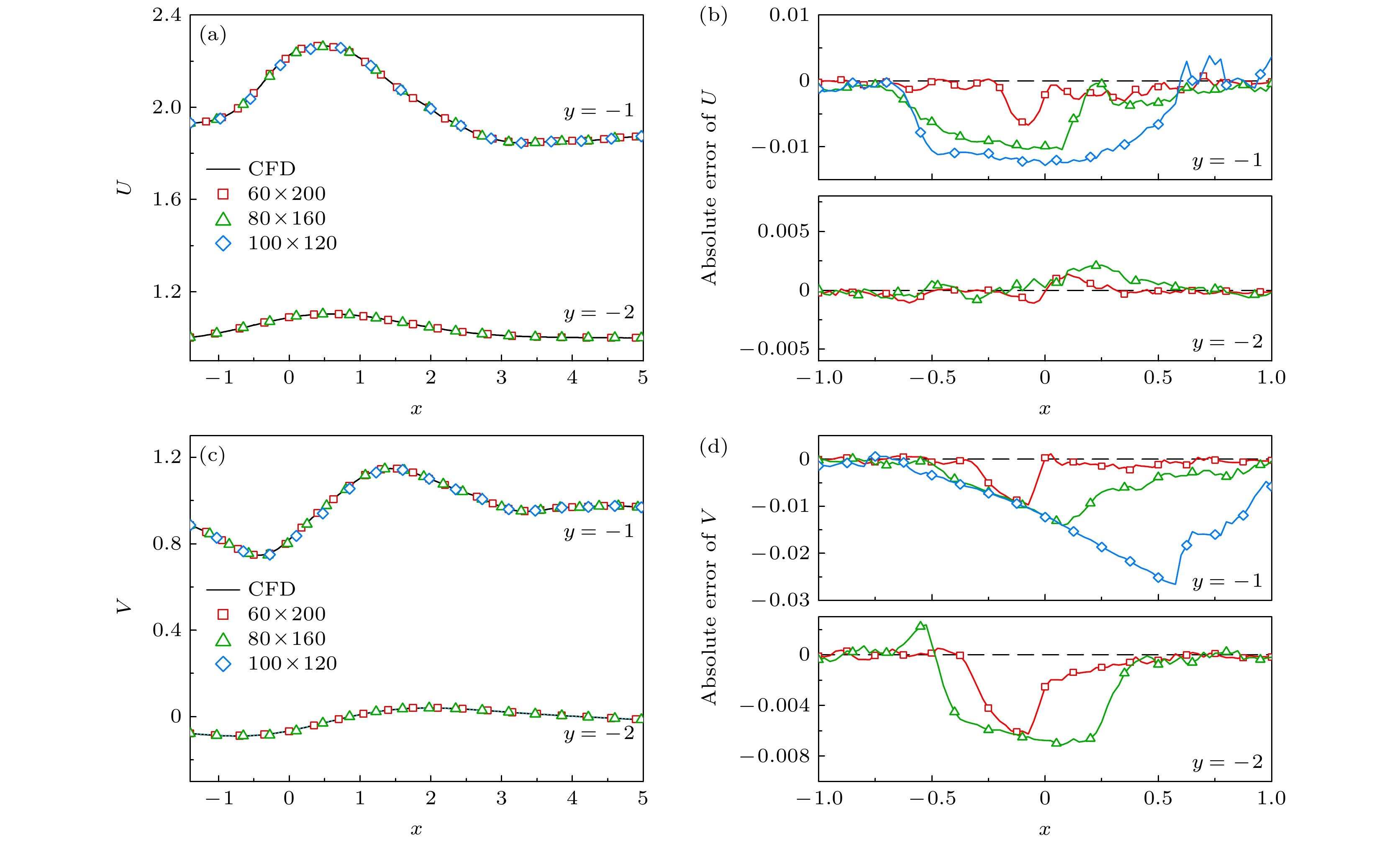
对流动现象进行精确预测与有效控制的前提在于对流动现象的深入理解, 而实验研究在此过程中提供了宝贵的数据支撑. 粒子图像测速(PIV)技术作为当前流场测量的主流手段之一, 在钝体绕流等复杂流动现象的实验研究中发挥着不可或缺的作用. 然而, 在PIV实验中, 由于光路遮挡等问题的存在, 获取完整且准确的流场数据往往极具挑战性. 鉴于此, 提出了一种基于机器学习的流场数据重构方法, 该方法采用以卷积神经网络为核心的深度学习模型, 旨在解决流场数据中缺失部分的重构问题. 首先探讨了不同缺失区域对数值计算流场重构效果的影响, 并从瞬时流场、速度统计量等多个维度, 对重构流场与真实值之间的差异进行了细致的比较分析. 结果显示, 对于瞬时流场的重构, 最大$ L_2 $误差维持在约0.02的水平. 进一步发现, 当缺失区域在流向方向上的尺寸增大时, 重构的难度也随之显著增加; 而相比之下, 缺失区域在垂直于流向方向上的尺寸变化, 对重构精度的影响则相对有限. 在此基础上, 进一步研究了深度神经网络对噪声的泛化性, 通过在数值计算结果中人为添加噪声来测试网络, 发现重构数据的误差随着噪声等级的提升呈指数型增长趋势. 最终, 将提出的网络模型应用于实际的PIV实验数据中, 从瞬时流场和时间平均结果两个方面进行了验证. 结果表明, 该网络模型不仅能够成功重构缺失位置的速度信息, 还能有效修正回流区部分因测量不准确而产生的数据偏差. 经过神经网络重构的实验结果, 在统计意义上更加接近数值仿真的结果, 这充分说明, 本文提出的模型仅需使用数值计算数据进行训练, 便可以具备重构PIV实验中缺失信息的能力.The prerequisite for accurate prediction and effective control of flow phenomena lies in the understanding of flow dynamics, and experimental studies provide essential data to support this process. Particle image velocimetry (PIV), as one of the important methods of measuring flow fields, plays a critical role in experimental investigations such as flow passing through a circular cylinder. PIV is a non-contact laser-optical measurement technique, however, it often faces challenges in obtaining complete and accurate flow field data when the optical path is obstructed. Particularly in PIV experiments involving flow passing through a circular cylinder, the presence of the cylinder itself and the supporting structure can significantly obscure the optical path, making it highly challenging to acquire complete PIV data. To solve this problem, we propose a deep learning-based flow field data reconstruction method, in which a deep learning framework centered on convolutional neural networks (CNNs) is used. The method aims to solve the reconstruction problem of gappy regions in flow field data by establishing a mapping relationship between flow fields with gappy regions and complete flow fields. First, the influence of gappy regions with different characteristics on the reconstruction accuracy of numerically simulated flow fields is investigated. The reconstructed flow fields are carefully compared with ground truth data through multi-dimensional assessments of instantaneous flow fields and velocity time statistics. The results indicate that the maximum L2 error between the reconstructed flow field and the ground truth is still about 0.02. Furthermore, it is observed that as the size of the gappy region increases along the flow direction, the difficulty in reconstructing flow field increases significantly. In contrast, changes in the size of the gappy region perpendicular to the flow direction have minimum influence on the accuracy of flow field reconstruction. Additionally, the robustness of the proposed deep neural network against noise is systematically evaluated. When clean numerical simulation data are used for training, test data are generated by artificially introducing varying levels of Gaussian noise to assess the network performance under noisy conditions. The results demonstrate that the error between the reconstructed data and the ground truth increases exponentially as the noise level rises. Finally, the proposed deep neural network model is applied to real PIV experimental data, with the training data remaining clean and numerically simulated. Both instantaneous flow fields and time-averaged statistics are analyzed and compared. The results show that the network model successfully reconstructs velocity information in the missing regions and effectively corrects data errors caused by measurement inaccuracies in the backflow zones. The reconstructed experimental results show closer statistical agreement with numerical simulation data, demonstrating that the model proposed in this work, when trained solely on numerical simulation data, is capable of reconstructing missing physical information in PIV experiments. This method provides a novel approach for addressing the challenge of data reconstructionin PIV experiments.
-
Keywords:
- deep learning /
- gappy data /
- flow past a circular cylinder
[1] [2] [3] [4] [5] [6] [7] [8] [9] [10] [11] [12] [13] [14] [15] [16] [17] [18] [19] [20] [21] [22] [23] [24] [25] [26] [27] [28] [29] [30] [31] [32] -
[1] [2] [3] [4] [5] [6] [7] [8] [9] [10] [11] [12] [13] [14] [15] [16] [17] [18] [19] [20] [21] [22] [23] [24] [25] [26] [27] [28] [29] [30] [31] [32]
计量
- 文章访问数: 933
- PDF下载量: 24
- 被引次数: 0








下载: