In order to provide constraint to the number of inversion parameters, sound speed profile is often modeled by empirical orthogonal functions (EOFs). However, the EOF method, which is dependent on the sample data, is often difficult to apply due to insufficient real-time
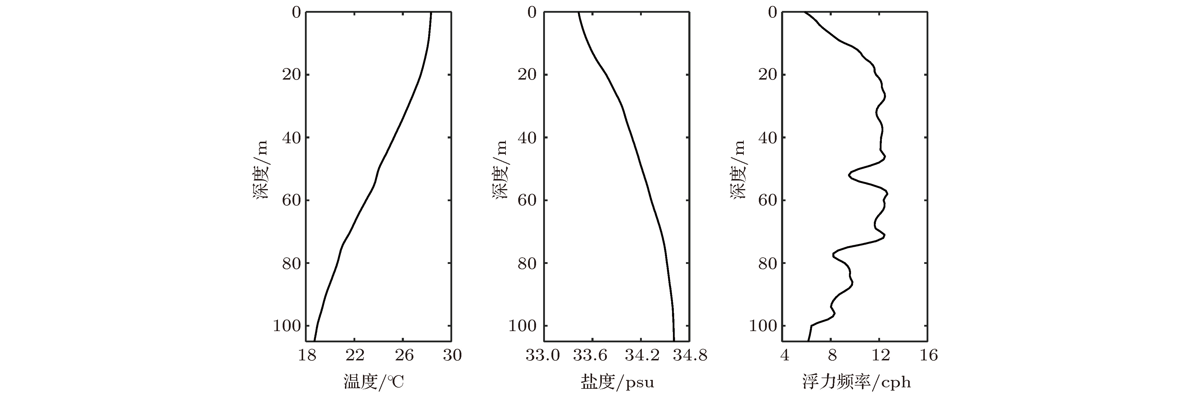
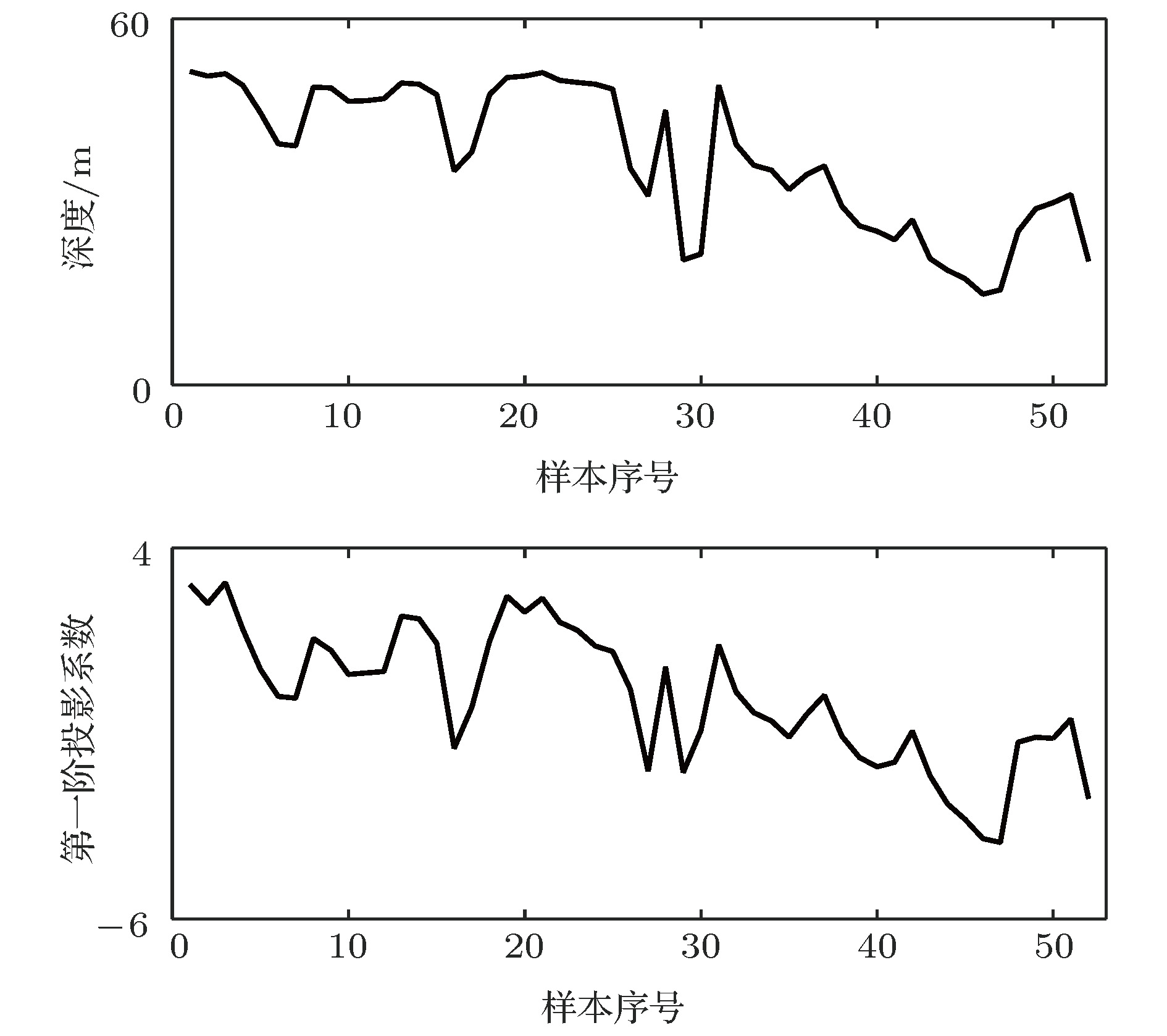
in-situmeasurements. In this paper, we present a novel basis for reconstructing the sound speed profile, which can be obtained by using historical data without real-time sample. By deducing the dynamic equations and the state function of water particle, the hydrodynamic mode bases (HMBs) can be calculated from historical data without real-time in-situ measurement, and a method of constructing the sound speed profile is established by using the dynamic characteristics of seawater. The use of the World Ocean Atlas 2013 (WOA13) can obtain the seasonal profiles of temperature and salinity, and then the HMB which represents the dynamic characteristic of internal tides is obtained and analyzed. Unlike EOF, the HMB and its projection coefficients are directly related to the sea dynamic features and have a more explicit physical meaning. According to the orthogonality analysis of hydrodynamic mode, the first-order coefficient can be used to describe the depth change of sound speed iso-lines and the second-order coefficient can be used to describe the change of sound speed gradient. Based on the conductance-temperature-depth profiles and broadband data from underwater explosion collected in the East China Sea experiment of the Asian Seas International Acoustic Experiment, the HMB is tested and compared with the EOF in the sound speed profile reconstruction and matched field tomography. The results show that the sound speed profile in shallow water area can be expressed by the HMB with proper precision. By means of the conventional matched field tomography, the valid sound speed profile can also be obtained in the form of HMB coefficients. The result of transmission loss prediction and tomography from HMB are as good as those from EOF, while the HMB has less dependent on real-time
in-situmeasurement. The HMB is easy to obtain and closely related to the physical characteristics of seawater, it can be used as an efficient alternative to EOF for monitoring the marine dynamic phenomena in sea areas with insufficient real-time in-situ measurement.