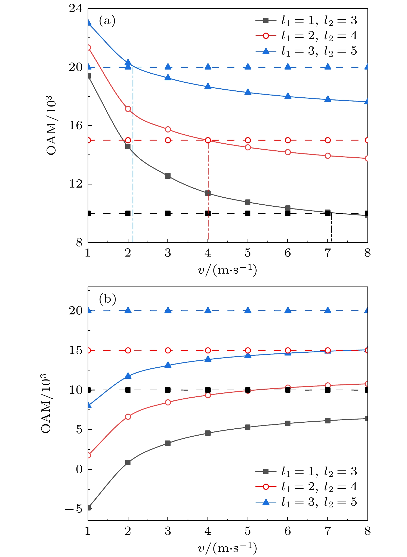
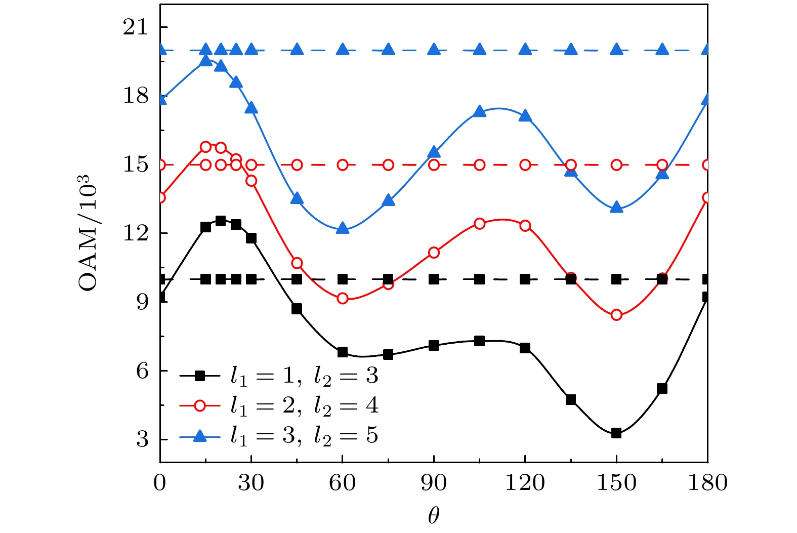
The effects of thermal blooming on orbital angular momentum (OAM) and phase singularity of dual-mode vortex beams under different wind directions and wind speeds are studied in this paper. Owing to the different symmetries of dual-mode vortex beams superimposed by different modes, the effects of thermal blooming on them depend on not only wind speed, but also wind direction. Based on the scalar wave equation and the hydrodynamic equation, a four-dimensional (4D) computer code to simulate the time-dependent propagation of dual-mode vortex beams in the atmosphere is devised by using the multiphase screen method and finite difference method. It is found that for a certain wind direction, the value of OAM increases with the wind speed decreasing because the thermal blooming becomes more serious, i.e. the thermal blooming effect promotes the OAM of dual-mode vortex beam to grow. For example, when the angle between the wind direction and the beam is 0 <
θ< 50°, the OAM of the dual-mode vortex beams with a topological charge difference of 2 increases with wind speed decreasing, and there is an optimal angle (
$ \theta \approx {20^ \circ } $
) to maximize OAM. Therefore, for a certain wind direction and wind speed, the OAM of dual-mode vortex beam propagating in the atmosphere can be larger than that in free space, and can be larger than the OAM of single-mode vortex beam. The dual-mode vortex beam with higher modes requires smaller wind speed to make its OAM larger than the OAM in free space. In addition, the larger the difference in topological charge between the two element beams of a dual-mode vortex beam, the more stable the OAM of the dual-mode vortex beam is. On the other hand, the evolution of linear edge dislocation singularity under atmospheric thermal blooming is also investigated in this paper. When the wind direction is perpendicular to the dislocation line, the linear edge dislocation singularity disappears. If the wind direction is parallel to the dislocation line, the linear edge dislocation singularity always exists. At other angles, the linear edge dislocation singularity will evolve into optical vortex pairs. The results obtained in this paper have a certain reference value for the propagation of lasers in the atmosphere and optical communication.