-
倾斜封闭腔内对流换热问题是非线性非平衡系统中研究的热点问题之一. 本文采用高精度数值方法对倾斜方腔内流体热对流进行了直接数值模拟, 研究了腔体倾角在
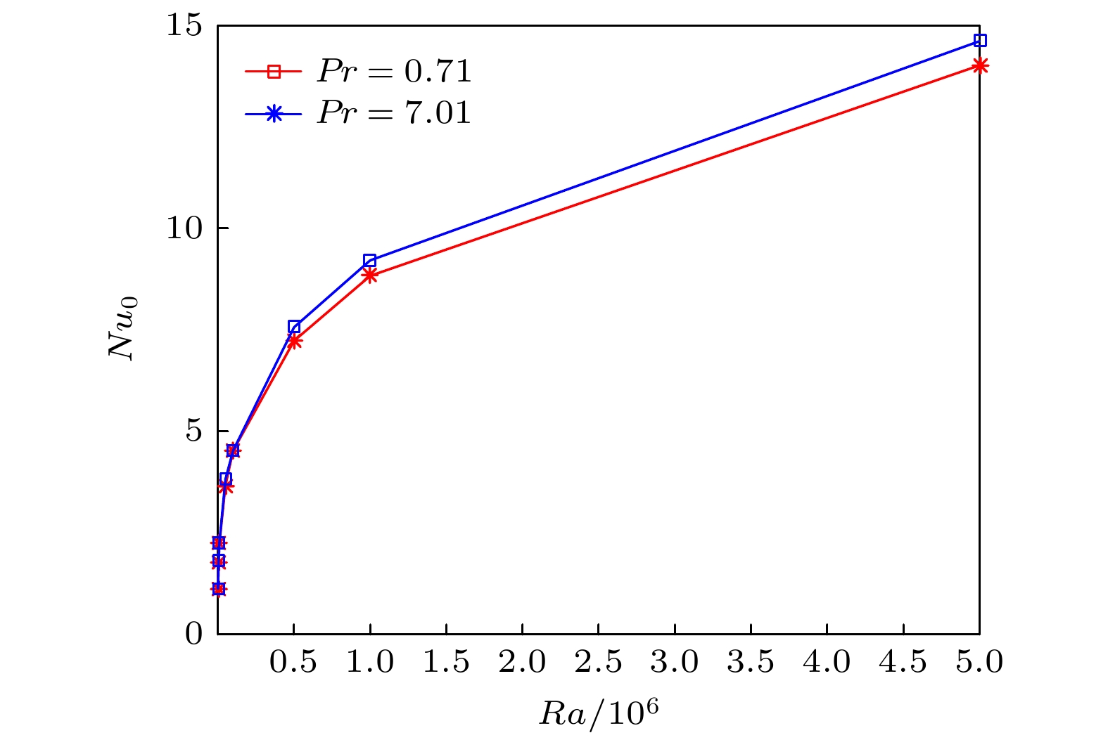
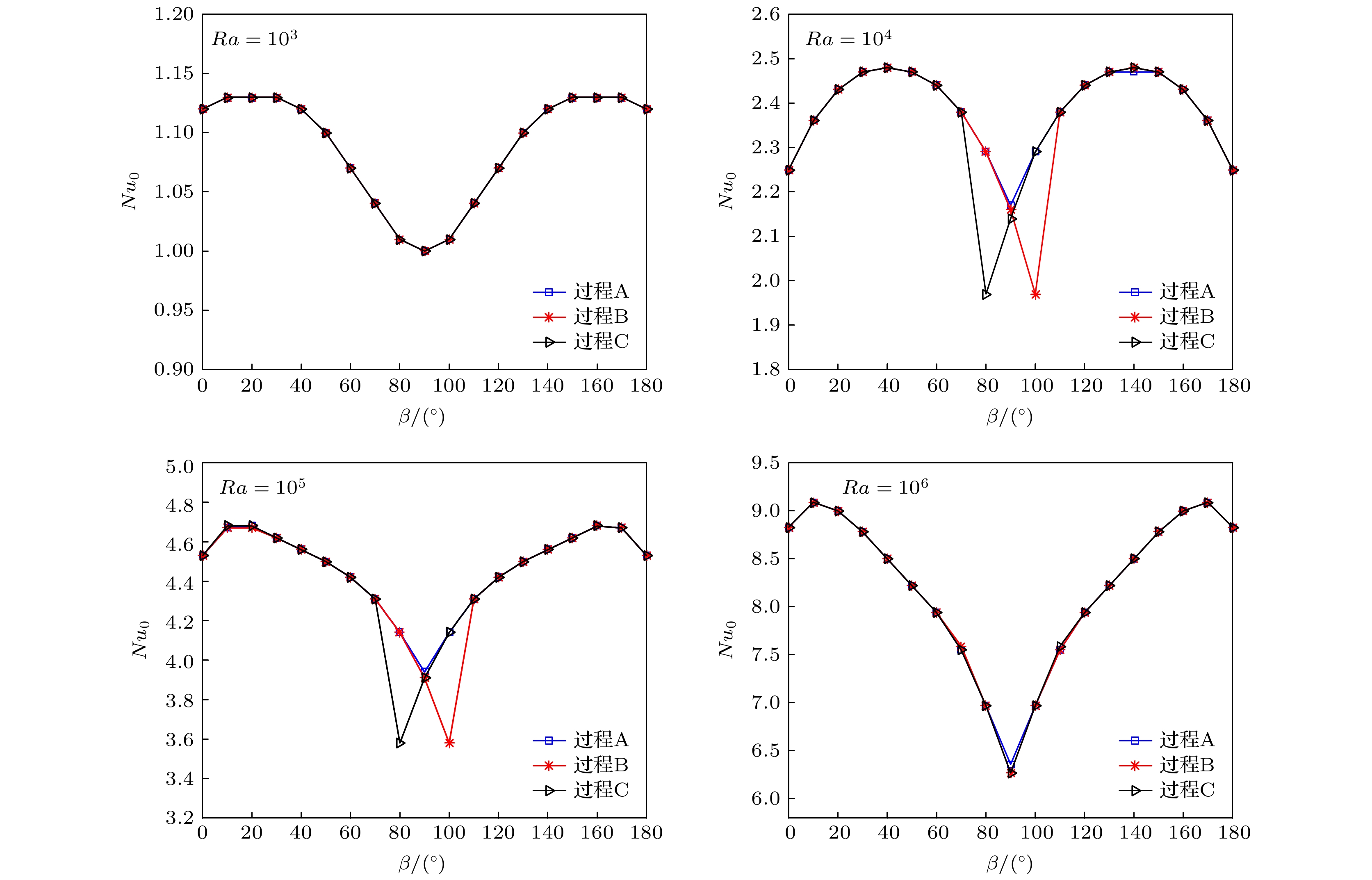
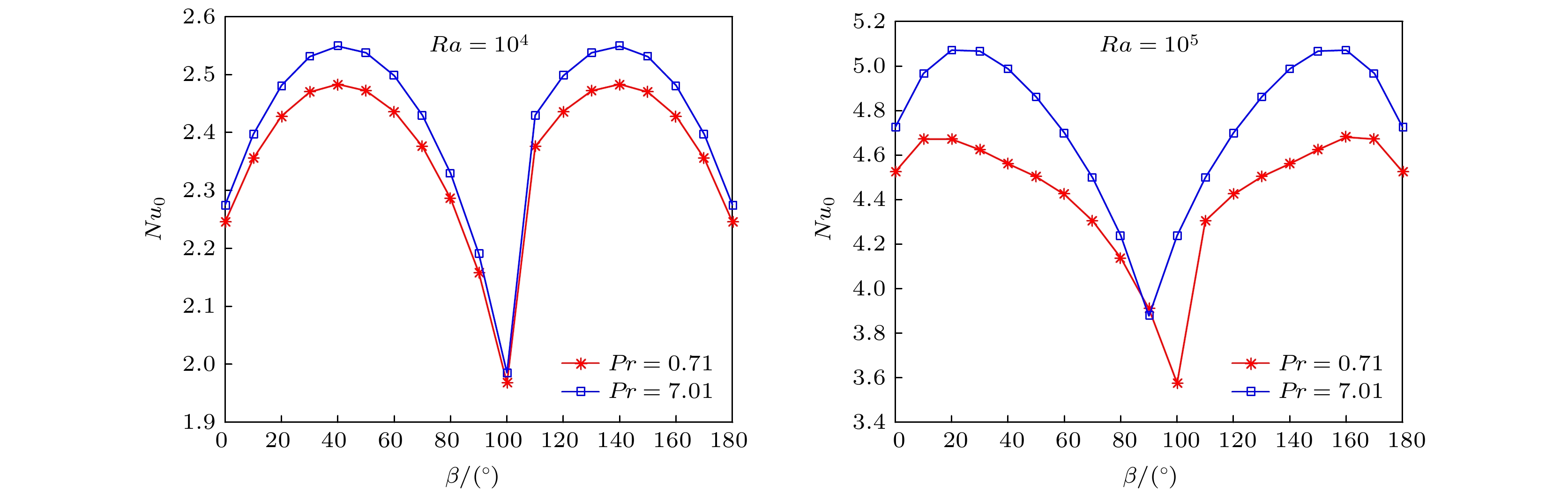
$0^\circ— 180^\circ$ 之间变化时, 倾角的不同变化过程对流场非线性演化、传热效率以及流动分岔的影响. 所考虑的Rayleigh数范围为$10^3— 10^6$ . 结果表明: 表征传热效率的Nusselt 数对Rayleigh数、Prandtl数及倾斜角度均具有较强依赖性, 在较高Rayleigh数时, Nusselt数会在80°和100°附近产生较大幅度的变化; 高Rayleigh 数下流场及温度场的演变更为复杂, 腔体内存在1—3个对流强度不等的涡卷; 低Rayleigh数下腔体倾角接近90°时流动状态为热传导状态. 当腔体倾角介于$70^\circ— 110^\circ$ 之间时, 在Rayleigh数$Ra\in(4949,314721)$ 内存在解的两条稳定分支.Heat transfer of natural convection in inclined cavities is one of the hot research topics in nonlinear non-equilibrium systems. In this paper, direct numerical simulations of natural convection in an inclined square cavity are carried out by using a high-accuracy numerical method. The effects of the different trends of inclination angle in a range of 0°–180° on the nonlinear evolution of flow field, heat transfer efficiency, and bifurcation are investigated. The Rayleigh number varies in a range from 10 3to 10 6. The results show that the heat transfer efficiency characterized by Nusselt number is highly dependent on the Rayleigh number, Prandtl number, and the inclination angle. When the Rayleigh number is high, the Nusselt number will have a small jump near the inclination angle in a range of 80°–100°. The evolution of the flow field and temperature field are more complicated at high Rayleigh number. There are one to three vortices of different intensities in the cavity. At low Rayleigh number and inclination angle of the cavity being close to 90°, the flow state is composed mainly of heat conduction state. In addition, it is found that there exist two stable branches of solutions in a range of Rayleigh number (4949, 314721) when the inclination angle is in the interval of (70°, 110°).-
Keywords:
- thermal convection/
- direct numerical simulation/
- bifurcation/
- inclination angle/
- high-accuracy
[1] [2] [3] [4] [5] [6] [7] [8] [9] [10] [11] [12] [13] [14] [15] [16] [17] [18] [19] [20] [21] [22] [23] [24] [25] [26] [27] [28] [29] [30] [31] [32] [33] [34] [35] -
文献 $ \left| \psi \right|_{\rm {max}} $ $ \left| {\psi _{\rm {mid}} } \right| $ $ Nu_{0} $ $ \overline{Nu} $ 文献 $ \left| \psi \right|_{\rm {max}} $ $ \left| {\psi _{\rm {mid}} } \right| $ $ Nu_{0} $ $ \overline{Nu} $ $ Ra=10^{5} $ $ Ra=10^{6} $ 本文 9.615 9.115 4.520 4.522 本文 16.807 16.383 8.815 8.827 [32] 9.612 9.111 4.509 4.519 [32] 16.750 16.320 8.817 8.800 [33] — 9.123 4.512 4.522 [33] — 16.420 8.763 8.829 [34] 9.6173 9.1161 4.5195 — [34] 16.8107 16.3863 8.8216 — [35] 9.6202 9.1194 4.5214 — [35] 16.8411 16.4183 8.8091 — 网格尺寸 $\left| \psi \right|_{\rm {max}}$ 误差/% $\left| {\psi _{\rm {mid}} } \right|$ 误差/% $ Nu_0 $ 误差/% $ 31\times31 $ 16.460 2.086 16.118 1.631 9.293 5.301 $ 61\times61 $ 16.830 0.119 16.410 0.148 8.798 0.315 $ 91\times91 $ 16.802 0.051 16.385 0.002 8.786 0.445 $ 121\times121 $ 16.807 0.017 16.383 0.014 8.815 0.119 $ 241\times241 $ 16.810 — 16.386 — 8.825 — 网格尺寸 $\left| \psi \right|_{\rm {max}}$ 误差/% $\left| {\psi _{\rm {mid}} } \right|$ 误差/% $ Nu_0 $ 误差/% $ 31\times31 $ 32.400 3.276 27.974 3.306 9.077 9.345 $ 61\times61 $ 33.252 0.734 28.707 0.771 8.332 0.381 $ 91\times91 $ 33.438 0.176 28.874 0.195 8.301 0.001 $ 121\times121 $ 33.477 0.062 28.911 0.068 8.304 0.039 $ 241\times241 $ 33.498 — 28.931 — 8.301 — 网格尺寸 $\left| \psi \right|_{\rm {max}}$ 误差/% $\left| {\psi _{\rm {mid}} } \right|$ 误差/% $ Nu_0 $ 误差/% $ 31\times31 $ 18.625 5.075 17.873 5.021 9.548 3.514 $ 61\times61 $ 19.634 0.067 18.838 0.110 9.195 0.310 $ 91\times91 $ 19.609 0.059 18.814 0.020 9.206 0.193 $ 121\times121 $ 19.612 0.044 18.812 0.029 9.221 0.037 $ 241\times241 $ 19.621 — 18.818 — 9.224 — 网格尺寸 $\left| \psi \right|_{\rm {max}}$ 误差 $\left| {\psi _{\rm {mid}} } \right|$ 误差 $ Nu_0 $ 误差 $ {\rm{31}} \times {\rm{31}} $ 38.233 6.689% 34.649 6.739% 9.791 7.723% $ {\rm{61}} \times {\rm{61}} $ 40.665 0.752% 36.858 0.793% 9.114 0.271% $ {\rm{91}} \times {\rm{91}} $ 40.902 0.174% 37.090 0.167% 9.089 0.001% $ {\rm{121}} \times {\rm{121}} $ 40.950 0.057% 37.131 0.058% 9.092 0.025% $ {\rm{241}} \times {\rm{241}} $ 40.973 — 37.152 — 9.089 — -
[1] [2] [3] [4] [5] [6] [7] [8] [9] [10] [11] [12] [13] [14] [15] [16] [17] [18] [19] [20] [21] [22] [23] [24] [25] [26] [27] [28] [29] [30] [31] [32] [33] [34] [35]
计量
- 文章访问数:3976
- PDF下载量:49
- 被引次数:0












下载:










