搜索

x

留言板

姓名
邮箱
手机号码
标题
留言内容
验证码

引用本文:
Citation:

邸茂云, 李鹏乐, 付林, 许永杰, 李瑾, 邝亚飞, 胡季帆
cstr: 32037.14.aps.74.20250880

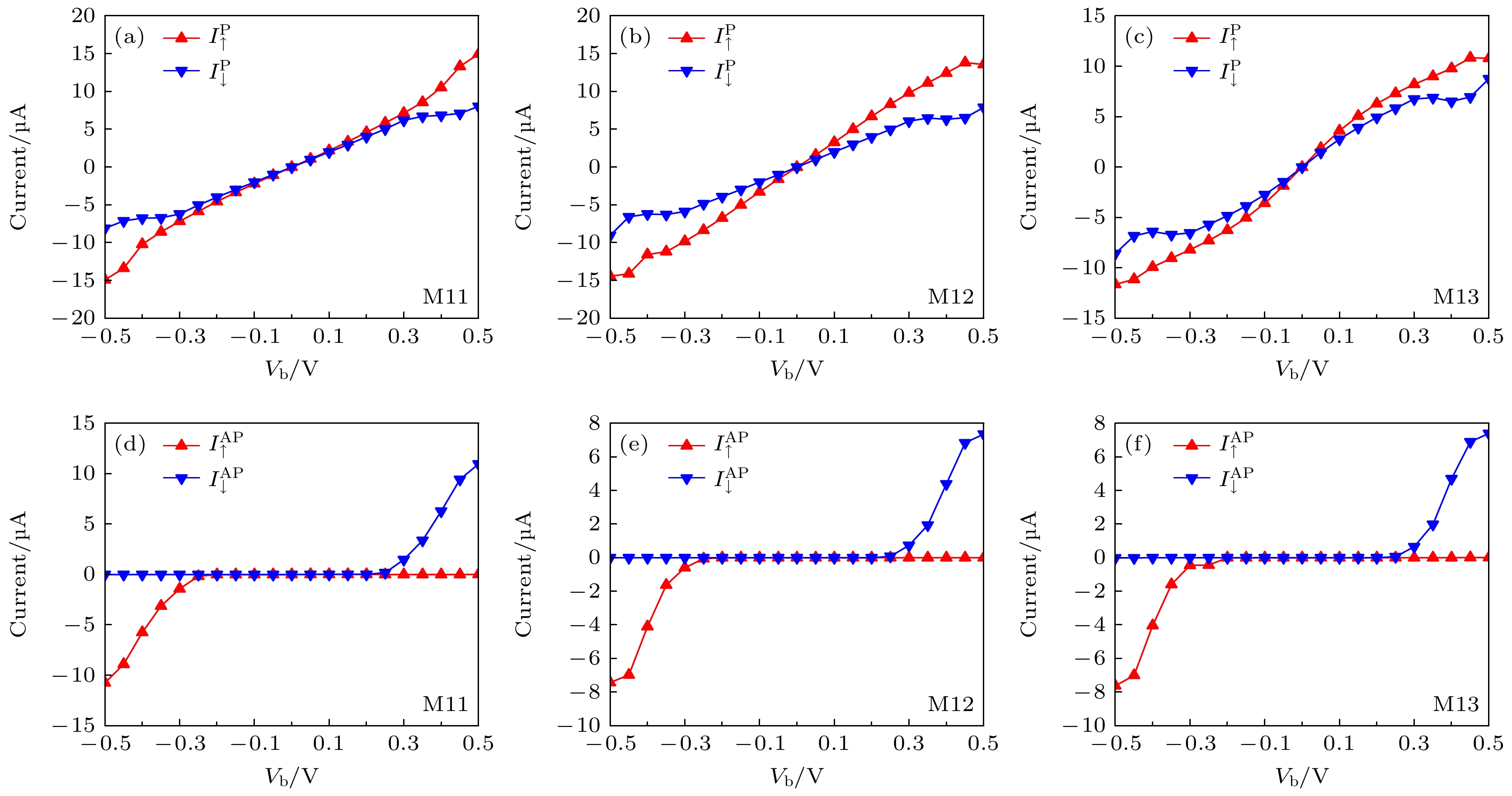
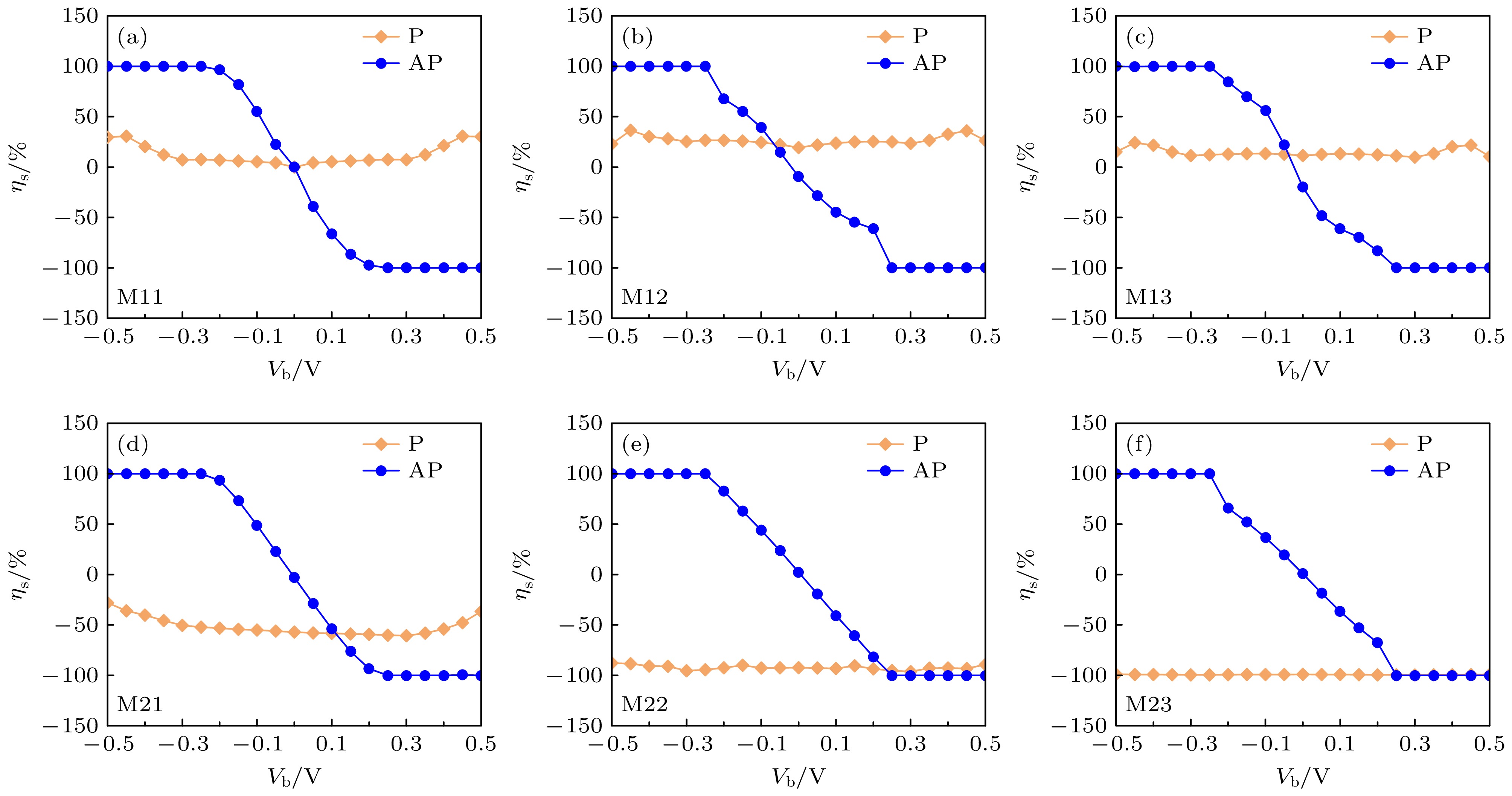
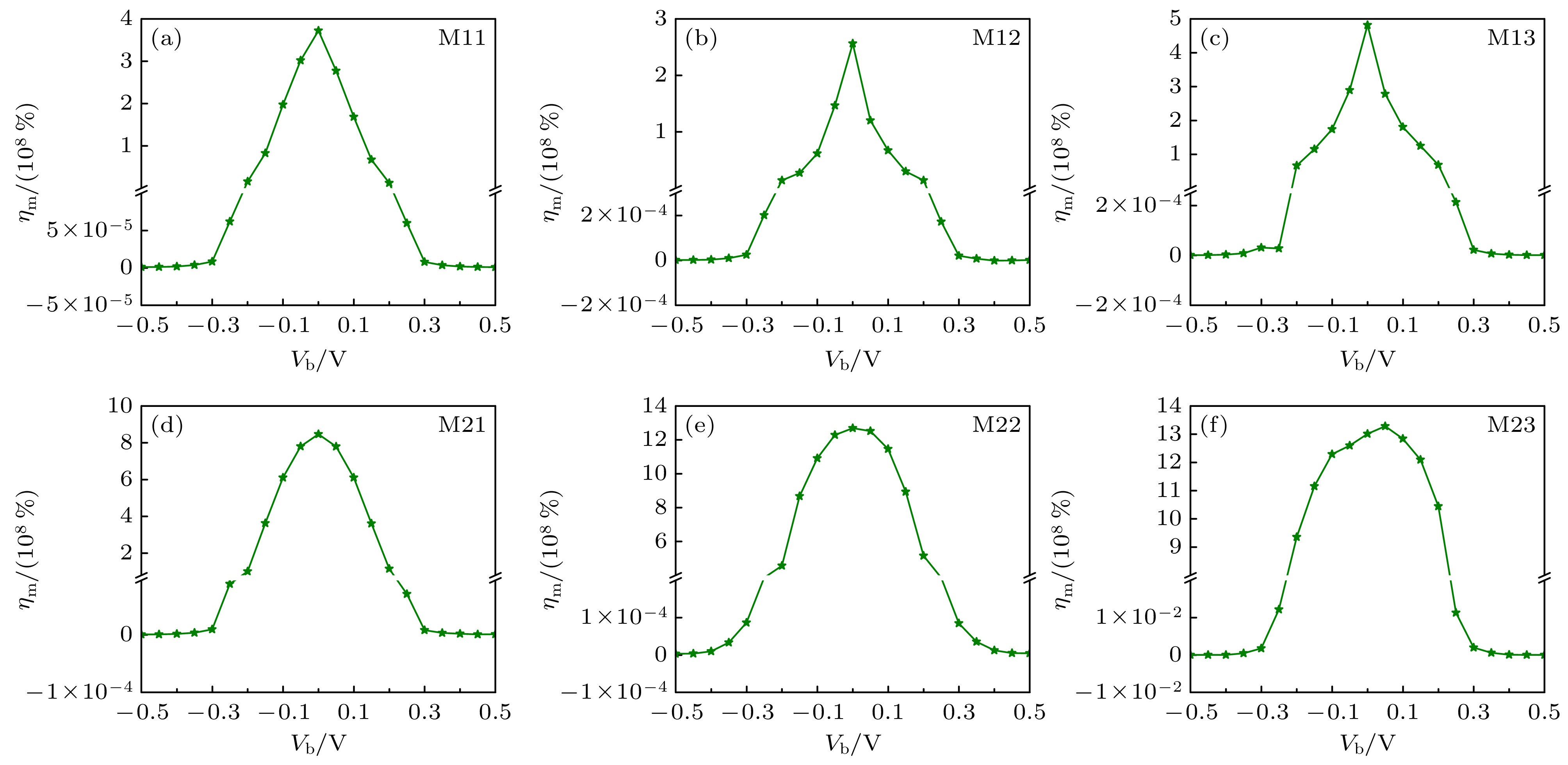
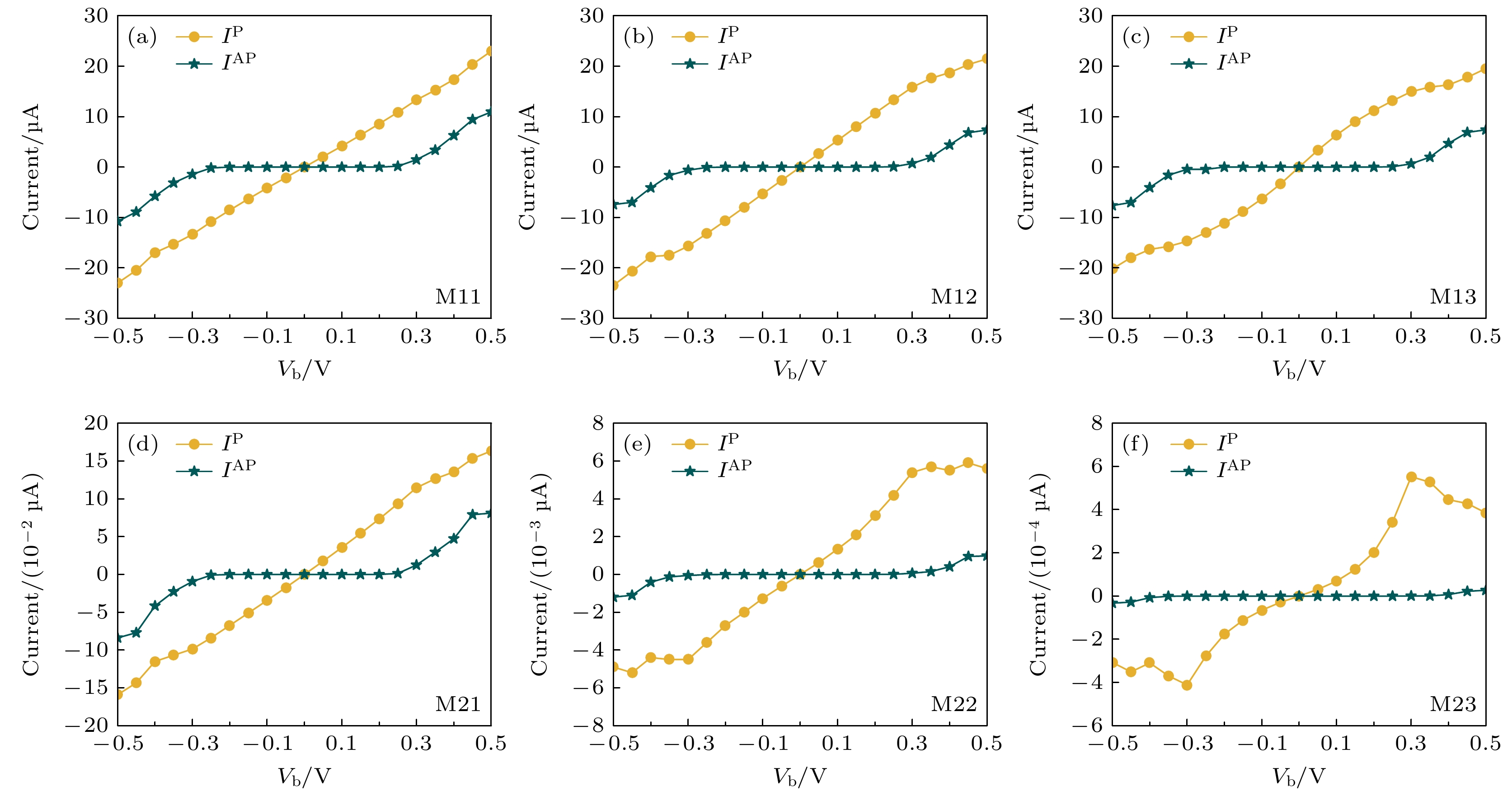
Design and spin-dependent transport properties of carbon-based molecular magnetic tunnel junctions

DI Maoyun, LI Pengle, FU Lin, XU Yongjie, LI Jin, KUANG Yafei, HU Jifan
cstr: 32037.14.aps.74.20250880
Article Text (iFLYTEK Translation)
PDF
HTML
导出引用
在线预览
计量
  • 文章访问数:  1137
  • PDF下载量:  21
  • 被引次数: 0
出版历程
  • 收稿日期:  2025-07-05
  • 修回日期:  2025-09-01
  • 上网日期:  2025-09-09
  • 刊出日期:  2025-11-05

返回文章
返回