A type of fiber-based orbital angular momentum (OAM) modulator is designed according to transformation relation between OAM beam and optical fiber vector mode, together with mode-coupling theory, which is based on the combination of multimode fiber structure and chirally-coupled-cores structure. Instead of applying external force or grating etching to the fiber in the system, chirally-coupled-cores fiber can realize the modulation of any optical OAM by using single fiber at 1550 nm. Therefore, the test system is relatively simple. From the equation
${\rm{OAM}}_{ \pm l,n}^{ \pm \sigma } = {\rm{HE}}_{l + 1,n}^{{\rm{even}}} \pm {\rm{i}} \times {\rm{HE}}_{l + 1,n}^{{\rm{odd}}}$
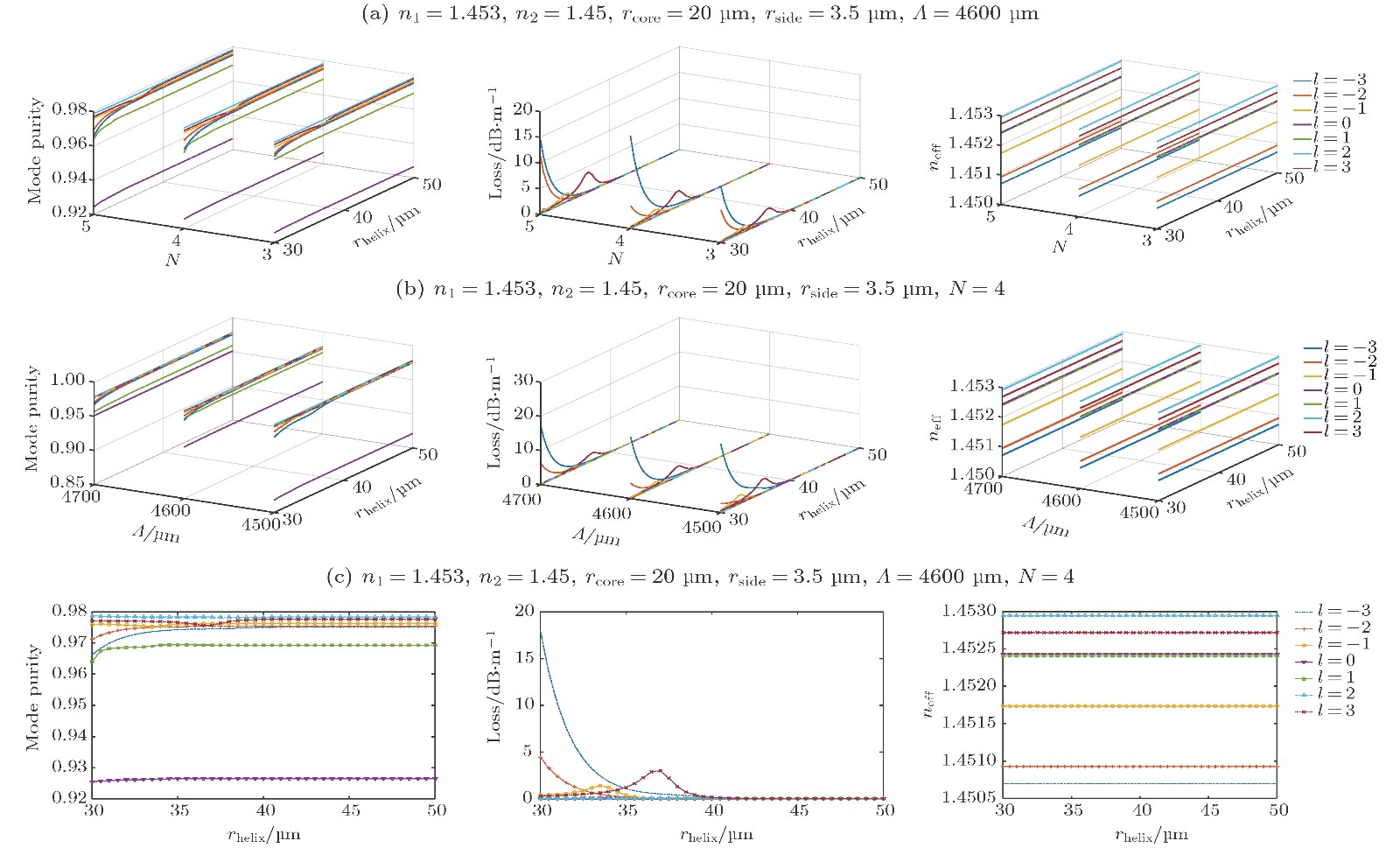
, it can be seen that the OAM mode generated by long period chirally-coupled-cores fiber depends on the higher-order modes supported by the central fiber core. Therefore, the generation and modulation of any order OAM beam can be realized by changing the diameter of the central fiber core in theory. Through theoretical analysis and numerical simulation, the effects of different structure parameters on OAM modes are analyzed, including mode purity, mode transmission loss and effective refractive index. By keeping the propagation constants of the center core and side cores unchanged, the number of side cores has no effect on mode purity nor effective refractive index, but which is not for mode transmission loss. The loss of mode transmission increases with the increase of the number of side cores. However, it does not mean that the less number of side cores is a better case, in that the fiber symmetry and processing technology should also be considered. And the pitch calculated by the formula of phase matching condition can change in value within a certain numerical range without strongly affecting the mode purity and mode transmission loss. Pitch has a great influence on the effective refractive index of modes, therefore the pitch can be under control to change the difference in effective refractive index between OAM modes and reduce crosstalk between disparate modes. The distance between the center core and side cores of fiber has little effect on mode purity, great effect on mode transmission loss, but no effect on effective refractive index. Theoretically, the mode purity and mode transmission loss perform better with the distance between two kinds of cores increasing. But it will be limited by the fiber integration level.