The effects of Al content on structure and elastic properties of Al
xCrFeNiTi (
x= 0, 0.5, 1, 2, 3, 4), and elastic properties varying with solid solution characteristic parameters of alloys are investigated in this work to explore the relationships between compositions and elastic properties of Al
xCrFeNiTi high entropy alloys. The results show that the valence electron concentrations of Al
xCrFeNiTi alloys decrease gradually with the increase of Al content, and the enthalpy formed by alloy with body center cubic structure is lower than that with face center cubic structure when Al content of the alloy is the same. It implies that Al
xCrFeNiTi alloy will form a single solid solution with body centered cubic structure by referring to valence electron concentration theory and formation enthalpy calculation. The lattice constants and formation capacities of Al
xCrFeNiTi alloys increase with Al content rising, while the structure stability of alloys presents a gradual downward trend. The atomic size difference shows the largest value when all elements in the alloy have equal molar ratio, indicating that the lattice distortion of the alloy exhibits the highest level at this time. The total state of density of Al
xCrFeNiTi alloy moves to a higher energy level as the content of Al increases, which is an obvious characteristic of the declining structural stability of alloys. It is consistent with the result of cohesive energy. Al and Ti both lose electrons after bonding, while Ni and Fe both gain electrons. The bonding behavior between atoms shows not only metal bonding but also somewhat covalent and ionic bonding characteristics by analyzing the electron density difference and atomic Mulliken populations of Al
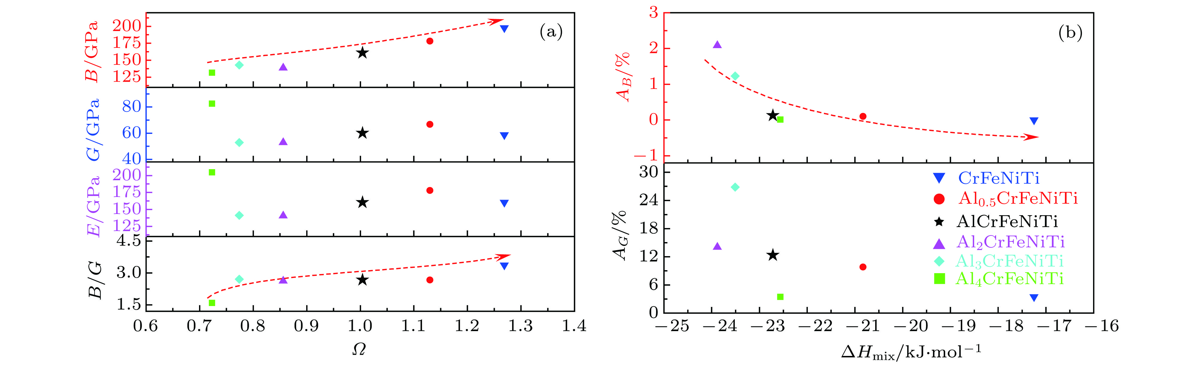
xCrFeNiTi alloys. The elastic modulus and toughness of alloy will be improved with the increase of the ratio of thermodynamic entropy to enthalpy (
$\varOmega $
), and the anisotropy in compression direction of alloy decreases obviously with the rise of mixing enthalpy (Δ
H
mix). The solid solution characteristics including
$\varOmega $
and Δ
H
mixwill be used as important parameters for the compositions’ design for Al
xCrFeNiTi alloy.