-
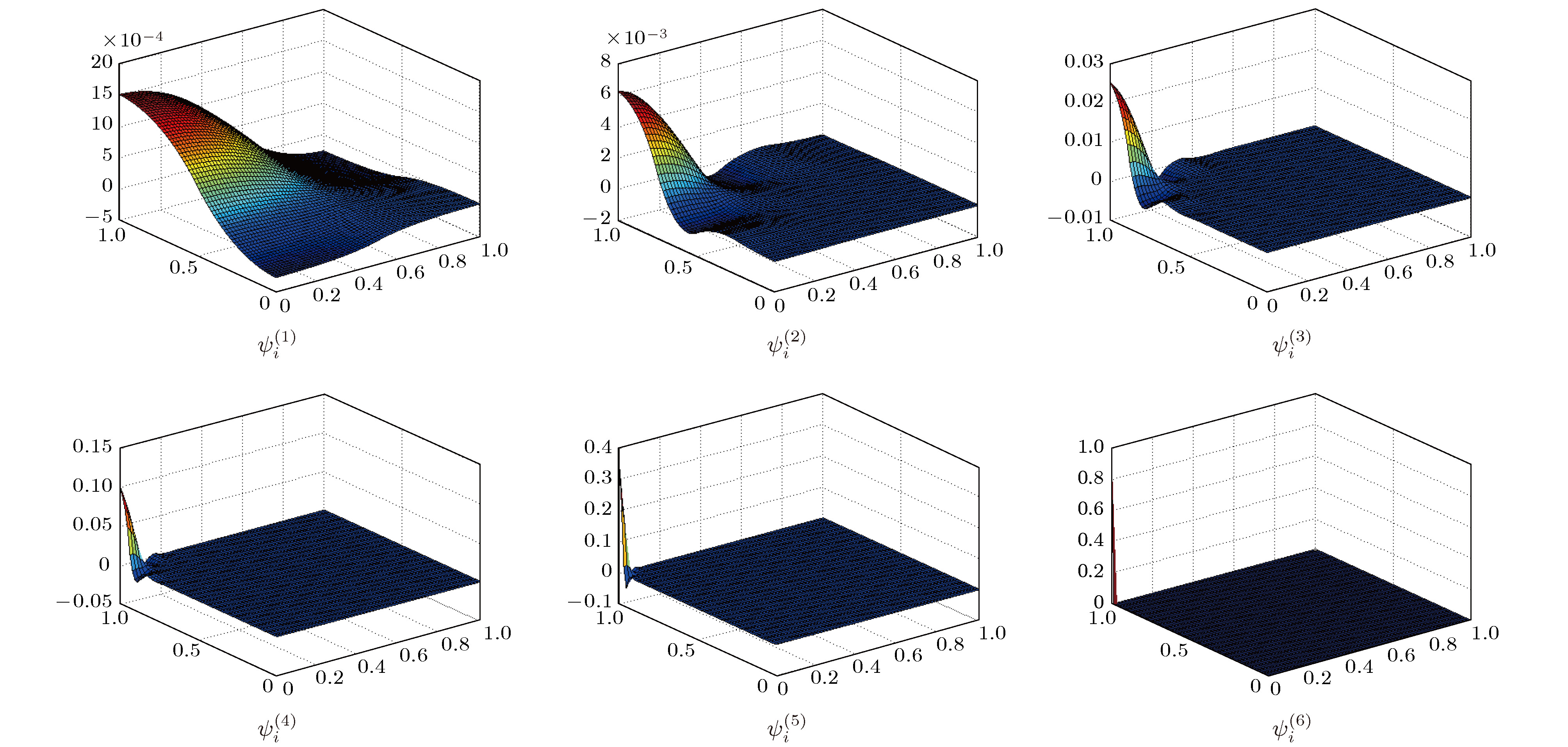
缝洞型介质通常具有非均质性强、结构多尺度的特征. 传统数值方法在解决此类多尺度流动问题时, 难以兼顾计算精度与计算效率, 无法实际应用. 对此, 本文提出了多孔介质流体流动的多尺度分解法, 并应用于缝洞介质流动模拟, 能够大幅减小计算的复杂度, 同时可以通过控制均化程度控制计算精度. 该方法将求解空间分为若干个子空间的正交直和, 从而获得一个近线性的计算复杂度; 以分层计算的方式实现了快速计算, 另外这种方法是一种无网格方法, 具有较好的地层适应性. 同时, 采用离散缝洞模型简化缝洞结构, 进一步提高了计算效率. 详细阐述了基于多尺度分解法的多孔介质流体流动数值计算格式的建立, 重点介绍了如何在不同的层次上计算基函数. 数值结果表明, 本文提出的计算方法不仅能够准确捕捉多孔介质中的精细流动特征, 而且具有很高的计算效率, 是一种有效的流动模拟方法.Numerical simulation of a fractured-vuggy porous medium is a challenging problem. One reason is the coexistence of matrix, fractures and vugs on multiple scales that need to be coupled, and the other reason is that the high-resolution fractured-vuggy model may contain up to several millions of gridcells in applications, which brings severe computational challenges into the numerical methods. Therefore, the requirement for accurate and efficient technique is widely increasing. Fractured-vuggy porous medium is generally represented by triple-continuum model in which the matrix system, fracture system and vug system each are treated as a parallel continuous system. Although triple-continuum model is widely used because of its easy-implementation and high efficiency, it fails to capture the detailed flow patterns of reservoir with disconnected long fractures. Discrete fracture-vug network (DFVN) model can precisely model the fluid flow in fractures and vugs. However, the simulation of this model is deemed intractable even with the advent of supercomputers because of the large amount of calculation. In view of the fact that the multigrid method is now well known as one of the fastest method of solving elliptic problems, in this paper we introduce a nearly linear complexity multiresolution decomposition method for fluid flow in a fractured-vuggy reservoir. The detailed flow patterns are described by combing the advantages of continuum model and discrete model. That is, the homogenization theory is used to construct an equivalent permeability in each coarse grid block in which the vugs and small-scale fractures are represented by discrete fracture-vug network model. We decompose the solution space into several subspaces and then we compute the corresponding solutions of heterogeneous discrete fracture network model in each subspace. Gamblets are constructed and they are elementary solutions of hierarchical information games associated with the process of computing with partial information and limited resources. These gamblets have a natural Bayesian interpretation under the mixed strategy emerging from the game theoretic formulation. This method could realize its fast simulation by decomposing the solution space into a direct sum of linear subspaces that are orthogonal to each other. Finally, the pressure difference distribution of fractured-vuggy porous medium is obtained by combing the DFVN solutions of all subspaces. Numerical results are presented to demonstrate the accuracy and efficiency of the proposed multiresolution decomposition method. The results show that this method is a promising method of numerically simulating the fractured-vuggy porous medium.
-
Keywords:
- fractured-vuggy porous media/
- multiresolution decomposition/
- discrete fracture-vug network model/
- numerical simulation
[1] [2] [3] [4] [5] [6] [7] [8] [9] [10] [11] [12] [13] [14] [15] [16] [17] [18] [19] [20] [21] [22] [23] [24] [25] [26] [27] [28] [29] [30] -
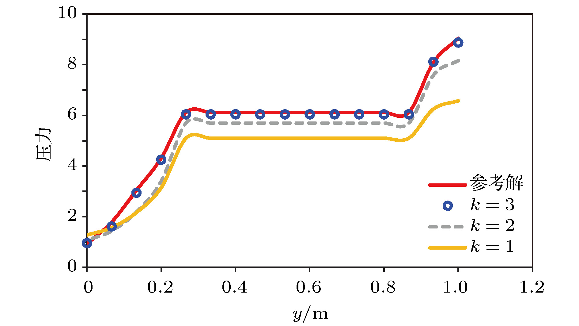
参数名称 参数值 裂缝渗透率/${\text{μ}}{\rm m}^2$ 1 × 104 裂缝开度/m 1 × 10–3 流体黏度/mPa·s 1 基岩渗透率/${\text{μ}}{\rm m}^2$ 0.001 k 2 3 4 计算误差 0.0823 0.0132 3.2549 × 10–15 k 1 2 3 计算误差 0.1925 0.0831 0.0141 -
[1] [2] [3] [4] [5] [6] [7] [8] [9] [10] [11] [12] [13] [14] [15] [16] [17] [18] [19] [20] [21] [22] [23] [24] [25] [26] [27] [28] [29] [30]
计量
- 文章访问数:6875
- PDF下载量:74
- 被引次数:0












下载:











