Rayleigh number (
Ra) dependence in Rayleigh-Bénard (RB) convection has been studied by many investigators, but the reported power-law scaling expressions are different in these researches. Previous studies have found that when
Rareaches a critical value, the flow patterns change and a transition appears in the scaling of
Nu(
Ra) (where
Nurepresents Nusselt number) and
Re(
Ra) (where
Redenotes Reynold number). The Grossmann-Lohse(GL) model divides the
Ra-Pr(where
Prrefers to Prandtl number) phase into several regions to predict the scaling expressions of
Nu(
Ra,Pr) and
Re(
Ra,Pr), indicating that the thermal dissipation behavior and kinetic dissipation behaviors are diverse in the different regions. Moreover, some physical quantities also show a transition and some structures in the flow fields, such as large scale circulation and boundary layer, change when
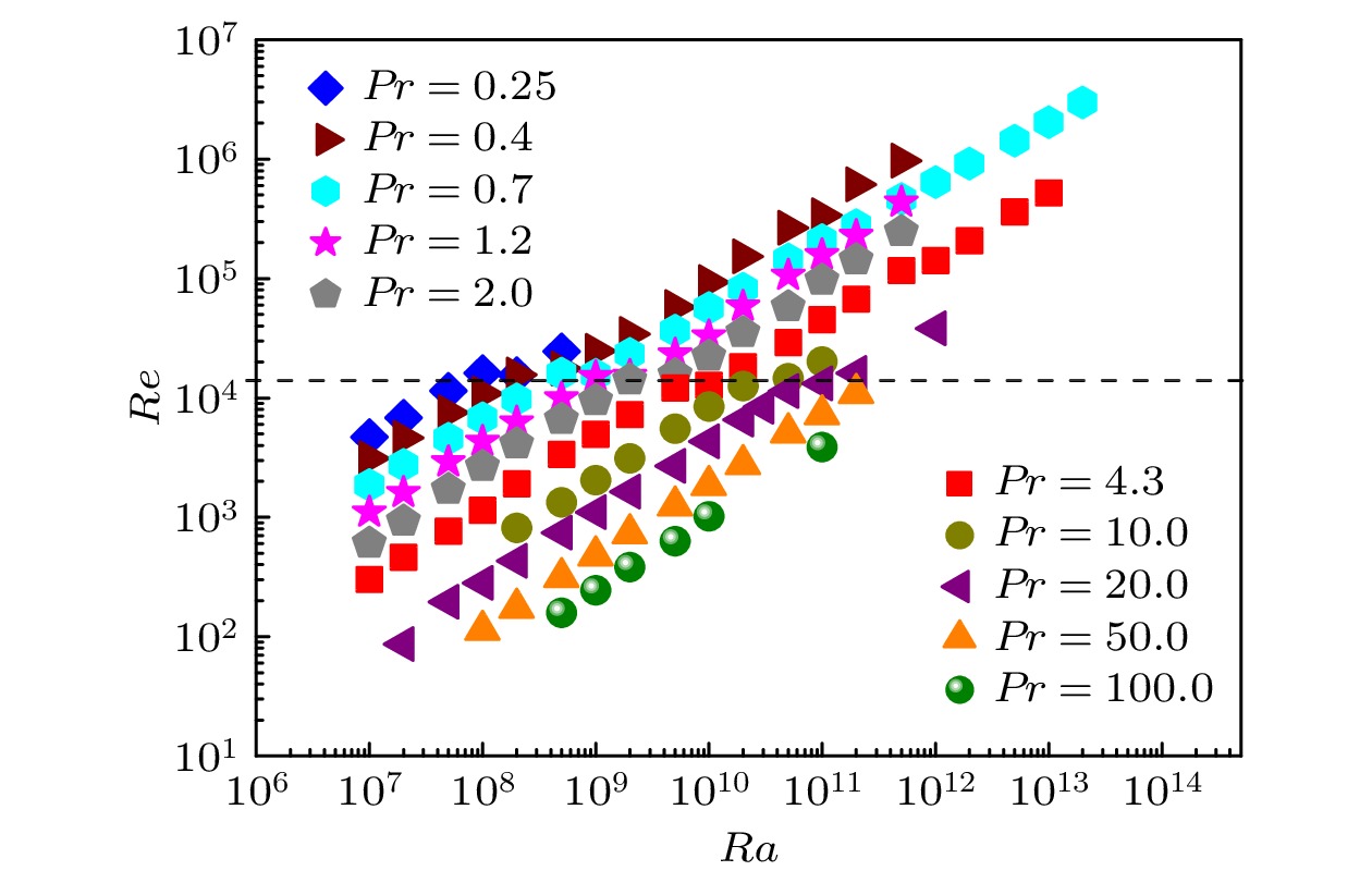
Raincreases. In this work, we conduct a series of numerical simulations in two-dimensional RB convection with
Raranging from 10
7to 10
12and Pr ranging from 0.25 to 100, which is unprecedentedly wide. The relationship between the maximum velocity and
Rais investigated, and an unexpected drop happens when
Rareaches a critical value
Ra
c, and
Ra
cincreases with Pr increasing. The
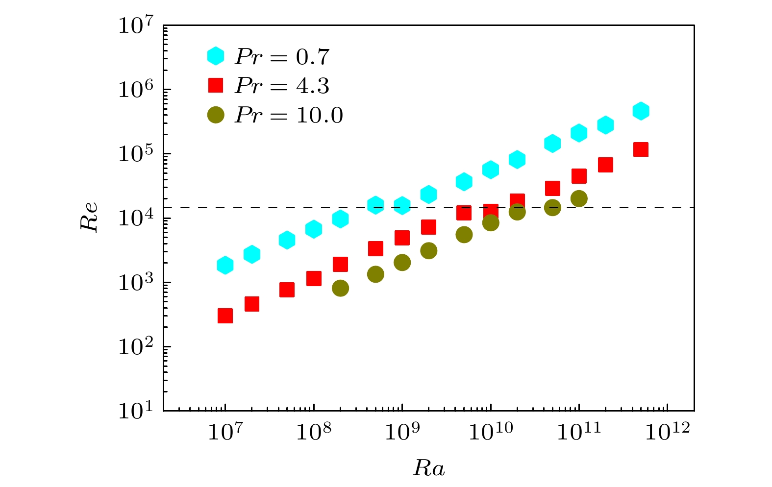
Renumber, which is defined as a maximum velocity, also shows a plateau at
Ra
c. Before and after
Ra
c, the
Rascaling exponent of
Reremains 0.55, which gets smaller at very high
Ra. Specially, under different
Prvalues, the plateau appears at
Re
c≈ 1.4 × 10
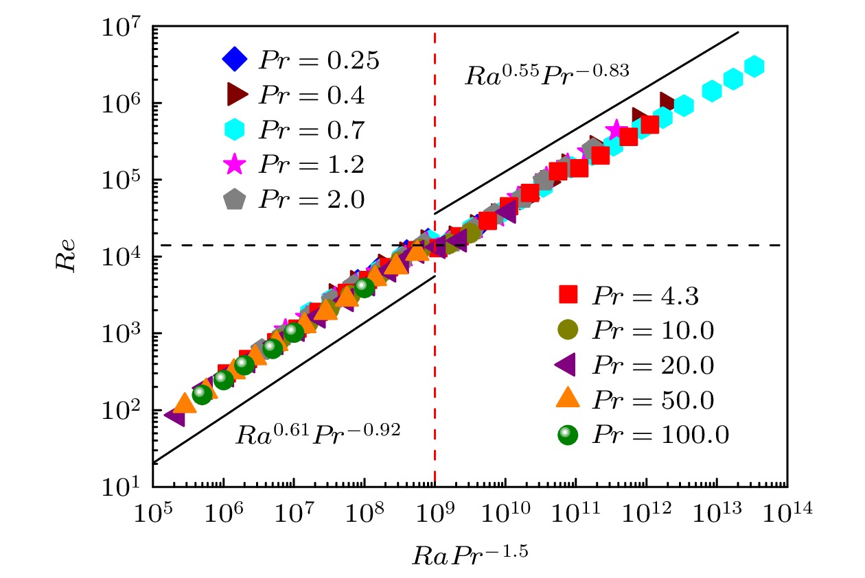
4. In addition, a scaling
Ra
c~
Pr
1.5is found and the
Rais compensated for by
Pr
–1.5to disscuss the relationship between
Reand
RaPr
–1.5. It is interesting that the
Re(
RaPr
–1.5) expressons at different
Prvalues well coincide, indicating a self-similarity of
Re(
RaPr
–1.5). The plateau appears at
RaPr
–1.5= 1 × 10
9, meaning that
Re
cwould reach 1.4 × 10
4at any
Prvalue when
RaPr
–1.5= 1 × 10
9. To further investigate the plateau of
Re, the flow patterns are compared with time-averaged velocity fields and we find that the large scale circulation (LSC) changes from ellipse to circle at
Ra
c. In other words, the flow pattern will change into circular LSC at
Re
cat different
Prvalues, and
Re
cis a constant as mentioned above. This finding can help us to distinguish the two flow patterns with given
Raand
Pr, and to predict the
Rescaling in an appropriate range of
Rawith different
Prvalues.