-
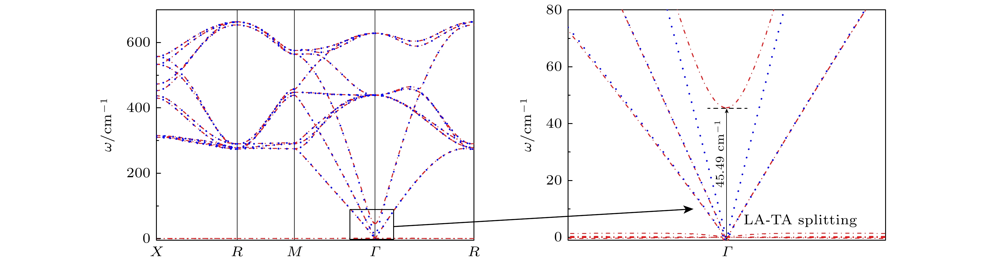
元素镁和铝是地壳中丰度较高且被广泛应用于工业工程中的金属材料, 其在高压下能以单质形式形成电子化合物, 导致丰富多彩的晶体结构和电子性质. 本研究采用第一性原理结构搜索方法系统地对0—500 GPa压力范围内镁铝合金的可能结构进行探索, 获得了8种可在不同压强范围下稳定存在的晶体结构和2种亚稳的富镁合金结构, 其中6种稳定结构具有电子化合物特征. 通过计算分析验证了电子化合物中间隙准原子对晶格振动特性的影响, 同时在富镁合金结构中发现铝原子具有独特的–5e超高氧化价态, 形成满壳层电子结构. 本研究丰富了镁铝合金的高压相图, 并为开发新型高压功能材料提供了理论参考.Magnesium and aluminum are abundant metals in the Earth’s crust and widely utilized in industrial engineering. Under high pressure, these elements can form elemental compounds into single substances, resulting in a variety of crystal structures and electronic properties. In this study, the possible structures of magnesium-aluminum alloys are systematically investigated in a pressure range of 0–500 GPa by using the first-principles structure search method, with energy and electronic structure calculations conducted using the VASP package. Bader charge analysis elucidates atomic and interstitial quasi-atom (ISQ) valence states, while lattice dynamics are analyzed using the PHONOPY package via the small-displacement supercell approach. Eight stable phases(MgAl3-Pm${\bar {3}} $m, MgAl3-P63/mmc, MgAl-P4/mmm, MgAl-Pmmb, MgAl-Fd${\bar {3}} $m, Mg2Al-P${\bar {3}} $m1, Mg3Al-P63/mmc, Mg3Al-Fm${\bar {3}} $m) and two metastable phases (Mg4Al-I4/m, Mg5Al-P${\bar {3}} $m1) are identified. The critical pressures and stable intervals for phase transitions are precisely determined. Notably, MgAl-Fd${\bar {3}} $m, Mg2Al-P${\bar {3}} $m1, Mg4Al-I4/m and Mg5Al-P${\bar {3}} $m1 represent newly predicted structures. Analysis of electronic localization characteristics reveals that six stable structures (MgAl3-Pm${\bar {3}} $m, MgAl3-P63/mmc, MgAl-Pmmb, MgAl-Fd${\bar {3}} $m, Mg2Al-P${\bar {3}} $m1 and Mg3Al-P63/mmc) exhibit electronic properties of electrides. The ISQs primarily originate from charge transfer of Mg atoms. In the metastable phase Mg4Al-I4/m, Al atoms are predicted to achieve an Al5–valence state, filling the p shell. This finding demonstrates that by adjusting the Mg/Al ratio and pressure conditions, a transition from traditional electrides to high negative valence states can be realized, offering new insights into the development of novel high-pressure functional materials. Furthermore, all Mg-Al compounds display metallic behaviors, with their stability attributed to Al-p-d orbital hybridization, which significantly contributes to the Al-3p/3d orbitals near the Fermi level. Additionally, LA-TA splitting is observed in MgAl3-Pm${\bar {3}} $m, with a splitting value of 45.49 cm–1, confirming the unique regulatory effect of ISQs on lattice vibrational properties. These results elucidate the rich structural and electronic properties of magnesium-aluminum alloys as electrodes, offering deeper insights into their behavior under high pressure and inspiring further exploration of structural and property changes in high-pressure alloys composed of light metal elements and p-electron metals.
-
Keywords:
- magnesium-aluminum alloys /
- high-pressure structure and phase transition /
- electrides /
- density functional theory
[1] [2] [3] [4] [5] [6] [7] [8] [9] [10] [11] [12] [13] [14] [15] [16] [17] [18] [19] [20] [21] [22] [23] [24] [25] [26] [27] [28] [29] [30] [31] [32] [33] [34] [35] [36] [37] [38] [39] [40] [41] [42] [43] [44] [45] [46] [47] [48] [49] [50] [51] [52] [53] [54] [55] [56] [57] [58] [59] [60] [61] [62] [63] [64] [65] -
Phase Mg/atom Al/atom ISQ/(e·site–1) ISQ/(e·cell–1) Pm${\bar {3}} $m MgAl3 (100 GPa) +1.48 +1.07 0.39 4.68 P63/mmc MgAl3 (200 GPa) +1.45 +1.65 ISQ1: 1.69; ISQ2: 1.57;
ISQ3: 1.60; ISQ4: 1.5612.81 P4/mmm MgAl (40 GPa) +1.47 –1.47 — — Pmmb MgAl (95 GPa) +1.44 –0.40 ISQ1: 0.53; ISQ2: 0.51 2.09 Fd${\bar {3}} $m MgAl (350 GPa) +1.36 +1.53 1.44 23.07 P${\bar {3}} $m1 Mg2Al (500 GPa) +1.32 +0.70 ISQ1: 0.35; ISQ2: 0.26 3.33 P63/mmc Mg3Al (50 GPa) +1.37 –3.96 0.15 0.30 Fm${\bar {3}} $m Mg3Al (350 GPa) +1.31 –3.95 — — I4/m Mg4Al (300 GPa) +1.23 –4.91 — — I4/m Mg4Al (350 GPa) +1.23 –1.76 0.79 6.32 Phase Lattice
parameters/ÅAtom Site Atomic coordinates Pm${\bar {3}} $m MgAl3
(100 GPa)a = b = c = 3.4807,
α = β = γ = 90°Mg 1a (0.00000 0.00000 0.00000) Al 3c (0.50000 0.50000 0.00000) P63/mmc MgAl3
(200 GPa)a = b = 4.6192, c = 3.7511,
α = β = 90°, γ = 120°Mg 2d (0.33333 0.66667 0.75000) Al 6h (0.16575 0.33150 0.25000) P4/mmm MgAl
(40 GPa)a = b = 2.6468, c = 3.8386,
α = β = γ = 90°Mg 1d (0.50000 0.50000 0.50000) Al 1a (0.00000 0.00000 0.00000) Pmmb MgAl
(95 GPa)a = 4.0475, b = 2.4798, c = 4.3490,
α = β = γ = 90°Mg 2f (0.25000 0.50000 0.33732) Al 2e (0.25000 0.00000 0.83940) Fd${\bar {3}} $m MgAl
(350 GPa)a = b = c = 4.8837,
α = β = γ = 90°Mg 8a (0.50000 0.50000 0.00000) Al 8b (0.50000 0.00000 0.00000) P${\bar {3}} $m1 Mg2Al
(500 GPa)a = b = 3.3248, c = 2.0093,
α = β = 90°, γ = 120°Mg 2d (0.33333 0.66667 0.49763) Al 1a (0.00000 0.00000 0.00000) P63/mmc Mg3Al
(50 GPa)a = b = 5.3284, c = 4.3022,
α = β = 90°, γ = 120°Mg 6h (0.16784 0.83216 0.25000) Al 2d (0.66667 0.33333 0.25000) Fm${\bar {3}} $m Mg3Al
(350 GPa)a = b = c = 4.8981,
α = β = γ = 90°Mg 4b (0.50000 0.50000 0.50000) 8c (0.75000 0.75000 0.75000) Al 4a (0.00000 0.00000 0.00000) I4/m Mg4Al
(500 GPa)a = b = 4.4643, c = 3.2322,
α = β = γ = 90°Mg 8h (0.09518 0.70193 0.50000) Al 2a (0.00000 0.00000 0.00000) P${\bar {3}} $m1 Mg5Al
(500 GPa)a = b = 3.3132, c = 4.0870,
α = β = 90°, γ = 120°Mg 2d (0.66667 0.33333 0.31434) 2d (0.66667 0.33333 0.81145) 1a (0.00000 0.00000 0.00000) Al 1b (0.00000 0.00000 0.50000) -
[1] [2] [3] [4] [5] [6] [7] [8] [9] [10] [11] [12] [13] [14] [15] [16] [17] [18] [19] [20] [21] [22] [23] [24] [25] [26] [27] [28] [29] [30] [31] [32] [33] [34] [35] [36] [37] [38] [39] [40] [41] [42] [43] [44] [45] [46] [47] [48] [49] [50] [51] [52] [53] [54] [55] [56] [57] [58] [59] [60] [61] [62] [63] [64] [65]
计量
- 文章访问数: 1427
- PDF下载量: 28
- 被引次数: 0








下载: