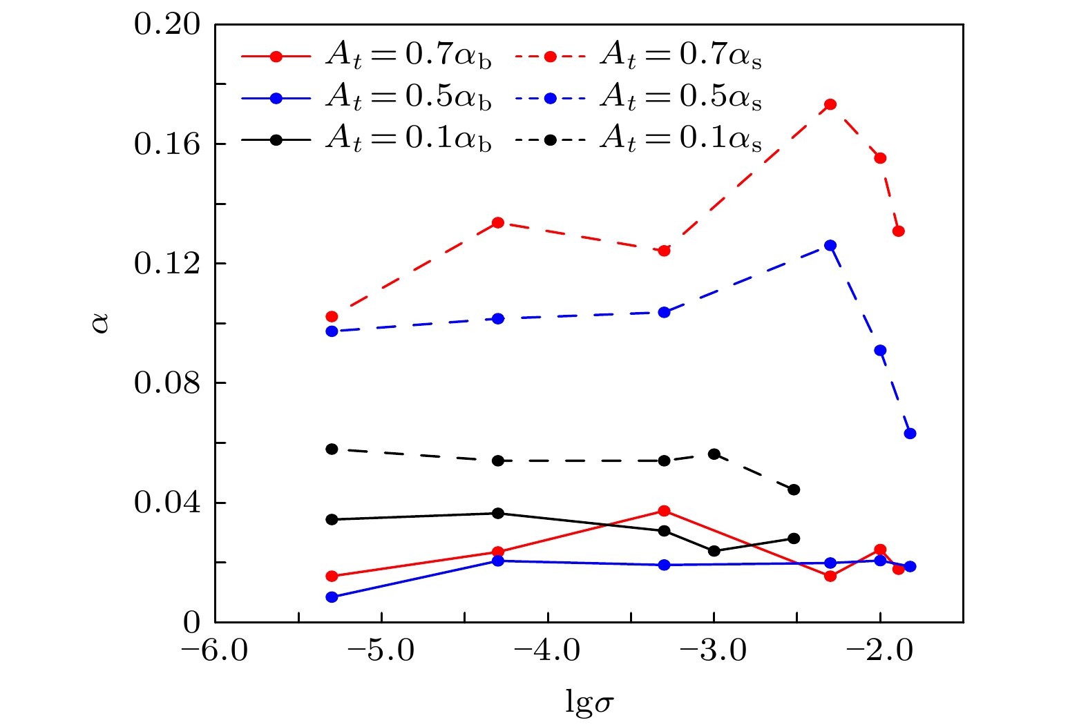
In this paper, we numerically investigate the late-time growth of high-Reynolds-number single-mode Rayleigh-Taylor instability in a long pipe by using an advanced phase-field lattice Boltzmann multiphase method. We mainly analyze the influence of surface tension on interfacial dynamic behavior and the development of the bubble front and spike front. The numerical experiments indicate that increasing surface tension can significantly reduce the complexity of formed interfacial structure and also prevents the breakup of phase interfaces. The interface patterns in the instability process cannot always preserve the symmetric property under the extremely small surface tension, but they do maintain the symmetries with respect to the middle line as the surface tension is increased. We also report that the bubble amplitude first increases then decreases with the surface tension. There are no obvious differences between the curves of spike amplitudes for low surface tensions. However, when the surface tension increases to a critical value, it can slow down the spike growth significantly. When the surface tension is lower than the critical value, the development of the high-Reynolds-number Rayleigh-Taylor instability can be divided into four different stages, i.e. the linear growth, saturated velocity growth, reacceleration, and chaotic mixing. The bubble and spike velocities at the second stage show good agreement with those from the modified potential flow theory that takes the surface tension effect into account. After that, the bubble front and spike front are accelerated due to the formation of Kelvin-Helmholtz vortices in the interfacial region. At the late time, the bubble velocity and spike velocity become unstable and slightly fluctuate over time. To determine the nature of the late-time growth, we also measure the bubble and spike normalized accelerations at various interfacial tensions and Atwood numbers. It is found that both the spike and bubble growth rates first increase then decrease with the surface tension in general. Finally, we deduce a theoretical formula for the critical surface tension, below which the Rayleigh-Taylor instability takes place and above which tension it does not occur. It is shown that the critical surface tension increases with the Atwood number and also the numerical predictions by the lattice Boltzmann method are also in accord well with the theoretical results.