搜索

x

留言板

姓名
邮箱
手机号码
标题
留言内容
验证码

引用本文:
Citation:

谭振坤, 侯朋飞, 郭海红, 雷思琛, 徐一帆, 张福瑞, 李瑶, 蔚娟, 张朋, 王姣
cstr: 32037.14.aps.74.20250725

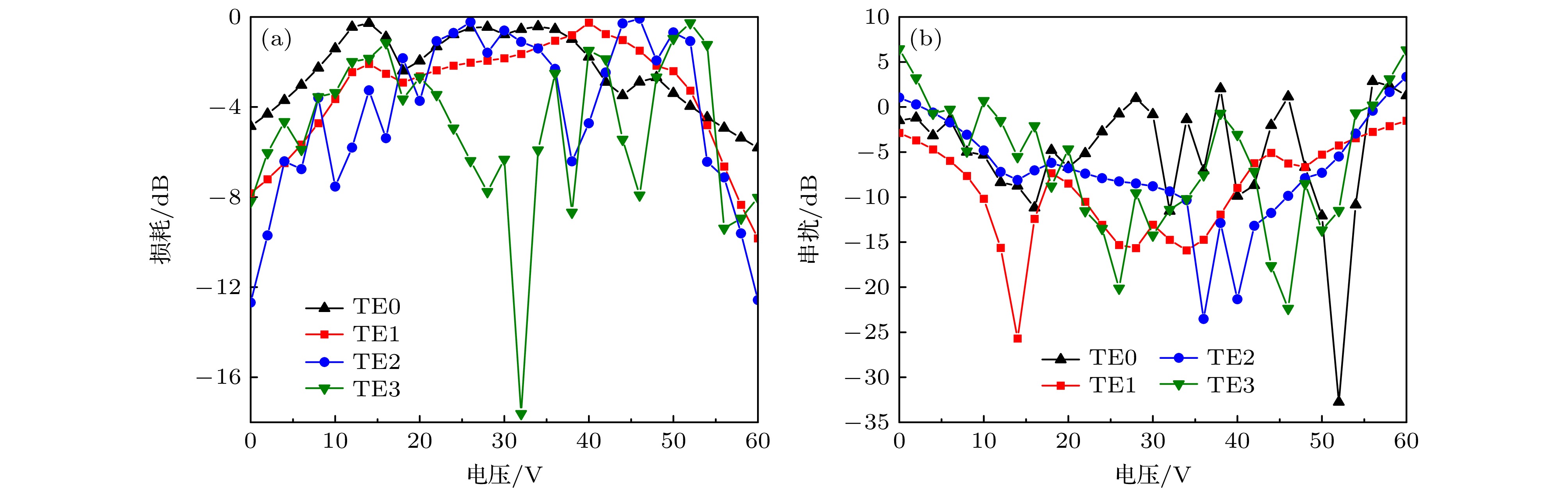
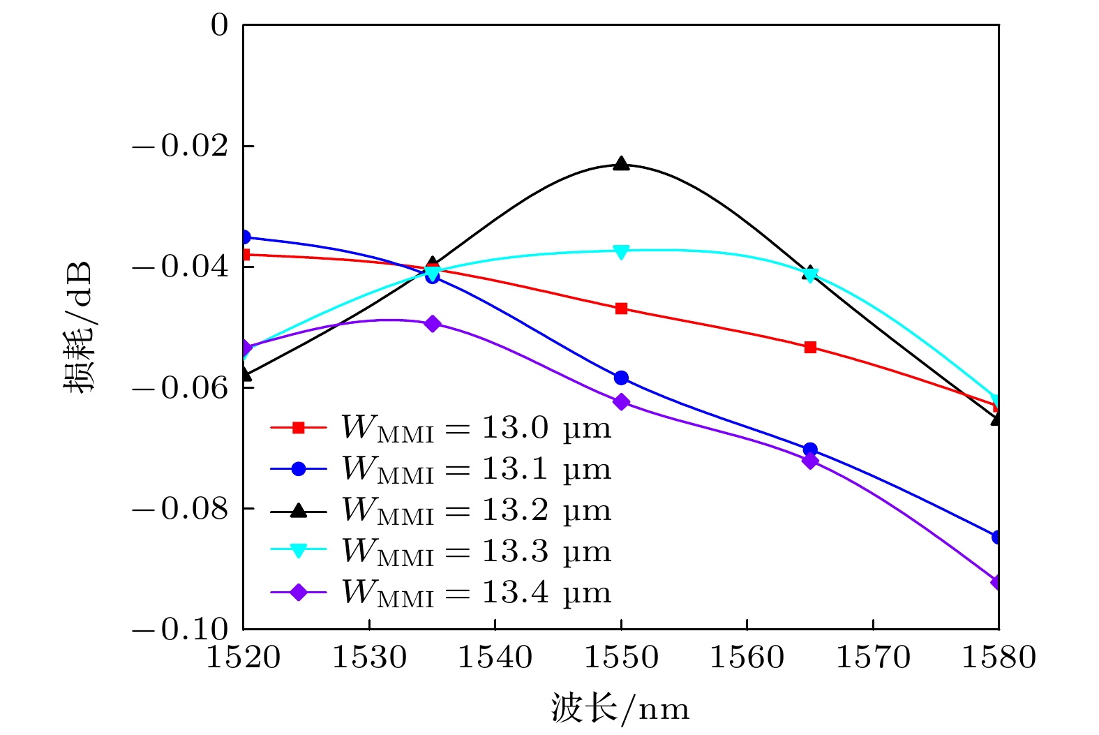
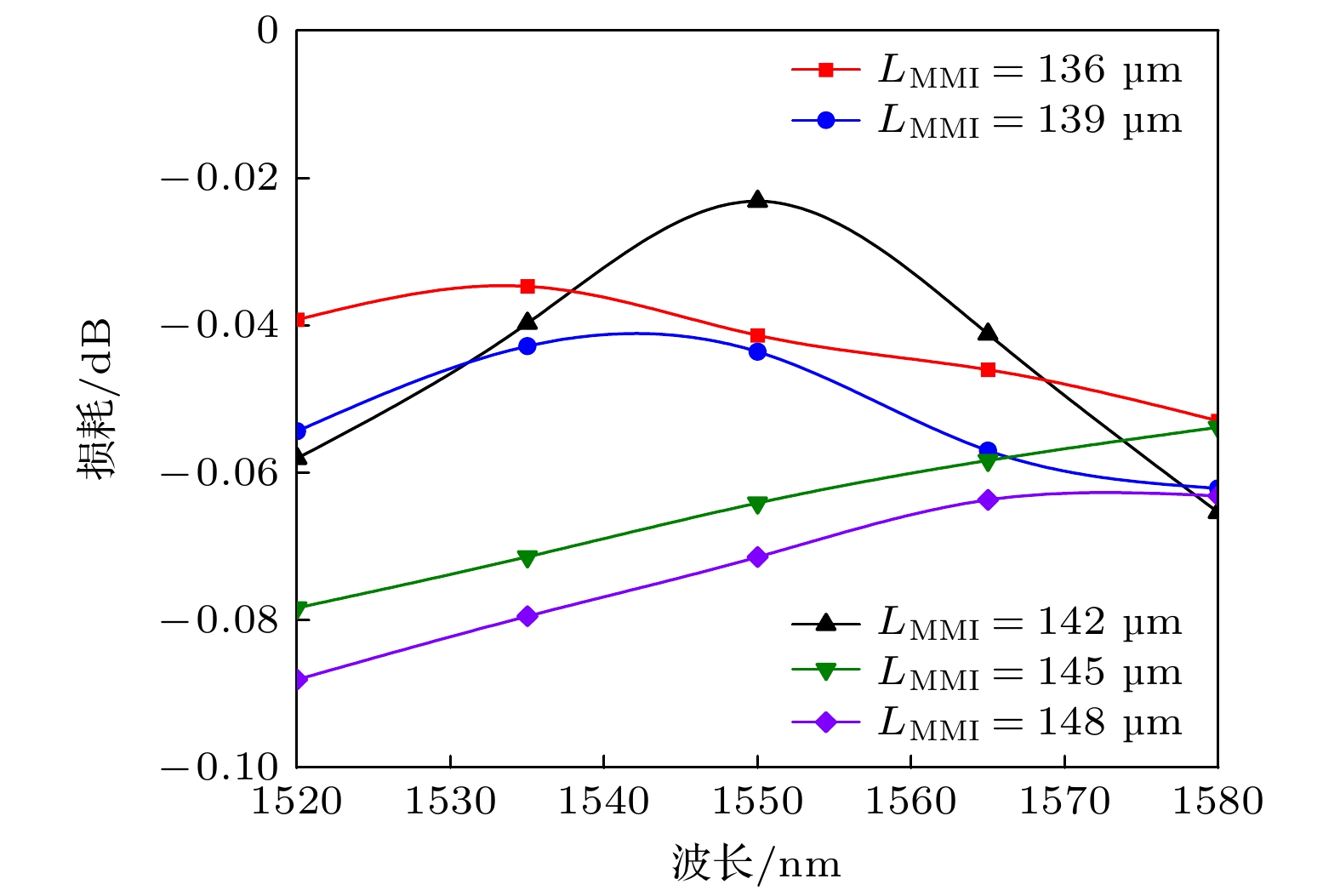
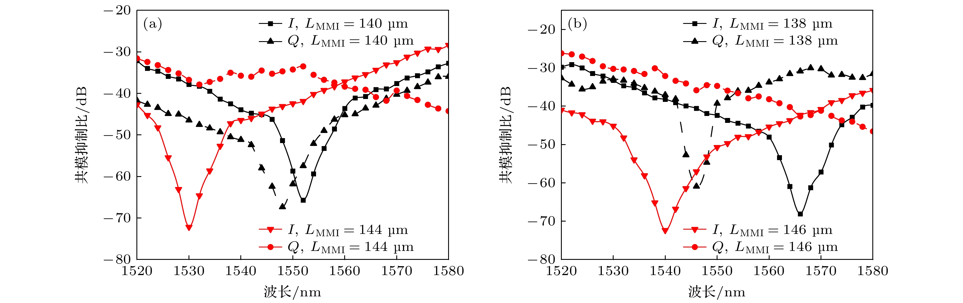
Design of broadband 90° optical mixing and mode-separation integrated device based on customized multi-mode interference of thin-film lithium niobate

TAN Zhenkun, HOU Pengfei, GUO Haihong, LEI Sichen, XU Yifan, ZHANG Furui, LI Yao, YU Juan, ZHANG Peng, WANG Jiao
cstr: 32037.14.aps.74.20250725
Article Text (iFLYTEK Translation)
PDF
HTML
导出引用
在线预览
计量
  • 文章访问数:  409
  • PDF下载量:  4
  • 被引次数: 0
出版历程
  • 收稿日期:  2025-06-04
  • 修回日期:  2025-09-24
  • 上网日期:  2025-10-14

返回文章
返回