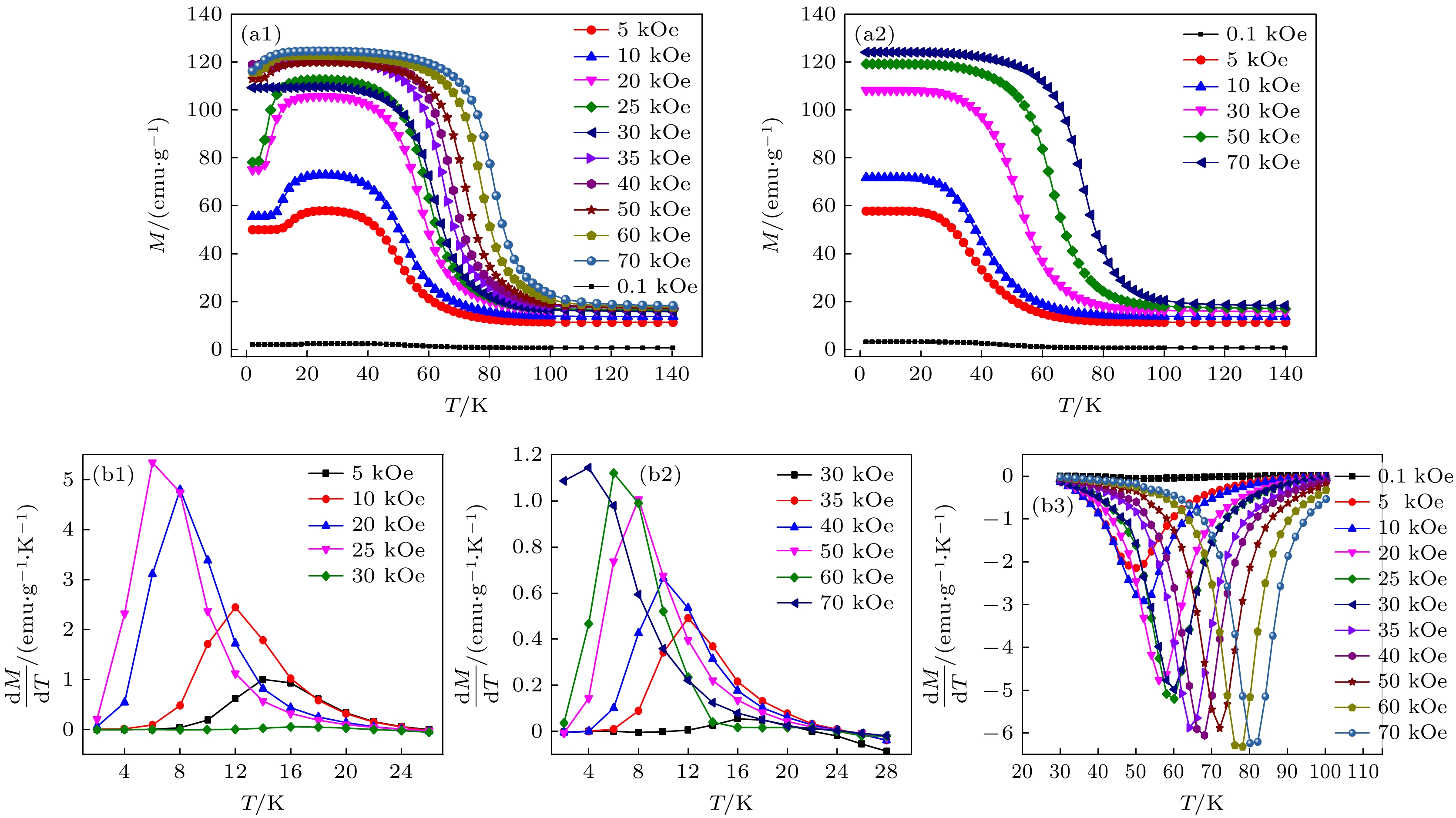
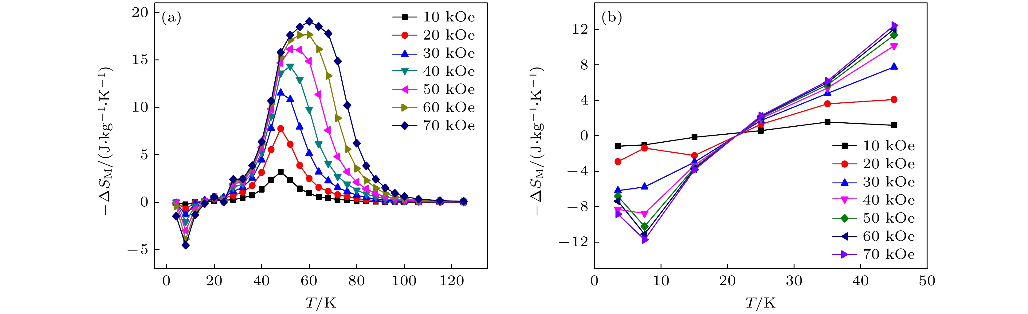
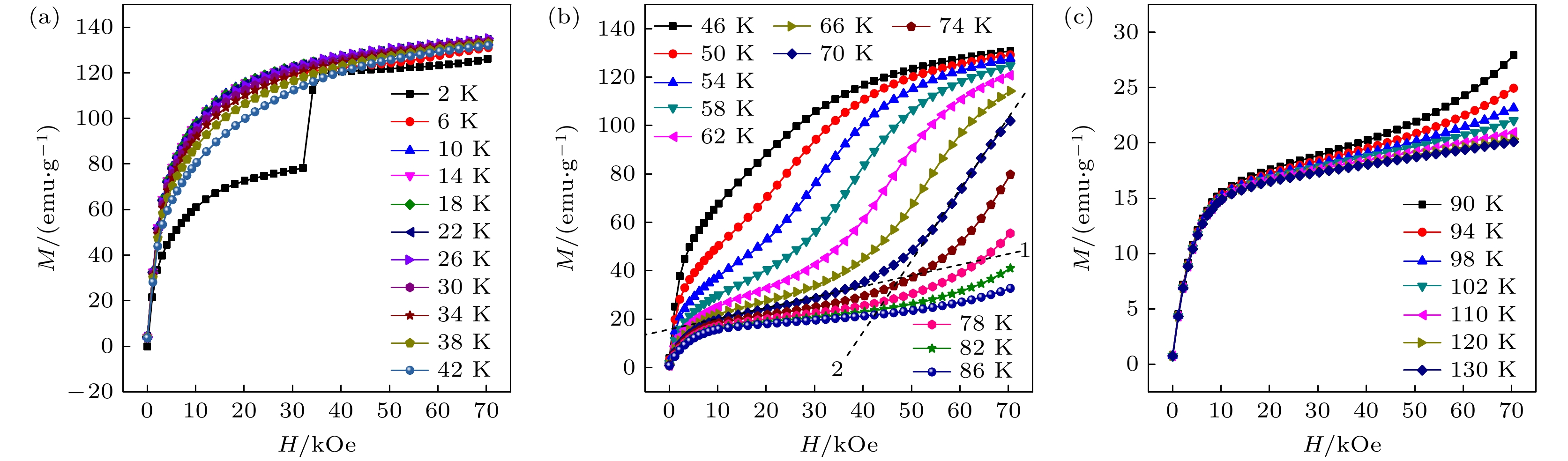
In order to clarify the metamagnetic transition properties and corresponding crystal parameter characteristics of La0.9Pr0.1Fe12B6 alloy, as well as the accompanying magnetocaloric effects, we study the magnetic phase transition process of the alloy induced by magnetic field and temperature, and the corresponding changes of X-ray diffraction patterns, and conduct in-depth comparisons of the magnetocaloric properties between different measurement modes. The results indicate that the La0.9Pr0.1Fe12B6 sample mainly consists of about 90 wt% SrNi12B6 type structural main phase and about 10 wt% Fe2B and α-Fe, which are consistent with those given in the reference literature. In the zero-field increasing temperature process, the magnetic state sequence of the main phase of La0.9Pr0.1Fe12B6 alloy is antiferromagnetic (AFM)→ferromagnetic (FM)→paramagnetic (PM); in the isothermal magnetization process, three types of magnetic field-induced metamagnetic transitions occur in different temperature ranges, namely, two different transitions between AFM and FM states at low temperatures, and a transition between PM and FM states above the Curie temperature (TC). The corresponding critical magnetic field (HC) is much lower than that of the LaFe12B6 parent alloy. On the contrary, the main phase of La0.9Pr0.1Fe12B6 alloy exhibits only PM-FM transition. This indicates that after the alloy transitions from PM state to FM state in the cooling process, even after the temperature drops to a certain value, it will not transition to AFM state. Similar phenomena also exist in other alloy of LaFe12B6 system. Based on the Néel temperature (TN) and TC obtained from the ZFCW mode M-T curves, the magnetic state phase diagram of La0.9Pr0.1Fe12B6 alloy is plotted. The results indicate that as the external magnetic field increases, TC moves linearly towards higher temperatures at a rate of almost 0.48 K/kOe. Conversely, TN1 and TN2 gradually move towards lower temperatures at rates of 0.48 K/kOe and 0.26 K/kOe, respectively. The zero-field and field-variable temperature XRD patterns show that during the magnetic transition between disorder and order states of the main phase in La0.9Pr0.1Fe12B6 alloy, there is a phenomenon of magnetocrystalline coupling. As a result, in addition to the original diffraction peaks of the main phase, some new diffraction peaks that are not observable in the PM state also appear, and their intensities increase with the decrease of temperature or the increase of magnetic field. Through Retveld refinement on XRD patterns under different conditions, it is found that the atomic occupancy rates of La/Pr and Fe are very stable in different environments, but the atomic occupancy rate of B varies greatly, which may be the main factor leading to the appearance of new diffraction peaks. In addition, in the temperature dependent magnetic entropy change curve calculated based on isothermal magnetization data in continuous measurement mode, a large magnetic entropy change can be observed near TC due to the magnetic field induced first-order metamagnetic transition of PM-FM. For example, under a magnetic field of 70 kOe, the maximum magnetic entropy change near 50 K can reach 19 J/(kg·K), and the relative cooling capacity is about 589.1 J/kg. However, under the same measurement mode, the expected large magnetic entropy change due to the AFM-FM metamagnetic transition is not observed. But, when using a discontinuous measurement mode, the large magnetic entropy change accompanying the AFM-FM transition process is also observed. For example, under a magnetic field of 70 kOe, the maximum magnetic entropy change near 8 K can reach –12 J/kg·K.