搜索

x

留言板

姓名
邮箱
手机号码
标题
留言内容
验证码

引用本文:
Citation:

薛子威, 袁登鹏, 谭世勇
cstr: 32037.14.aps.74.20241778

Advances in single crystal growth methods for novel unconventional superconductor UTe2

XUE Ziwei, YUAN Dengpeng, TAN Shiyong
cstr: 32037.14.aps.74.20241778
Article Text (iFLYTEK Translation)
PDF
HTML
导出引用
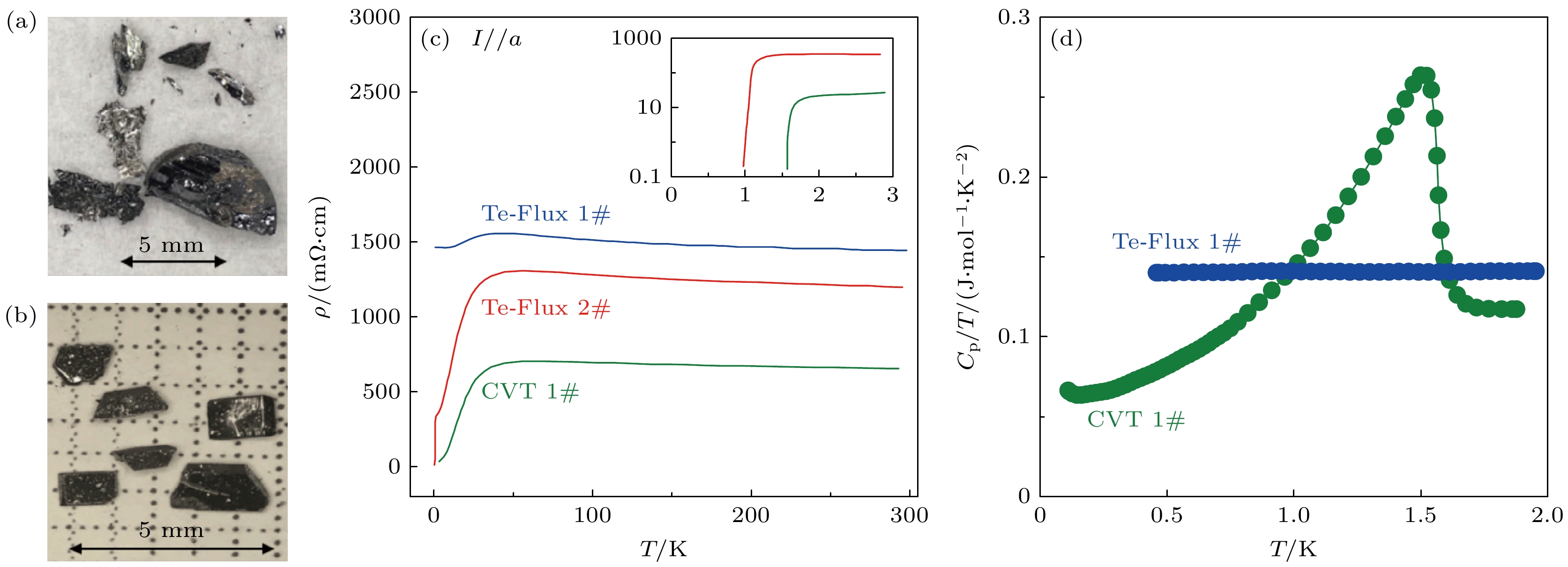
  • 作为近年来新发现的非常规超导体, 重费米子化合物二碲化铀(UTe2)因被认为存在自旋三重态超导配对、高场再入超导相和新奇量子临界特征而受到广泛关注. 然而, 不同的样品质量导致该体系的实验研究结果呈现出明显的差异甚至矛盾. 关于是否多组分超导序参量、是否时间反演对称性破缺和多个场致超导相是否相同起源等关键问题, 学界争议激烈, 严重阻碍了对该体系本征超导配对机制的深度认识和理解. 本文总结了UTe2的单晶生长方法研究进展, 包括化学气相输运法、熔盐助熔剂法、碲助熔剂法和熔盐助熔剂液体输运法, 并梳理了生长条件对样品超导性和结晶质量的影响, 最后进行了总结和展望.
    Heavy fermion compound UTe2, as a recently discovered unconventional superconductor, has received significant attention due to its potential spin-triplet superconducting pairing, high-field re-entrant superconducting phases, and unique quantum critical characteristics. However, experimental results of this system show significant changes and discrepancies, primarily due to difference in sample quality. The key unresolved issues include whether the system exhibits multi-component superconducting order parameters, whether time-reversal symmetry is spontaneously broken, and whether multiple field-induced superconducting phases share a common origin. These unsolved issues hinder an in-depth understanding of the intrinsic superconducting pairing mechanism in the UTe2 system.This paper reviews recent advances in single-crystal growth methods for UTe2, including chemical vapor transport (CVT), Te-flux, molten salt flux (MSF), and molten salt flux liquid transport (MSFLT). We systematically analyze how growth conditions influence superconductivity and crystal quality. Although the CVT method was initially employed in UTe2 studies, the samples grown by this method exhibit poor quality and significant compositional inhomogeneity, even in individual samples. Consequently, the CVT method has been progressively supplanted by the recently developed MSF method. In contrast, the MSF method and MSFLT method yield high-quality UTe2 single crystals with Tc achieving a value as high as 2.1 K and residual resistivity ratio (RRR) reaching up to 1000; however, the sample sizes are smaller than those grown by the CVT and Te-flux methods. Notably, MSF-grown samples occasionally contain magnetic impurities such as U7Te12, so careful screening is required in the sample collection process. The MSFLT combines the advantages of CVT and MSF methods to grow high-quality UTe2 single crystals while producing larger sample sizes than MSF. Our research findings highlight the importance of optimizing growth parameters such as Te/U ratio, temperature gradient, and cooling rate. For instance, lower growth temperature and precise control of the Te/U ratio can significantly enhance Tc and sample quality. Several controversies have been identified regarding high-quality MSF and MSFLT samples, including clarifying the single-component nature of the superconducting order parameter and confirming the absence of time-reversal symmetry breaking in optimized samples.This review underscores the pivotal role of advanced single-crystal growth techniques in advancing the study of UTe2. Future research should focus on utilizing these high-quality UTe2 samples grown by MSF and MSFLT methods to accurately determine superconducting order parameters, elucidate mechanisms behind high-field re-entrant superconducting phases, and explore topological properties, such as potential Majorana fermions. These efforts will deepen our understanding of unconventional superconductivity, spin fluctuations, and quantum critical phenomena in the UTe2 system.
      通信作者: 袁登鹏, yuandengpeng@caep.cn
    • 基金项目: 国家自然科学基金联合基金(批准号: U23A20580)和四川省自然科学基金杰出青年科学基金(批准号: 2025NSFJQ0040)资助的课题.
      Corresponding author: YUAN Dengpeng, yuandengpeng@caep.cn
    • Funds: Project supported by the Joint Funds of the National Natural Science Foundation of China (Grant No. U23A20580) and the Sichuan Provincial Natural Science Foundation for Distinguished Young Scholars, China (Grant No. 2025NSFJQ0040).
    [1]

    [2]

    [3]

    [4]

    [5]

    [6]

    [7]

    [8]

    [9]

    [10]

    [11]

    [12]

    [13]

    [14]

    [15]

    [16]

    [17]

    [18]

    [19]

    [20]

    [21]

    [22]

    [23]

    [24]

    [25]

    [26]

    [27]

    [28]

    [29]

    [30]

    [31]

    [32]

    [33]

    [34]

    [35]

    [36]

    [37]

    [38]

    [39]

    [40]

    [41]

    [42]

    [43]

    [44]

    [45]

    [46]

    [47]

    [48]

    [49]

    [50]

    [51]

    [52]

    [53]

    [54]

  • 样品分组起始原料
    摩尔比MTe/U
    EDX测得的
    MTe/U范围
    电阻率
    测得的Tc
    A1.711.46—1.501.74 K
    B2.141.79—2.06无超导
    C1.851.72—1.872.00 K
    下载: 导出CSV

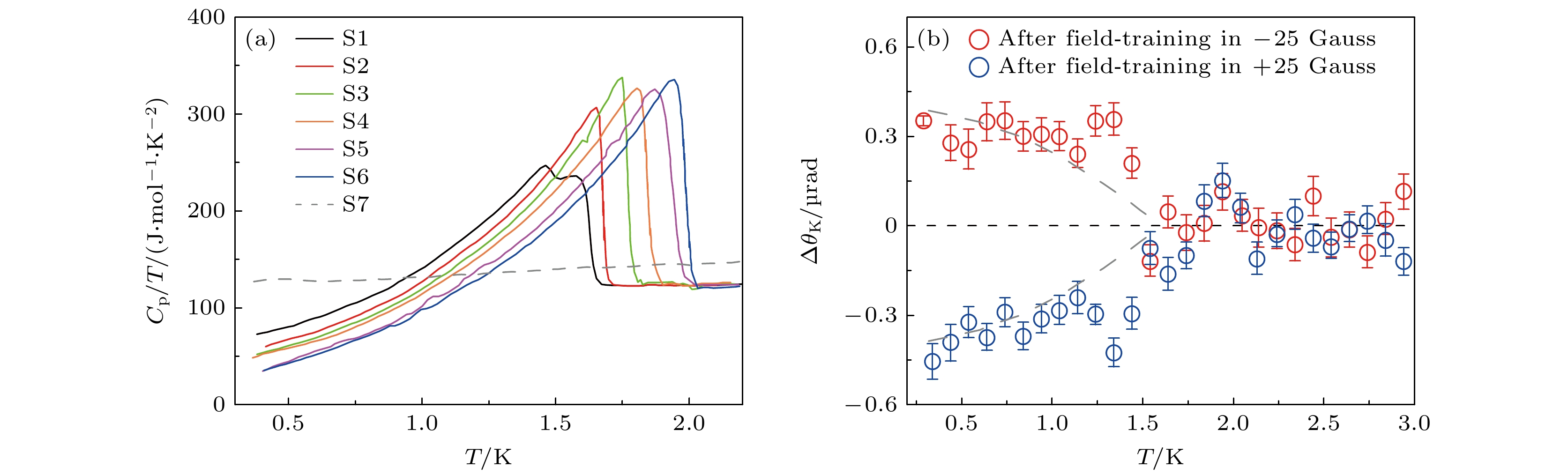
    样品
    编号
    生长
    温度/℃
    比热
    测得的
    Tc/K
    RRR γ*/γN
    (γN = 121
    mJ·mol–1·K–1)
    s1 1060—1000 1.64
    1.48
    30—40 0.54
    s2 950—860 1.68 0.42
    s3 925—835 1.77 0.36
    s4 875—785 1.85 55 0.34
    s5 825—735 1.95 70 0.21
    s6 800—710 2.00 88 0.19
    s7 775—685 No SC 2
    下载: 导出CSV

    样品编号 原料比例 Tf/℃ Tc/K RRR 备注
    MTe/U MSalt/U
    M1 2 29 650 1.7—1.8 40—60
    M2 1.93 37 650 1.9—2.0 60—80
    M3 1.92 36 650 1.95—2.0 30—40
    M4 1.90 40 650 1.8—1.95 50—60
    M5 1.90 67 650 1.9—2.05 50—60
    M6 1.8 21 650 产物为U7Te12
    M6a 1.8 40 650 2.0—2.1 80—130 主要产物为U7Te12
    M7 1.71 60 650 2.1 170—1000 主要产物为U7Te12
    H1 2.0 48 700 1.6 11—12 离心去除盐
    H2 1.95 42 700 1.75—1.9 35—60
    L1 1.95 38 600 1.6—1.8 20—30
    L2 1.90 44 600 2.1—2.2 65—70 聚集晶体
    下载: 导出CSV

    生长方法 原料比例MTe/U 助熔剂/输运剂 生长温度/℃ Tc/K RRR γ*/γN
    Te-flux 3.55 Te 1050 1.08 3.6
    CVT 2.00 I2 950—850 2.5
    CVT 1.50 I2 1050—990 1.65 14 0.61
    CVT 1.40 I2 780—680 2.01 49 0.13
    MSF 1.80 NaCl+KCl 950 <1.70 22 0.78
    MSF 1.65 NaCl+KCl 950 2.06 220 0.046
    MSFLT 1.50 NaCl+KCl 750—650 2.06 179 0.124
    MSFLT 1.65 NaCl+KCl 750—650 2.09 800 0.034
    下载: 导出CSV

    方法 最优的
    工艺参数
    最佳的
    超导样品
    影响因素 优点 缺点
    CVT 原料比例MTe/U = 1.5
    生长温度梯度800—710 ℃
    Tc = 2.0 K
    RRR = 88
    原料比例MTe/U
    生长温度梯度
    输运剂类型与用量
    生长温度较低
    样品尺寸大
    样品质量较差
    成分均匀性差
    Te-flux 原料比例MTe/U = 3.55
    生长温度1050 ℃
    离心温度950 ℃
    Tc = 1.1 K
    RRR = 4
    原料比例MTe/U
    生长温度
    降温速率
    工艺简单
    样品产量高
    样品尺寸大
    几乎不超导
    样品质量差
    生长温度高
    MSF 原料比例MTe/U = 1.71
    原料比例MSalt/U = 60
    生长温度950 ℃
    退火温度650 ℃
    Tc = 2.1 K
    RRR = 1000
    原料比例MTe/U
    原料比例MSalt/U
    退火温度;
    降温速率
    助熔剂盐的含水量
    样品质量高
    生长温度较低
    产物伴随有磁性杂质
    U7Te12 样品尺寸小
    MSFLT 原料比例MTe/U = 1.65
    生长温度梯度750—670 ℃
    Tc = 2.09 K
    RRR = 800
    原料比例MTe/U
    助熔剂盐的含水量
    生长温度梯度
    样品质量高
    生长温度低
    样品尺寸较小
    下载: 导出CSV
  • [1]

    [2]

    [3]

    [4]

    [5]

    [6]

    [7]

    [8]

    [9]

    [10]

    [11]

    [12]

    [13]

    [14]

    [15]

    [16]

    [17]

    [18]

    [19]

    [20]

    [21]

    [22]

    [23]

    [24]

    [25]

    [26]

    [27]

    [28]

    [29]

    [30]

    [31]

    [32]

    [33]

    [34]

    [35]

    [36]

    [37]

    [38]

    [39]

    [40]

    [41]

    [42]

    [43]

    [44]

    [45]

    [46]

    [47]

    [48]

    [49]

    [50]

    [51]

    [52]

    [53]

    [54]

  • [1] 杨金颖, 王彬彬, 刘恩克. 磁性拓扑材料中贝利曲率驱动的非常规电输运行为. 必威体育下载 , 2023, 72(17): 177103. doi: 10.7498/aps.72.20230995
    [2] 傅群东, 王小伟, 周修贤, 朱超, 刘政. 硅基底上二维硒氧化铋的化学气相沉积法合成及其光电探测应用. 必威体育下载 , 2022, 71(16): 166101. doi: 10.7498/aps.71.20220388
    [3] 邱航强, 谢晓萌, 刘艺, 李玉科, 许晓峰, 焦文鹤. 三元钯基碲化物的单晶生长和电输运性质. 必威体育下载 , 2022, 71(22): 227401. doi: 10.7498/aps.71.20221034
    [4] 李建新. 自旋涨落与非常规超导配对. 必威体育下载 , 2021, 70(1): 017408. doi: 10.7498/aps.70.20202180
    [5] 胡江平. 探索非常规高温超导体. 必威体育下载 , 2021, 70(1): 017101. doi: 10.7498/aps.70.20202122
    [6] 顾强强, 万思源, 杨欢, 闻海虎. 铁基超导体的扫描隧道显微镜研究进展. 必威体育下载 , 2018, 67(20): 207401. doi: 10.7498/aps.67.20181818
    [7] 程金光. 高压调控的磁性量子临界点和非常规超导电性. 必威体育下载 , 2017, 66(3): 037401. doi: 10.7498/aps.66.037401
    [8] 杜增义, 方德龙, 王震宇, 杜冠, 杨雄, 杨欢, 顾根大, 闻海虎. 铁基超导体FeSe0.5Te0.5表面隧道谱的研究. 必威体育下载 , 2015, 64(9): 097401. doi: 10.7498/aps.64.097401
    [9] 朱顺明, 顾然, 黄时敏, 姚峥嵘, 张阳, 陈斌, 毛昊源, 顾书林, 叶建东, 郑有炓. 金属有机源化学气相沉积法生长氧化锌薄膜中氢气的作用及其机理. 必威体育下载 , 2014, 63(11): 118103. doi: 10.7498/aps.63.118103
    [10] 郭平生, 陈 婷, 曹章轶, 张哲娟, 陈奕卫, 孙 卓. 场致发射阴极碳纳米管的热化学气相沉积法低温生长. 必威体育下载 , 2007, 56(11): 6705-6711. doi: 10.7498/aps.56.6705
    [11] 曾春来, 唐东升, 刘星辉, 海 阔, 羊 亿, 袁华军, 解思深. 化学气相沉积法中SnO2一维纳米结构的控制生长. 必威体育下载 , 2007, 56(11): 6531-6536. doi: 10.7498/aps.56.6531
    [12] 曾湘波, 廖显伯, 王 博, 刁宏伟, 戴松涛, 向贤碧, 常秀兰, 徐艳月, 胡志华, 郝会颖, 孔光临. 等离子体增强化学气相沉积法实现硅纳米线掺硼. 必威体育下载 , 2004, 53(12): 4410-4413. doi: 10.7498/aps.53.4410
    [13] 张永健, 陈仙辉, 陈兆甲, 曹烈兆, 戚伯云. Bi-1212相和Bi-1222相铜氧化合物的合成和超导电性. 必威体育下载 , 1995, 44(6): 922-928. doi: 10.7498/aps.44.922
    [14] 杨碚芳, M. J. G. LEE, J. M. PERZ, 许存义, 左健, 汪良斌, 阮耀钟, 张裕恒. 掺Ba对Bi系2212相超导电性的影响. 必威体育下载 , 1994, 43(2): 308-314. doi: 10.7498/aps.43.308
    [15] 陈仙辉, 陈祖耀, 钱逸泰, 顾震天, 程香爱, 沙健, 王克勤, 张其瑞. (Bi,Pb)-Sr-Ca-Cu-O体系110K超导体的相转变及超导电性. 必威体育下载 , 1991, 40(2): 297-302. doi: 10.7498/aps.40.297
    [16] 夏健生, 曹烈兆, 徐成, 王顺喜, 陈健, 陈祖耀, 张其瑞. (Bi,Pb)4Ca3Sr3Cu4Oy系统的超导电性与相结构的关联. 必威体育下载 , 1989, 38(6): 1026-1029. doi: 10.7498/aps.38.1026
    [17] 梁敬魁, 张玉苓, 黄久齐, 解思琛, 车广灿, 成向荣, 倪永明, 郑东宁, 贾顺莲. 新系列超导相TlBaCan-1CunO2n+2.5(n=2,3)的晶体结构和超导电性. 必威体育下载 , 1989, 38(2): 264-272. doi: 10.7498/aps.38.264
    [18] 曹效文;赵典锋;张裕恒. 非晶态InSb及其亚稳中间相的霍耳效应和超导电性. 必威体育下载 , 1987, 36(8): 1041-1047. doi: 10.7498/aps.36.1041
    [19] 王炜, 余正, 孙元善, 姚希贤. 二维颗粒膜超导电性. 必威体育下载 , 1986, 35(8): 1081-1086. doi: 10.7498/aps.35.1081
    [20] 朱宰万, 姜文植. 金属氢高温超导电性. 必威体育下载 , 1981, 30(2): 271-276. doi: 10.7498/aps.30.271
计量
  • 文章访问数:  1082
  • PDF下载量:  69
  • 被引次数: 0
出版历程
  • 收稿日期:  2024-12-25
  • 修回日期:  2025-02-06
  • 上网日期:  2025-02-21
  • 刊出日期:  2025-04-20

返回文章
返回