-
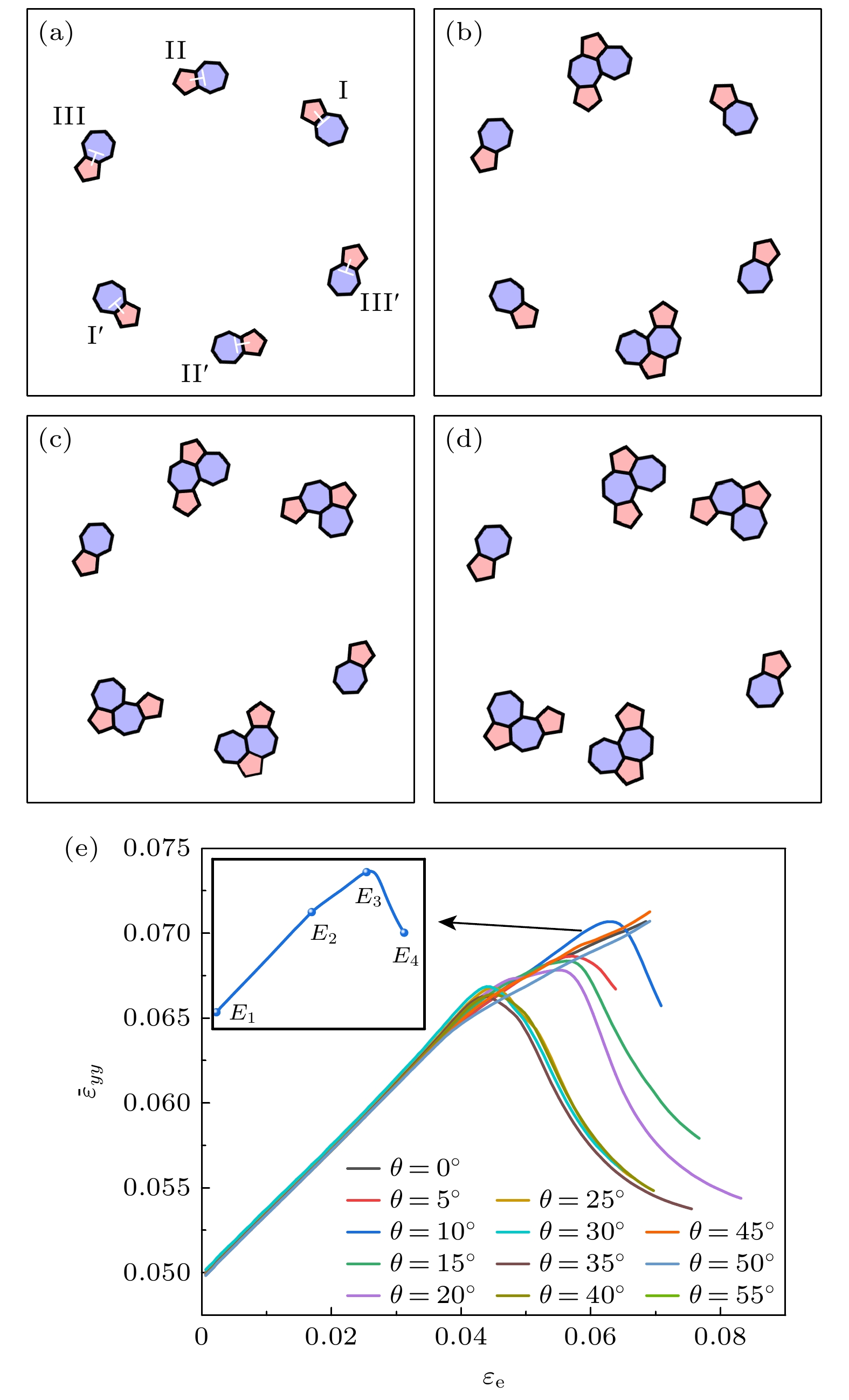
石墨烯晶界结构的演化规律及其位错运动机制的研究对理解石墨烯的塑性变形行为具有重要意义, 目前对于在非机械作用下石墨烯晶界的动力学行为已得到广泛研究, 但由于已有实验条件和模拟方法在时间和空间尺度方面的限制, 关于机械拉伸载荷作用下石墨烯位错动态演化过程及塑性变形问题仍知之甚少. 本文基于晶体相场模型, 研究了在单轴拉伸载荷作用下石墨烯晶界环的动力学演化过程. 模拟研究结果表明, 当外加应变低于临界值时, 石墨烯体系处于弹性响应阶段, 5|7位错核心区域的应变振幅随着外加载荷的增大而减小; 而当应变达到临界值时, 体系发生弹-塑性转变, 晶界环处5|7位错通过C—C键旋转, 转变为5|7|7|5位错, 此时位错核心区域的应变振幅增大, 标志着体系塑性变形的启动; 当应变超过临界值后, 体系进入塑性变形阶段, 晶界环呈现出3种特征性演化行为: 5|7位错与5|7|7|5位错之间发生缺陷结构交替转变; 位错经历“钉扎$\rightleftharpoons $攀移/滑移混合运动”的反复演化过程; 位错保持“钉扎”状态直至位错处裂纹形核并发生韧性断裂. 本工作为深入理解石墨烯塑性变形行为提供了重要理论基础.
The study of the evolution of grain boundary (GB) structures and the mechanisms of dislocation motion in graphene is of significance in uncovering the physical essence of plastic deformation behavior of graphene. Currently, the dynamic behavior of graphene GBs under non-mechanical loads has been extensively investigated. However, due to the inherent limitations of existing experimental conditions and simulation methods in terms of temporal and spatial scales, the dynamic evolution process of dislocations in graphene under mechanical tensile loads and their intrinsic correlation with plastic deformation are still poorly understood. In this work, a phase-field crystal (PFC) model based on classical density functional theory (DFT) is adopted. Combining periodic density field variables, the model achieves cross-scale coupling between microscopic crystal structures and macroscopic diffusion time scales, enabling efficient simulation of long-term evolution processes. It is particularly suitable for characterizing microscopic mechanisms involving complex defect evolution in graphene, such as dislocation glide and climb, and GB migration. In this work, the complete deformation process of a graphene bicrystal system containing a GB loop under uniaxial tensile loading is simulated on an atomic scale, including elastic response, elastic-plastic transition, plastic deformation, and fracture. The transformation characteristics of 5|7 dislocation core structures and the topological evolution of the GB loop within the system are systematically investigated. The simulation results reveal that when the applied strain is below a critical value, the system exhibits the elastic response, characterized by a linear relationship between the average response strain and the applied strain. As the strain reaches the critical value, the 5|7 dislocations at the GB loop undergo transformation into 5|7|7|5 dislocations through C—C bond rotation. This transition is accompanied by a significant increase in the strain amplitude at the dislocation cores, marking the onset of plastic deformation. Beyond the critical strain, the system thus enters the plastic deformation stage, during which the GB loop exhibits three different types of evolution behaviors: 1) alternating transformations between 5|7 and 5|7|7|5 dislocation structures driven by repeated C—C bond rotation; 2) a cyclic evolution of dislocations involving “pinning $\rightleftharpoons $ mixed climb/glide motion”, accompanied by energy fluctuations described as “energy storage-dissipation-restorage”; 3) dislocations remaining in a “pinned” state until stress concentration in their core regions initiates transgranular cracking, ultimately leading to ductile fracture of the system. This study provides important theoretical insights into the physical mechanisms underlying the plastic deformation behavior of graphene. -
Keywords:
- phase-field crystal model /
- graphene /
- grain-boundary /
- 5|7 dislocation
[1] [2] [3] [4] [5] [6] [7] [8] [9] [10] [11] [12] [13] [14] [15] [16] [17] [18] [19] [20] [21] [22] [23] [24] [25] [26] [27] [28] [29] [30] [31] [32] [33] [34] [35] [36] [37] [38] [39] [40] [41] [42] [43] [44] [45] [46] [47] [48] [49] [50] -
体系
编号晶粒取向角 体系
旋转
角度
$\theta $/(°)b与Y 轴夹角$\alpha $/(°) ${\varphi _1}$/(°) ${\varphi _2}$/(°) I号
位错II号
位错III号
位错1 1.1 –1.1 0 59.5 0.3 60.7 2 6.1 3.9 5 54.5 5.3 65.7 3 11.1 8.9 10 49.5 10.3 70.7 4 16.1 13.9 15 44.5 15.3 75.7 5 21.1 18.9 20 39.5 20.3 80.7 6 26.1 23.9 25 34.5 25.3 85.7 7 31.1 28.9 30 29.5 30.3 90.7 8 36.1 33.9 35 24.5 35.3 95.7 9 41.1 38.9 40 19.5 40.3 100.7 10 46.1 43.9 45 14.5 45.3 105.7 11 51.1 48.9 50 9.5 50.3 110.7 12 56.1 53.9 55 4.5 55.3 115.7 -
[1] [2] [3] [4] [5] [6] [7] [8] [9] [10] [11] [12] [13] [14] [15] [16] [17] [18] [19] [20] [21] [22] [23] [24] [25] [26] [27] [28] [29] [30] [31] [32] [33] [34] [35] [36] [37] [38] [39] [40] [41] [42] [43] [44] [45] [46] [47] [48] [49] [50]
计量
- 文章访问数: 1035
- PDF下载量: 46
- 被引次数: 0








下载: