搜索

x

留言板

姓名
邮箱
手机号码
标题
留言内容
验证码

引用本文:
Citation:

朱晗毓, 种晓宇, 高兴誉, 武海军, 李祖来, 冯晶, 宋海峰
cstr: 32037.14.aps.74.20251058

Influence of alloying elements on the thermodynamic and elastic properties of palladium based alloys and database construction

ZHU Hanyu, CHONG Xiaoyu, GAO Xingyu, WU Haijun, LI Zulai, FENG Jing, SONG Haifeng
cstr: 32037.14.aps.74.20251058
Article Text (iFLYTEK Translation)
PDF
HTML
导出引用
在线预览
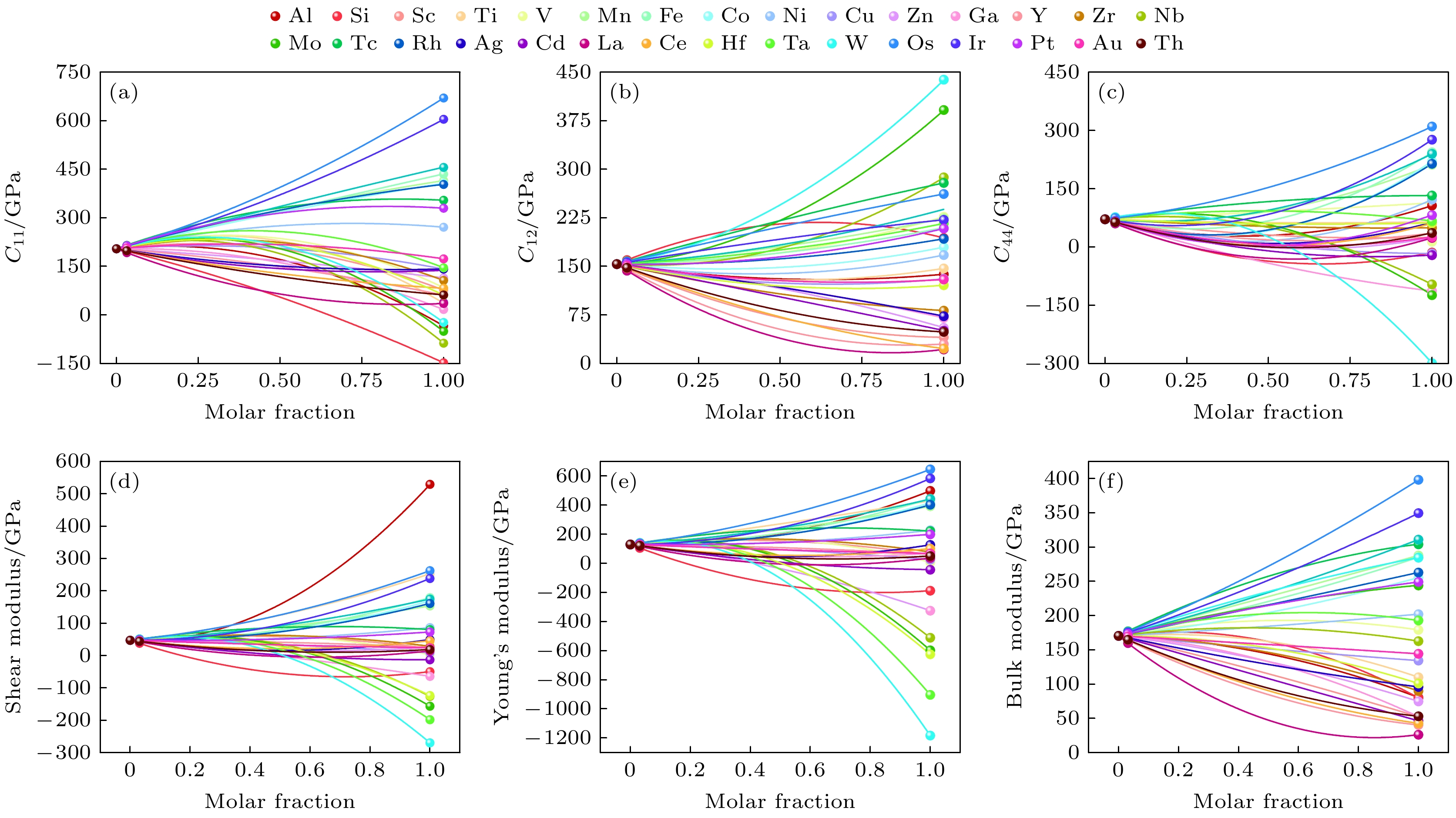
  • 钯(Pd)合金较低的摩擦系数和较好的力学性能使得其在用于长时间稳定工作的高精度仪器仪表中具备潜在优势, 但是因为高昂的原料和实验成本导致基础数据缺乏, 无法进行高性能Pd合金的设计. 因此, 本研究利用第一性原理计算了Pd的晶格常数和弹性模量, 并建立Pd与Al, Si, Sc, Ti, V, Cr, Mn, Fe, Co, Ni等33种合金元素形成的稀固溶体模型, 计算了混合焓、弹性常数和弹性模量. 研究结果表明, 除Mn, Fe, Co, Ni, Ru, Rh, Os和Ir外, 其他合金元素都可以固溶到Pd中, 元素周期表两侧的合金元素能提高Pd固溶体的延展性, 其中La, Ag和Zn的作用最明显. 通过差分电荷密度分析, Ag掺杂后形成的电子云呈球形分布, 造成延展性提高, Hf掺杂后周围的离域程度最大, 表明Hf与Pd的键合存在较强的离子性, 导致Pd31Hf硬度较高. 本文数据集可在https://www.doi.org/10.57760/sciencedb.j00213.00186中访问获取.
    The lower friction coefficient and superior mechanical properties of palladium (Pd) alloys make them potentially advantageous for use in high-precision instruments and devices that require long-term stable performance. However, the high cost of raw materials and experimental expenses result in a lack of fundamental data, which hinders the design of high-performance Pd alloys. Therefore, in this study, first-principles calculations are used to determine the lattice constant and elastic modulus of Pd. A model of dilute solid solutions formed by Pd with 33 alloying elements including Al, Si, Sc, Ti, V, Cr, Mn, Fe, Co, Ni, and others, is established. The mixing enthalpy, elastic constant, and elastic modulus are calculated. The results show that, all other alloying elements except for Mn, Fe, Co, Ni, Ru, Rh, Os, and Ir can form solid solutions with Pd. Alloying elements from both sides of the periodic table enhance the ductility of Pd solid solutions, with La, Ag, and Zn having the most significant effects, while Cu and Hf reduce the ductility of Pd. Differential charge density analysis indicates that the electron cloud formed after doping with Ag is spherically distributed, thereby improving ductility. After doping with Hf, the degree of delocalization around the atoms is maximized, indicating a strong ionic bond between Hf and Pd, which results in a higher hardness of Pd31Hf. The datasets presented in this paper are openly available at https://www.doi.org/10.57760/sciencedb.j00213.00186.
      Corresponding author: CHONG Xiaoyu, xiaoyuchong@kust.edu.cn ; GAO Xingyu, gao_xingyu@iapcm.ac.cn
    • Funds: Project supported by the Key Research and Development Program of Yunnan Province, China (Grant No. 202403AA080016).
    [1]

    [2]

    [3]

    [4]

    [5]

    [6]

    [7]

    [8]

    [9]

    [10]

    [11]

    [12]

    [13]

    [14]

    [15]

    [16]

    [17]

    [18]

    [19]

    [20]

    [21]

    [22]

    [23]

    [24]

    [25]

    [26]

    [27]

    [28]

    [29]

    [30]

    [31]

    [32]

    [33]

    [34]

    [35]

    [36]

    [37]

    [38]

    [39]

    [40]

    [41]

    [42]

    [43]

    [44]

    [45]

    [46]

    [47]

  • $ {\text{P}}{{\text{d}}_{31}}X $ Atom relaxing strategy Full relaxing strategy Solid solubility
    V/(Å3·unit cell–1) ΔH/(J·mol–1) 0L V/(Å3·unit cell–1) ΔH/(J·mol–1) 0L
    Al 487.87 –8564.71 –282911.59 486.32 –8681.80 –286779.56 5%
    Si 487.87 –7619.23 –251680.33 484.34 –7644.04 –252499.95 6.00%
    Sc 487.87 –11153.07 –368411.25 491.01 –11418.30 –377172.35 10%
    Ti 487.87 –10113.64 –334076.21 487.22 –10255.70 –338768.78 6%
    V 487.87 –6175.68 –203996.75 485.01 –6249.44 –206433.24 10%
    Cr 487.87 –1968.7 –65030.61 485.57 –1897.47 –62677.72 12%
    Mn 487.87 1093.49 36120.32 483.34 962.92 31807.49 15%
    Fe 487.87 2205.78 72862.04 483.35 2006.79 66288.66 10%
    Co 487.87 1678.78 55453.81 483.60 1427.42 47151.00 3%
    Ni 487.87 524.51 17325.86 484.15 270.46 8933.84 完全互溶
    Cu 487.87 –766.65 –25324.15 485.30 –997.37 –32945.41 20%
    Zn 487.87 –4513.42 –149088.54 486.68 –4589.15 –151590.11 7%
    Ga 487.87 –6361.88 –210147.41 487.05 –6472.09 –213787.63
    Y 487.87 –10057.30 –332215.41 496.61 –10411.01 –343899.13 8%
    Zr 487.87 –11826.39 –390652.51 492.53 –12047.20 –397946.22 8%
    Nb 487.87 –9494.62 –313628.61 489.21 –9616.53 –317655.76 15%
    Mo 487.87 –5023.61 –165941.15 487.39 –5089.07 –168103.51 23%
    Tc 487.87 –973.48 –32156.31 486.18 –1072.43 –35424.78 25%—86%
    Ru 487.87 1059.92 35011.71 486.21 995.81 32893.73 4%
    Rh 487.87 814.70 26911.42 486.61 531.91 17570.24 8%
    Ag 487.87 –18.04 –595.92 490.16 –128.24 –4236.11 完全互溶
    Cd 487.87 –3068.11 –101346.48 492.11 –3208.36 –105979.25
    La 487.87 –8248.78 –272475.91 501.57 –8649.21 –285703.03
    Ce 487.87 –11290.17 –372939.69 497.96 –11613.00 –383603.62 17%
    Hf 487.87 –12565.04 –415051.67 491.86 –12765.53 –421674.24 12%
    Ta 487.87 –10076.76 –332858.26 489.28 –10186.26 –336475.27 4%
    W 487.87 –5839.20 –192881.85 487.40 –5887.76 –194485.85 28%
    Re 487.87 –1398.74 –46203.54 487.82 –1356.74 –44816.19 18%
    Os 487.87 1196.45 39521.60 486.10 1091.13 36042.65 9%
    Ir 487.87 1114.98 36830.25 486.88 910.96 30091.00 3%
    Pt 487.87 –229.64 –7585.51 488.04 –509.93 –16844.30 完全互溶
    Au 487.87 –458.08 –15131.47 490.65 –733.56 –24231.25 完全互溶
    Th 487.87 –12313.59 –406745.80 501.50 –12676.97 –418748.79
    下载: 导出CSV

    $ {\text{P}}{{\text{d}}_{31}}X $ C11 C12 C44 G B E B/G υ $ {\text{P}}{{\text{d}}_{31}}X $ C11 C12 C44 G B E B/G υ
    Al 207 151 65 47 170 128 3.643 0.374 Tc 215 158 75 51 177 140 3.463 0.368
    Si 197 160 61 38 172 106 4.548 0.398 Ru 213 155 69 49 174 134 3.550 0.371
    Sc 208 147 68 49 167 135 3.383 0.365 Rh 213 153 64 47 173 130 3.674 0.375
    Ti 212 151 71 51 171 138 3.381 0.365 Ag 200 151 64 43 168 120 3.859 0.381
    V 212 153 73 50 173 138 3.432 0.367 Cd 199 150 64 44 167 120 3.820 0.380
    Cr 211 153 74 51 172 139 3.375 0.365 La 193 143 61 42 160 116 3.784 0.379
    Mn 213 155 70 49 174 135 3.544 0.371 Ce 199 147 64 44 165 122 3.720 0.377
    Fe 212 154 66 47 173 130 3.655 0.375 Hf 210 150 70 50 170 137 3.405 0.366
    Co 212 152 64 47 172 129 3.659 0.375 Ta 213 154 74 51 174 140 3.403 0.366
    Ni 211 151 63 47 171 129 3.654 0.375 W 212 156 77 51 175 140 3.409 0.366
    Cu 207 151 66 47 169 129 3.611 0.373 Re 213 155 75 50 174 140 3.402 0.366
    Zn 203 152 64 44 169 122 3.814 0.379 Os 214 157 74 51 176 138 3.486 0.369
    Ga 205 152 63 45 169 123 3.791 0.379 Ir 213 156 67 48 175 131 3.684 0.376
    Y 202 145 66 47 164 129 3.471 0.369 Pt 214 153 63 47 174 129 3.689 0.376
    Zr 210 150 70 50 170 136 3.418 0.367 Au 207 151 65 46 170 127 3.666 0.375
    Nb 211 153 74 51 172 139 3.375 0.365 Th 198 148 64 44 165 121 3.742 0.377
    Mo 212 155 76 51 174 140 3.393 0.366
    下载: 导出CSV
  • [1]

    [2]

    [3]

    [4]

    [5]

    [6]

    [7]

    [8]

    [9]

    [10]

    [11]

    [12]

    [13]

    [14]

    [15]

    [16]

    [17]

    [18]

    [19]

    [20]

    [21]

    [22]

    [23]

    [24]

    [25]

    [26]

    [27]

    [28]

    [29]

    [30]

    [31]

    [32]

    [33]

    [34]

    [35]

    [36]

    [37]

    [38]

    [39]

    [40]

    [41]

    [42]

    [43]

    [44]

    [45]

    [46]

    [47]

  • [1] 刘郅澄, 周杰, 陈凡, 彭彪, 彭文屹, 章爱生, 邓晓华, 罗显芝, 刘日新, 刘德武, 黄雨, 阎军. Si对Inconel 718合金中γ相影响的第一性原理研究. 必威体育下载 , 2023, 72(18): 186301. doi: 10.7498/aps.72.20230583
    [2] 张江林, 王仲民, 王殿辉, 胡朝浩, 王凤, 甘伟江, 林振琨. V/Pd界面氢吸附扩散行为的第一性原理研究. 必威体育下载 , 2023, 72(16): 168801. doi: 10.7498/aps.72.20230132
    [3] 张博凯. 胶体聚合物弹性模量的微观理论: 键长的效应. 必威体育下载 , 2021, 70(12): 126401. doi: 10.7498/aps.70.20210128
    [4] 付现凯, 陈万骐, 姜钟生, 杨波, 赵骧, 左良. Ti3O5弹性、电子和光学性质的第一性原理研究. 必威体育下载 , 2019, 68(20): 207301. doi: 10.7498/aps.68.20190664
    [5] 严顺涛, 姜振益. Cu掺杂对TiNi合金马氏体相变路径影响的第一性原理研究. 必威体育下载 , 2017, 66(13): 130501. doi: 10.7498/aps.66.130501
    [6] 张朝民, 江勇, 尹登峰, 陶辉锦, 孙顺平, 姚建刚. 点缺陷浓度对非化学计量比L12型结构的A13Sc弹性性能的影响. 必威体育下载 , 2016, 65(7): 076101. doi: 10.7498/aps.65.076101
    [7] 马蕾, 王旭, 尚家香. Pd掺杂对NiTi合金马氏体相变和热滞影响的第一性原理研究. 必威体育下载 , 2014, 63(23): 233103. doi: 10.7498/aps.63.233103
    [8] 范开敏, 杨莉, 孙庆强, 代云雅, 彭述明, 龙兴贵, 周晓松, 祖小涛. 六角相ErAx (A=H, He)体系弹性性质的第一性原理研究. 必威体育下载 , 2013, 62(11): 116201. doi: 10.7498/aps.62.116201
    [9] 周平, 王新强, 周木, 夏川茴, 史玲娜, 胡成华. 第一性原理研究硫化镉高压相变及其电子结构与弹性性质. 必威体育下载 , 2013, 62(8): 087104. doi: 10.7498/aps.62.087104
    [10] 汝强, 李燕玲, 胡社军, 彭薇, 张志文. Sn3InSb4合金嵌Li性能的第一性原理研究. 必威体育下载 , 2012, 61(3): 038210. doi: 10.7498/aps.61.038210
    [11] 张正罡, 他得安. 基于弹性模量检测骨疲劳的超声导波方法研究. 必威体育下载 , 2012, 61(13): 134304. doi: 10.7498/aps.61.134304
    [12] 宋云飞, 于国洋, 殷合栋, 张明福, 刘玉强, 杨延强. 激光超声技术测量高温下蓝宝石单晶的弹性模量. 必威体育下载 , 2012, 61(6): 064211. doi: 10.7498/aps.61.064211
    [13] 文黎巍, 王玉梅, 裴慧霞, 丁俊. Sb系half-Heusler合金磁性及电子结构的第一性原理研究. 必威体育下载 , 2011, 60(4): 047110. doi: 10.7498/aps.60.047110
    [14] 胡玉平, 平凯斌, 闫志杰, 杨雯, 宫长伟. Finemet合金析出相-Fe(Si)结构与磁性的第一性原理计算. 必威体育下载 , 2011, 60(10): 107504. doi: 10.7498/aps.60.107504
    [15] 范开敏, 杨莉, 彭述明, 龙兴贵, 吴仲成, 祖小涛. 第一性原理计算α-ScDx(D=H,He)的弹性常数. 必威体育下载 , 2011, 60(7): 076201. doi: 10.7498/aps.60.076201
    [16] 罗礼进, 仲崇贵, 全宏瑞, 谭志中, 蒋青, 江学范. Heusler合金Mn2NiGe磁性形状记忆效应的第一性原理预测. 必威体育下载 , 2010, 59(11): 8037-8041. doi: 10.7498/aps.59.8037
    [17] 李世娜, 刘永. Cu3N弹性和热力学性质的第一性原理研究. 必威体育下载 , 2010, 59(10): 6882-6888. doi: 10.7498/aps.59.6882
    [18] 王娜, 唐壁玉. L12型铝合金的结构、弹性和电子性质的第一性原理研究. 必威体育下载 , 2009, 58(13): 230-S234. doi: 10.7498/aps.58.230
    [19] 朱建新, 李永华, 孟繁玲, 刘常升, 郑伟涛, 王煜明. NiTi合金的第一性原理研究. 必威体育下载 , 2008, 57(11): 7204-7209. doi: 10.7498/aps.57.7204
    [20] 宇 霄, 罗晓光, 陈贵锋, 沈 俊, 李养贤. 第一性原理计算XHfO3(X=Ba, Sr)的结构、弹性和电子特性. 必威体育下载 , 2007, 56(9): 5366-5370. doi: 10.7498/aps.56.5366
计量
  • 文章访问数:  414
  • PDF下载量:  5
  • 被引次数: 0
出版历程
  • 收稿日期:  2025-08-06
  • 修回日期:  2025-10-19
  • 上网日期:  2025-11-05

返回文章
返回