-
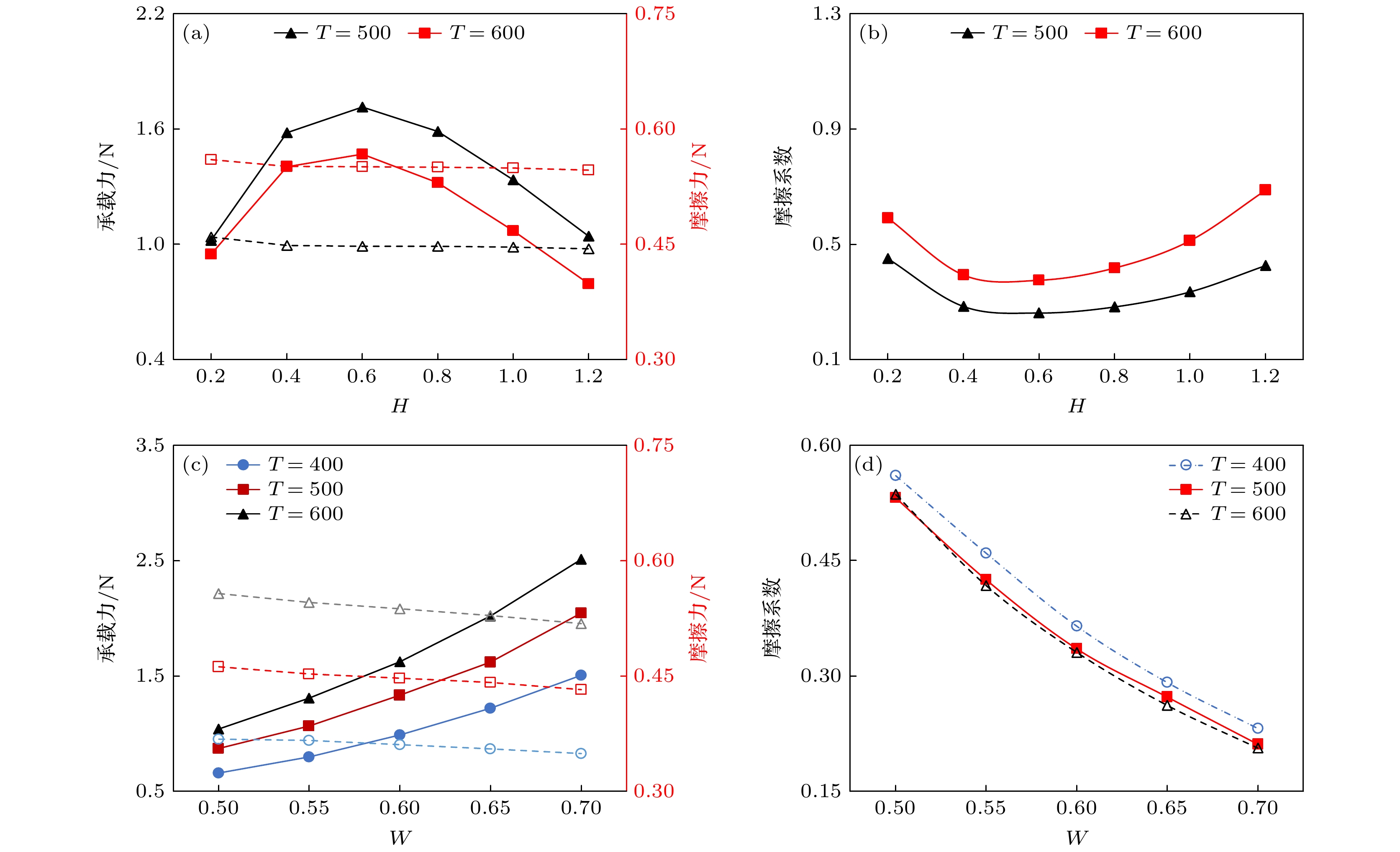
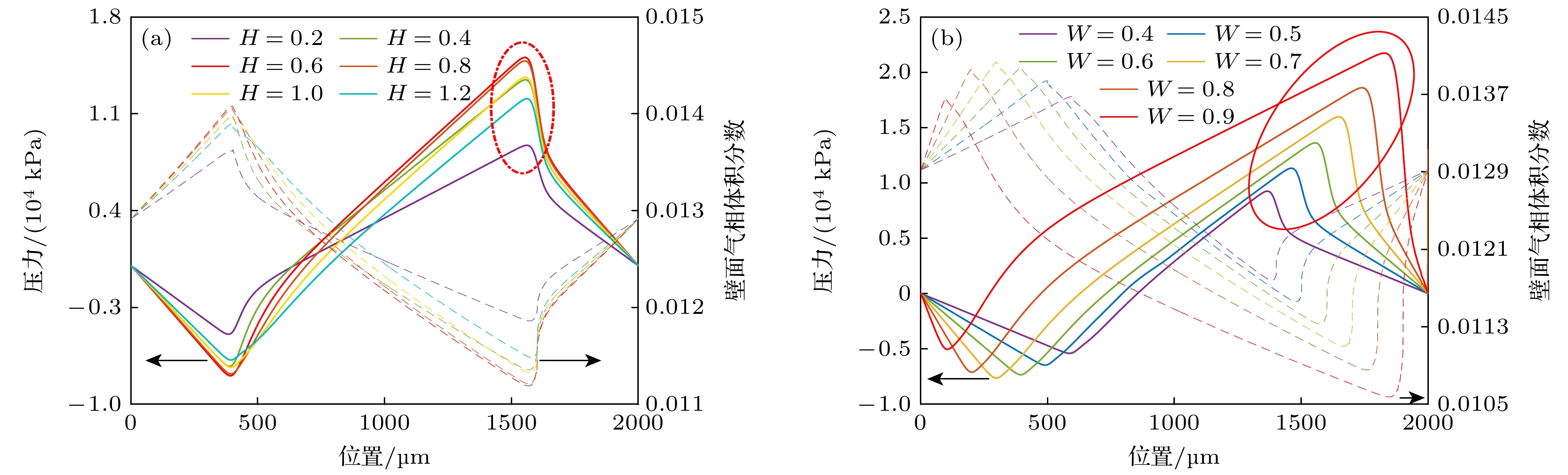
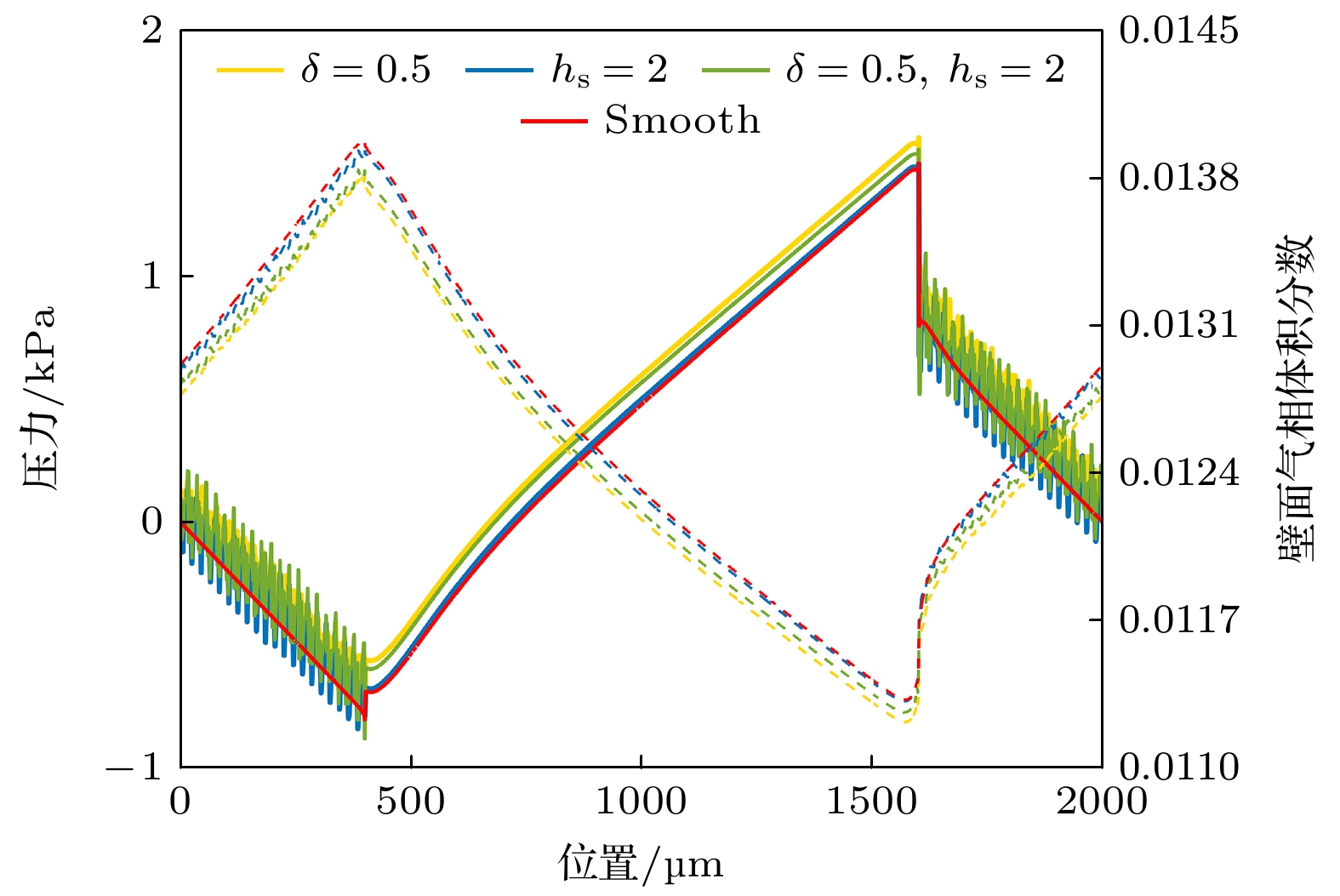
随着表面精密加工技术与润滑减摩研究的发展, 利用表面织构化技术提升其表面减摩效果的研究已引起广泛关注, 但少有研究考虑摩擦副表面粗糙形貌对润滑特性带来影响. 本研究采用计算流体动力学(CFD)模拟方法, 建立了矩形织构模型, 并在其表面计入粗糙峰结构, 讨论水润滑条件下不同粗糙峰结构模型润滑特性变化规律. 结果表明: 调节微纳复合表面结构参数, 将改变润滑水膜承载力, 进而影响微纳复合结构表面的动压润滑效果. 此外, 织构内涡流生成导致涡量变化, 引起能量耗散并影响摩擦力. 对矩形织构模型, 适当的深度比( H= 0.6)可使其表面动压润滑效应达到最优; 而增大织构宽度比( W), 动压润滑效应增强. 在微织构表面引入高斯随机粗糙峰后, 当随机粗糙峰高度变化标准差 δ为0.5时, 承载力可提升44%, 摩擦系数降低30.9%. 若引入半正弦粗糙峰, 承载力和摩擦系数的变化范围均小于10%, 对润滑效果的影响不明显. 若同时引入高斯随机粗糙峰和半正弦粗糙峰, 承载力可提升42%, 摩擦系数下降31.1%, 即表面动压润滑效果提升也较为显著.With the development of surface precision machining technology and extensive studies on lubrication and friction reduction, the use of surface texture to reduce friction has attracted widespread attention, but few studies have considered the influence of surface roughness on lubrication characteristics. By employing the computational fluid dynamics (CFD) simulation method, the lubrication models with rectangular textures and the introduction of rough asperity structures at the same time are established. The effects of the corresponding structure parameters on the lubrication performance of textured and roughed surfaces are studied under water lubrication conditions. Our results suggest that the adjustment of geometric parameters on the micro-/nano-structured surfaces can influence the load-bearing capacity of the water lubrication film, thus affecting the hydrodynamic lubrication performance on the surface. In addition, the generation of vortex in the micro-textures can bring changes in vorticity, which causes energy dissipation and affects frictional forces. In the lubrication model with rectangular textures, optimal hydrodynamic lubrication performance is obtained under the appropriate depth ratio H= 0.6. Meanwhile, the corresponding lubrication performance can be enhanced by increasing the width ratio ( W) of surface texture. After introducing random asperity structures on the micro-textured surface with a standard deviation δ= 0.5, the bearing capacity is increased by 44%, and the friction coefficient is reduced by 30.9%. Moreover, the introduction of half-sine rough asperity structures can only result in relatively minor differences in the lubrication performance, i.e. the changes of bearing capacity and friction coefficient are less than 10%. However, the introduction of compound hierarchical structure consisting of random asperity structures and half-sine rough asperity structures can result in an increase in the corresponding bearing capacity by 42% and a reduction in the friction coefficient by 31.1%, which implies a significant enhancement in the hydrodynamic lubrication performance.
-
Keywords:
- micro-texture/
- roughness/
- hydrodynamic lubrication/
- computational fluid dynamics simulation
[1] [2] [3] [4] [5] [6] [7] [8] [9] [10] [11] [12] [13] [14] [15] [16] [17] [18] [19] [20] [21] [22] [23] [24] [25] [26] [27] [28] [29] [30] [31] [32] [33] [34] [35] [36] [37] [38] [39] [40] [41] [42] [43] [44] [45] [46] [47] [48] -
模型 T0 W H 模型Ⅰ (恒定宽度比W) 500/600 0.60 0.2/ 0.4/ 0.6/ 0.8 /1.0/ 1.2 模型Ⅱ (恒定深度比H) 400/500/600 0.50/ 0.55/ 0.60 /0.65/ 0.70 1.0 模型名称 微织构表面粗糙峰轮廓 函数变化参数 光滑表面
(Smooth)
δ= 0
hs= 0Gauss
δ= 0.25/0.5/0.75/1
hs= 0Sin
δ= 0
hs= 1/2/3/4/5
l= 3
i= 1Sin+Gauss
δ= 0.25/0.5/0.75/1
hs= 1/2/3/4/5
l= 3
i= 3 -
[1] [2] [3] [4] [5] [6] [7] [8] [9] [10] [11] [12] [13] [14] [15] [16] [17] [18] [19] [20] [21] [22] [23] [24] [25] [26] [27] [28] [29] [30] [31] [32] [33] [34] [35] [36] [37] [38] [39] [40] [41] [42] [43] [44] [45] [46] [47] [48]
计量
- 文章访问数:826
- PDF下载量:34
- 被引次数:0












下载:







