搜索

x

留言板

姓名
邮箱
手机号码
标题
留言内容
验证码

downloadPDF
引用本文:
Citation:

    尹超男, 郑来运, 张超男, 李许龙, 赵秉新

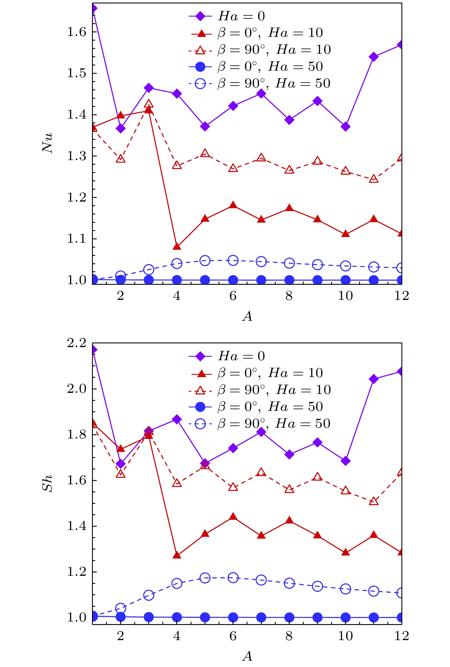
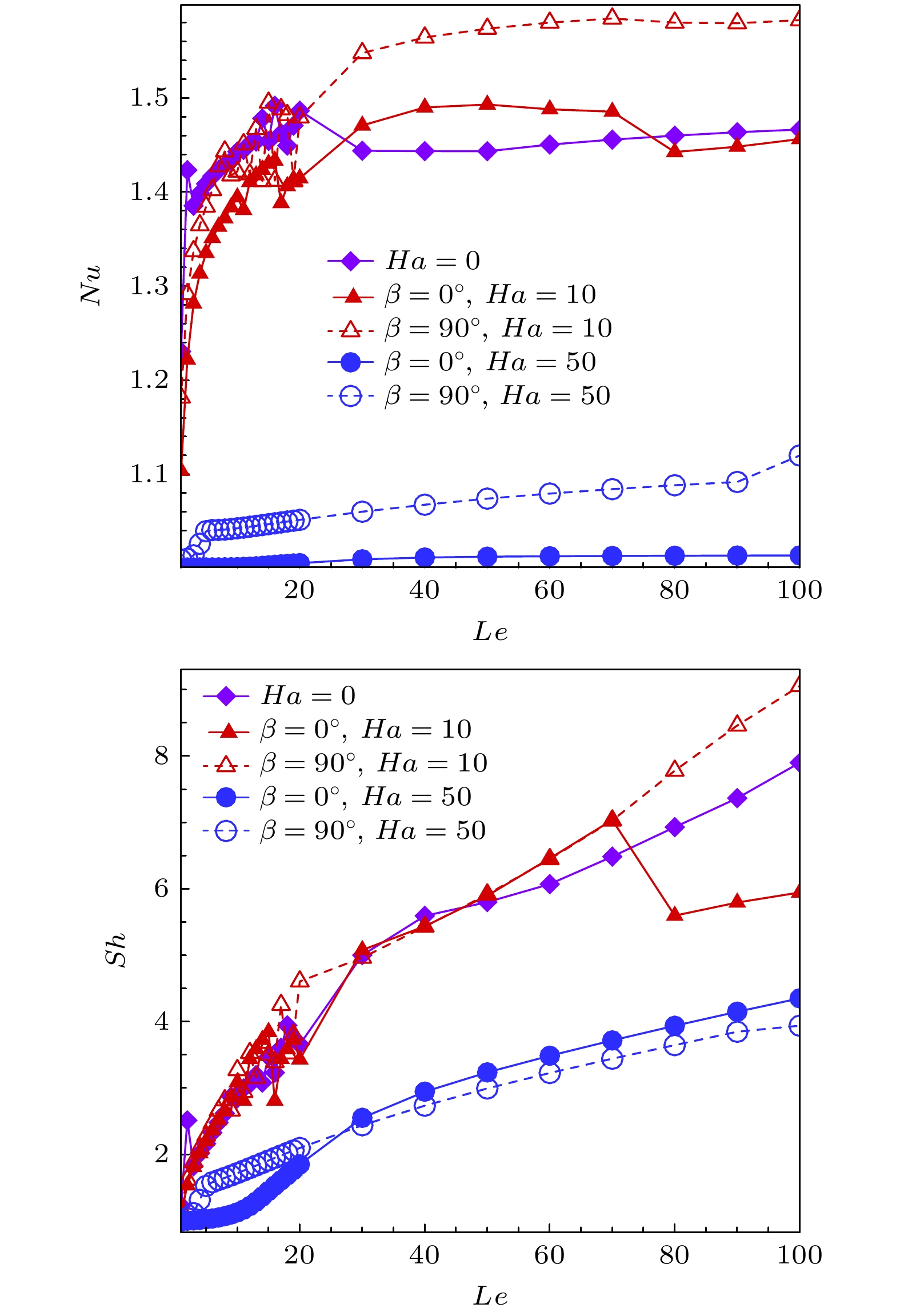
    Effects of magnetic field, fluid properties, and geometric parameters on double-diffusive convection of liquid metals

    Yin Chao-Nan, Zheng Lai-Yun, Zhang Chao-Nan, Li Xu-Long, Zhao Bing-Xin
    PDF
    HTML
    导出引用
    计量
    • 文章访问数:1249
    • PDF下载量:29
    • 被引次数:0
    出版历程
    • 收稿日期:2024-01-14
    • 修回日期:2024-03-02
    • 上网日期:2024-04-11
    • 刊出日期:2024-06-05

      返回文章
      返回