Graphene and other materials have a typical two-dimensional (2D) honeycomb structure. The random fuse model is a statistical physics model that is very effective in studying the fracture dynamics of heterogeneous materials. In order to study the current fusing process and the properties of the fractured surface of 2D honeycomb structure materials such as graphene, in this paper we attempt to numerically simulate and analyze the fusing process and melting profile properties of the 2D honeycomb structure random fuse network. The results indicate that the surface width exhibits a good scaling behavior and has a linear relationship with the system size, and that the out-of-plane roughness exponent displays a global value of
$\alpha = 0.911 \pm 0.005$
and a local value of
${\alpha _{{\rm{loc}}}} = 0.808 \pm 0.003$
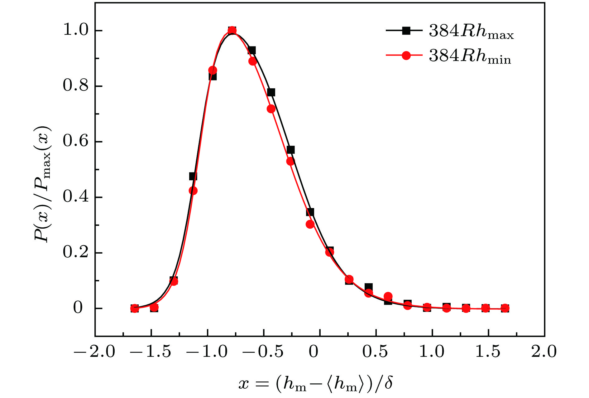
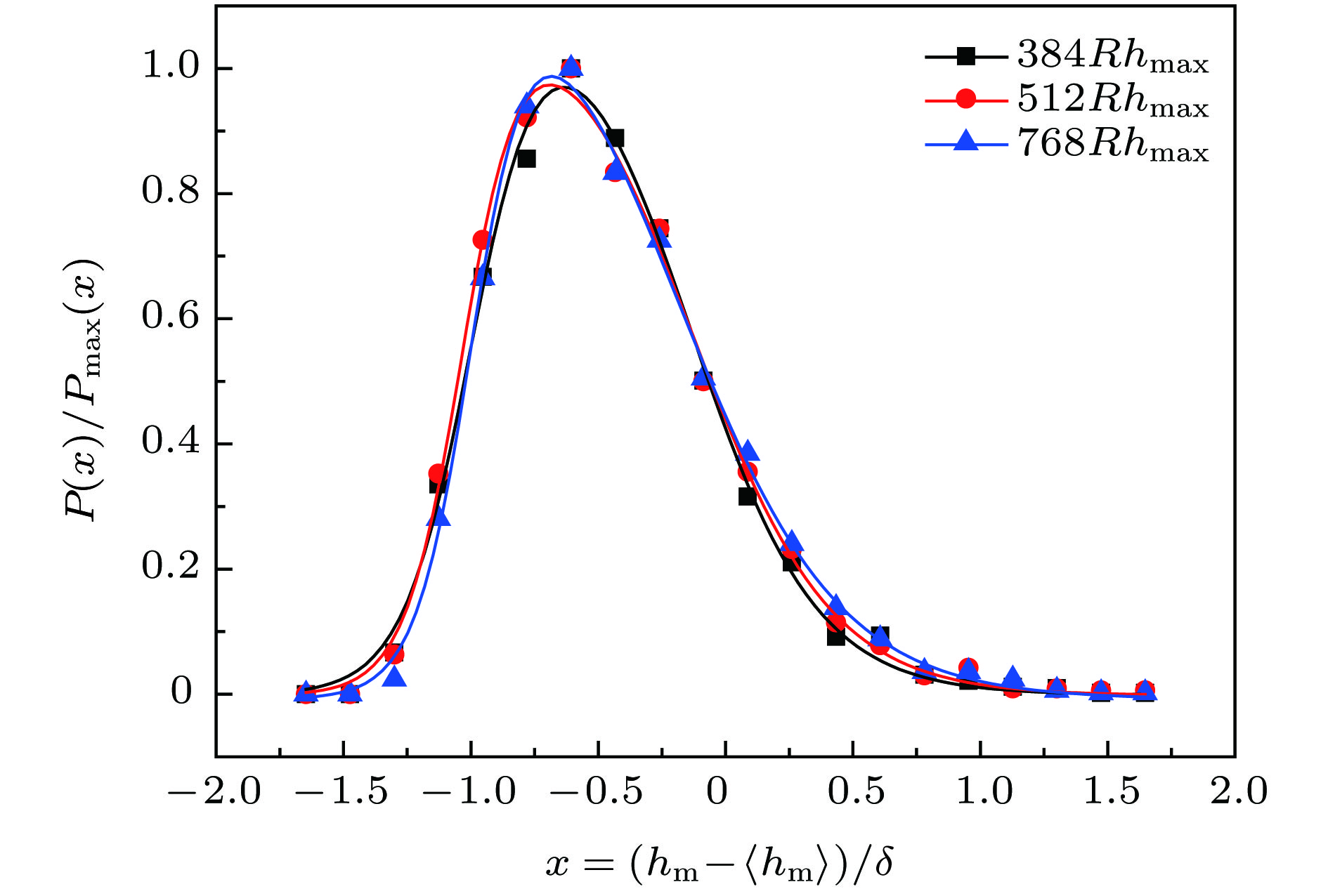
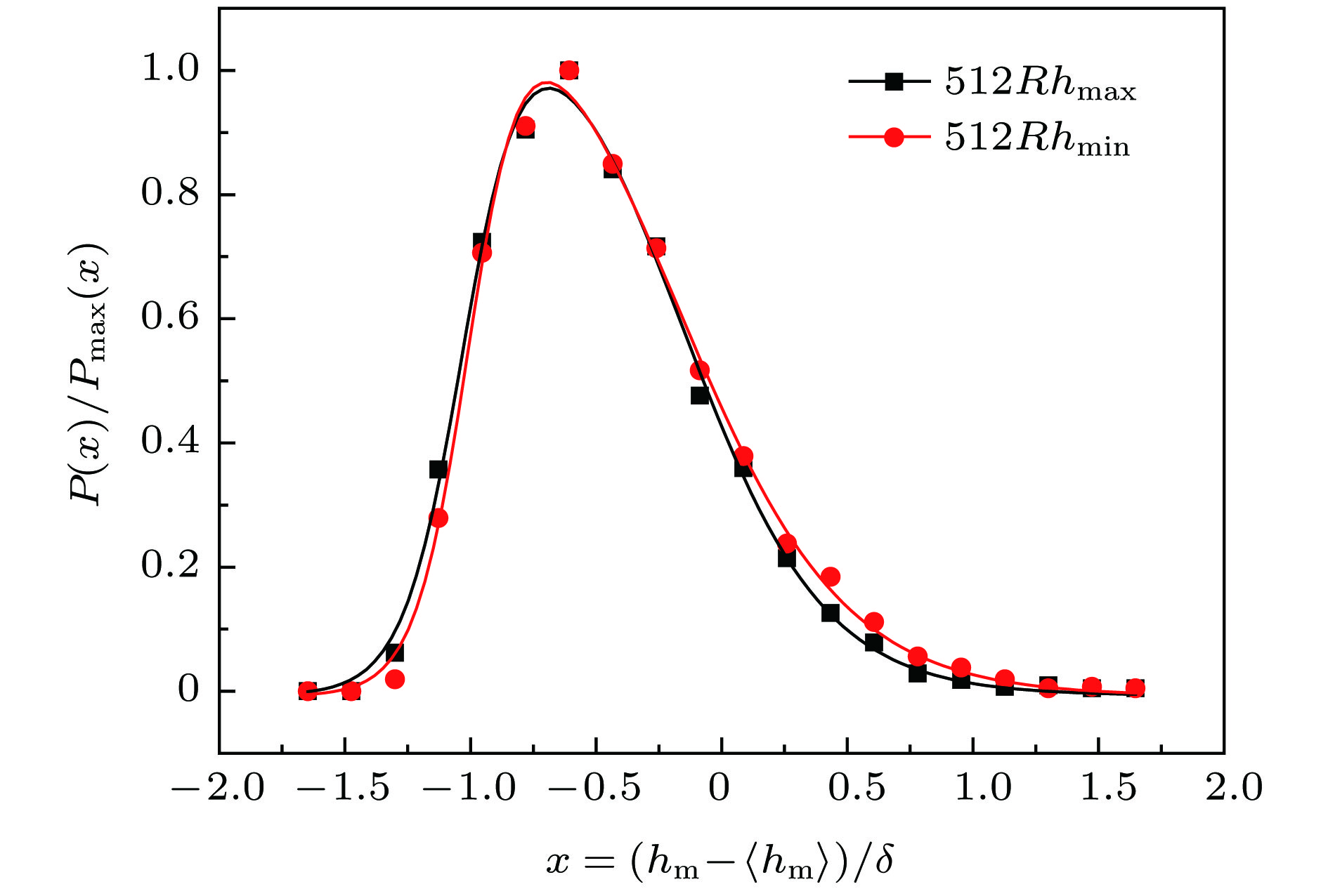
, approximate to those of the materials studied. The global and local roughness and their difference indicate that the fusing process and the fracture profile exhibit significant scale properties and have a strange scale. On the other hand, by analyzing the extreme values of the fused surface with different system sizes, the extreme heights can be collapsed very well, after a lot of trials and analysis, it is found that the extreme statistical distribution of the height of the fused surface can well satisfy the Asym2sig type distribution. The extreme height distributions of fracture surfaces can be fitted by Asym2Sig distribution, rather than the three kinds of usual extreme statistical distributions, i.e. Weibull, Gumbel, and Frechet distributions. The relative maximal and minimum height distribution of the fused surface at the same substrate size have a good symmetry. In the simulation calculation process of this paper, the coefficient matrix is constructed by using the node analysis method, and the Cholesky decomposition is performed on the coefficient matrix, and then the Sherman-Morrison-Woodbury algorithm is used to quickly invert the coefficient matrix, which greatly optimizes the calculation process and calculation. The efficiency makes the numerical simulation calculation and analysis performed smoothly. The research in this paper indicates that the random fuse model is a very effective theoretical model in the numerical analysis of the scaling properties of rough fracture surfaces, and it is also applicable to the current fusing process of the inhomogeneous material and the scaling surface analysis of the fusing surface. In this paper, it is found that materials with anisotropic structure can also find their fracture mode by energization, and the properties of fracture surface can provide reference for the study of mechanical properties of honeycomb structural materials. It is a very effective statistical physical model, and this will expand the field of applications of random fuse models.