搜索

x
中国物理学会期刊

一氧化碳气体黏度微观机理研究

CSTR:32037.14.aps.74.20250417

Microscopic mechanism on viscosity of carbon monoxide

CSTR:32037.14.aps.74.20250417
PDF
HTML
导出引用
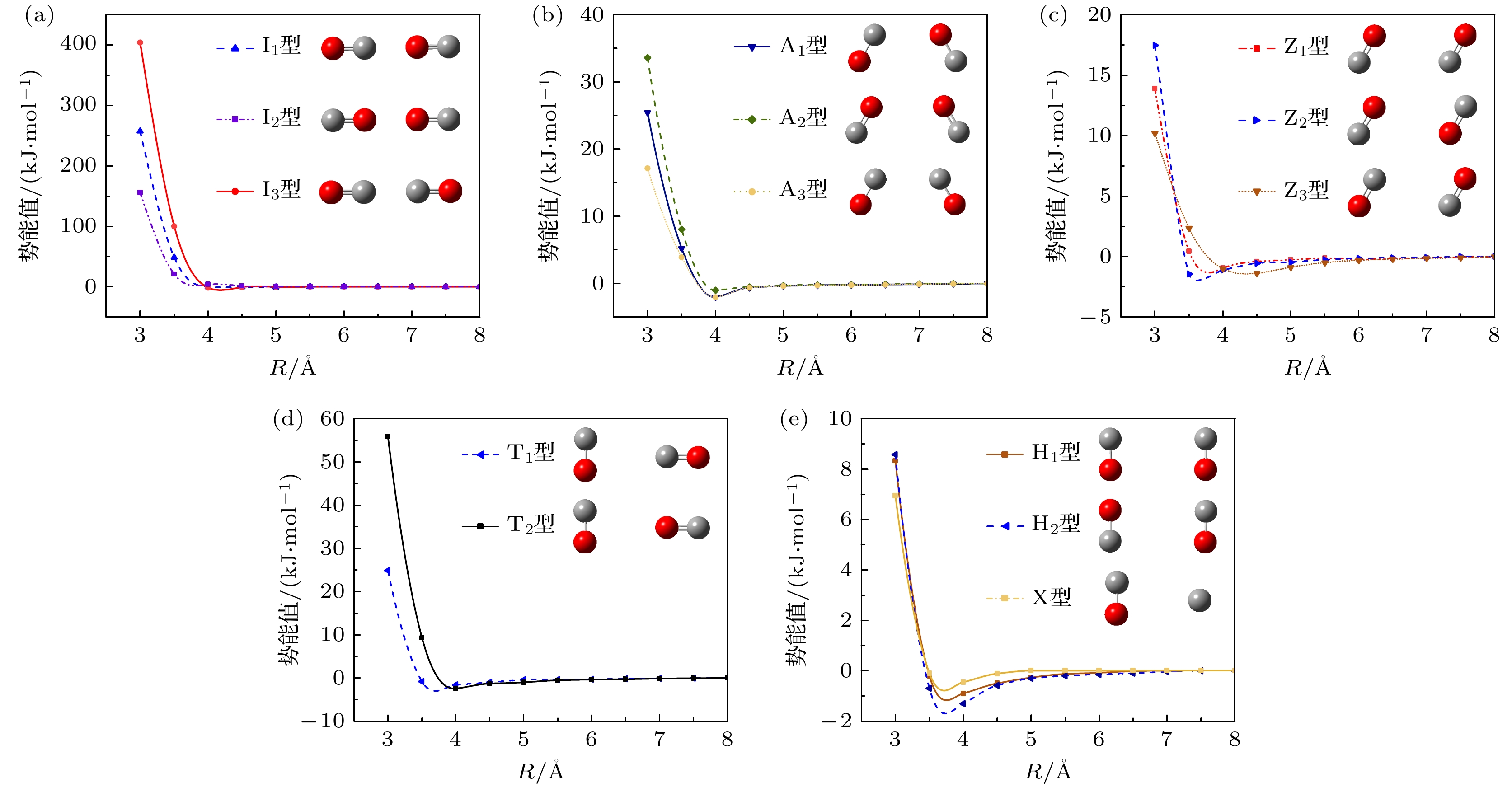
  • 本文结合密度泛函理论与平衡分子动力学模拟, 构建了从量子力学到连续介质力学的跨尺度耦合模型, 基于所建立的高精度势函数与Green-Kubo线性响应理论, 研究了极性分子CO气体在100—800 K温度范围内的剪切黏度与体积黏度. 分子动力学模拟基于C语言编程实现, 采用自适应时间步长算法以提高计算效率. 研究结果表明, CO的体积黏度结果对势函数敏感性明显高于剪切黏度, 不同传统方法因相应原因高估了体积黏度; 所得体积黏度随温度的变化相对于剪切黏度具有显著的非线性规律; 模型采用低体系压力与大体系规模可有效减小统计涨落幅度, 提高体积黏度计算的收敛性与可靠性. 本研究阐释了CO气体黏度的微观动力学机制, 同时可为高温非平衡流动(如高超声速边界层、等离子体输运等)黏度机理研究提供理论参考.

    Viscosity is an essential transport property in gas dynamics, especially the bulk viscosity, which exhibits more complex behavior. Carbon monoxide (CO) is a molecule of weak polarity, which exists in many important fields such as combustion and coke metallurgy. In order to effectively uncover the mechanism of the CO viscosity, this study dealt with it from a microscopic view. A transcale model is built which integrates density functional theory (DFT, first-principles) calculations with equilibrium molecular dynamics (EMD) simulations to establish a microscale foundation. Based on that, a fitted high-precision potential function is formed, then by using the Green-Kubo linear response theory, the shear and bulk viscosities of CO are achieved in a medium temperature range of 100–800 K. The MD simulation is implemented with C programming language, and an adaptive time-step algorithm is applied so that the computational efficiency is significantly enhanced. The resulting bulk viscosity exhibits quite obvious sensitivity to the potential function of the molecule system, while the shear viscosity shows little. Unlike the shear viscosity, which appears more linear, the bulk viscosity shows clear nonlinear behavior that changes with temperature. Correspondingly, traditional theoretic models and experimental results from different literature indicate that the bulk viscosity at medium temperatures is overestimated to various degrees. Fitting functions on the shear and bulk viscosities in the defined temperature range are established, respectively. Additionally, the lower system pressure and larger system size in the model effectively reduce statistical pressure fluctuations and improve the convergence of relevant laws. This work elucidates the microscopic mechanism of CO viscosity and provides a high-fidelity theoretical tool for modeling the viscosity of high-temperature nonequilibrium gas flows (e.g. hypersonic boundary layers, and plasma transport).

    目录

    返回文章
    返回