-
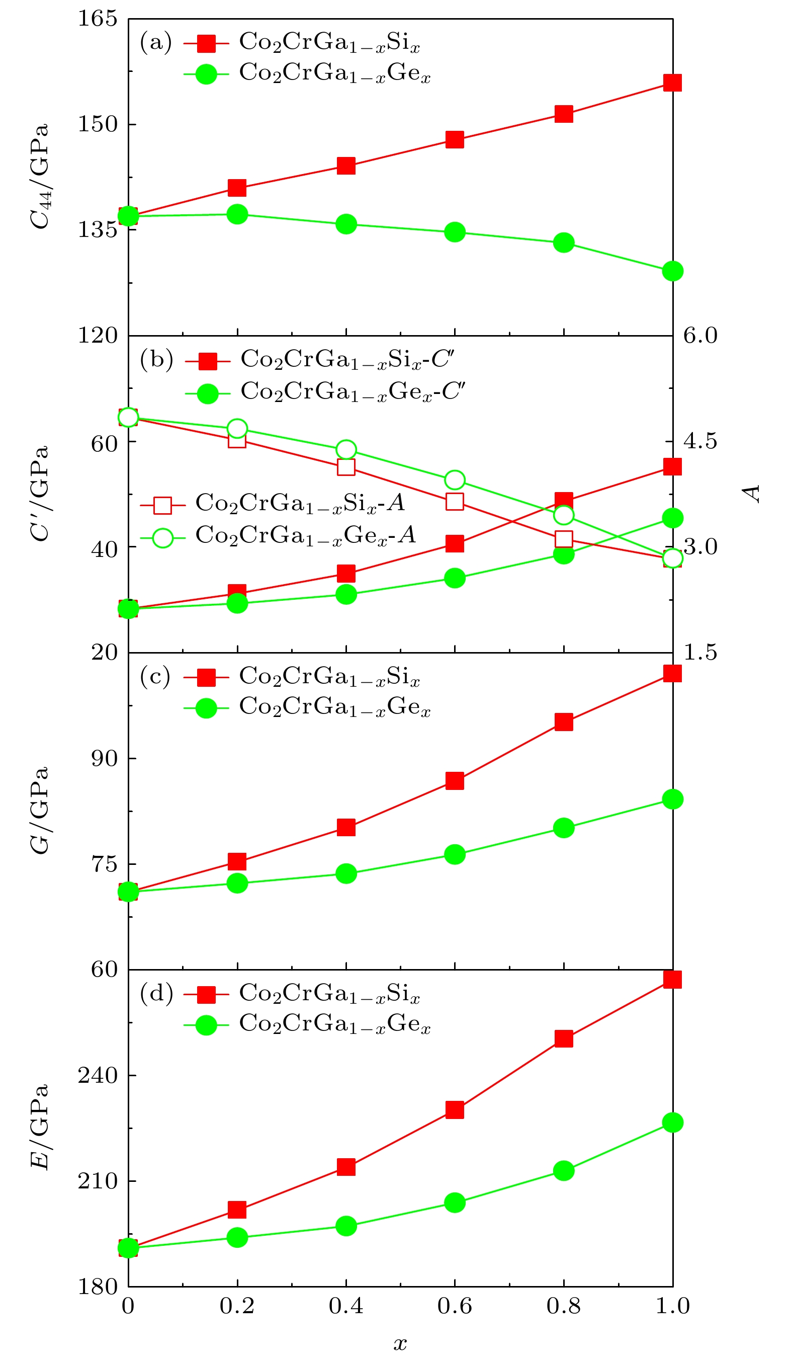
采用确切的Muffin-Tin轨道结合相干势近似方法, 本文系统计算研究了0 K下, 磁无序及合金化效应影响Co 2Cr Z( Z= Ga, Si, Ge)合金L2 1和D0 22相稳定性的规律性及物理机理. 研究结果表明, 0 K下, L2 1相合金晶格常数、体弹性模量、磁矩和弹性常数均与理论和实验值基本吻合; 铁磁下合金具有L2 1结构, 随磁无序度( y)的增大, L2 1相能量相对逐渐增大, 最终由低于转变到高于D0 22相, 因此, 当 y≥ 0.1(0.2)时, Z= Si和Ge( Z= Ga)的合金具有D0 22相稳定结构; 随 y的增大, L2 1相的四方剪切弹性模量( C '= ( C 11– C 12)/2)还不断软化, 表明无论在能量还是力学角度上, 磁无序都有利于3种合金发生四方晶格变形; 磁无序影响L2 1和D0 22相相对稳定性的电子结构机理归因于Jahn-Teller不稳定性效应; 对于L2 1相Co 2CrGa 1–xSi x和Co 2CrGa 1–xGe x四元铁磁合金, 随 x的增大, 总磁矩均按照Slater-Pauling定律单调增大, C '同时也都变硬, 表明Si和Ge掺杂均有利于增强Co 2CrGa合金L2 1相的力学稳定性, 从而抑制了其四方晶格变形的发生.Using the exact Muffin-Tin orbital method combined with the coherent potential approximation, the effects of magnetic disordering and alloying effects on the phase stability of L2 1- and D0 22-Co 2Cr Z( Z= Ga, Si, Ge) alloys are systematically investigated at 0 K in the present work. It is shown that at 0 K, the lattice parameter, bulk modulus, magnetic moments, and elastic constants of the studied L2 1alloys are in line with the available theoretical and experimental data. In the ferromagnetic state, these alloys possess L2 1structure; with the magnetic disordering degree ( y) increasing, the energy of the phase increases relatively and finally turns from lower than D0 22phase to higher than D0 22phase. As a result, when y≥ 0.1 (0.2), then Z= Si and Ge ( Z= Ga) alloys are stabilized by the D0 22phase. With yincreasing, the tetragonal shear elastic modulus ( C '= ( C 11– C 12)/2) also turns soft, indicating that the magnetic disorderingis conducive to the lattice tetragonal deformation in the three alloys from both the energetic view and the mechanical view. The electronic origination of the magnetic disordering effect on the stabilities of the L2 1and D0 22phases can be ascribed to the Jahn-Teller instability effect. In the FM L2 1-Co 2CrGa 1–xSi xand L2 1-Co 2CrGa 1–xGe xquaternary alloys, with xincreasing, the total magnetic moment increases monotonically according to the Slater-Pauling rule, and C 'also stiffens, reflecting that the adding of Si and Ge can promote the mechanical stability of L2 1-Co 2CrGa alloy, thereby depressing the lattice tetragonal deformation.
[1] [2] [3] [4] [5] [6] [7] [8] [9] [10] [11] [12] [13] [14] [15] [16] [17] [18] [19] [20] [21] [22] [23] [24] [25] [26] [27] [28] [29] [30] [31] [32] [33] [34] [35] [36] [37] [38] [39] [40] [41] [42] [43] -
Alloys Phases Methods a/Å B/GPa Co2CrGa FM L21 EMTO 5.736 203.5 The.[12] 5.802 208.8 The.[33] 5.797 204.8 The.[34] 5.720 — Exp.[35] 5.760 — PM L21 EMTO 5.749 177.8 Co2CrSi FM L21 EMTO 5.651 234.3 The.[36] 5.630 227.0 Exp.[37] 5.650 — PM L21 EMTO 5.652 202.4 Co2CrGe FM L21 EMTO 5.755 207.7 The.[38] 5.770 250.4 The.[33] 5.754 227.1 PM L21 EMTO 5.764 180.4 Alloys Methods C11/GPa C12/GPa C44/GPa C'/GPa A G/GPa E/GPa Co2CrGa EMTO 241.27 184.65 136.96 28.31 4.84 71.07 190.99 FPLAPW[42] 233.00 182.80 136.80 25.10 5.45 67.30 — Co2CrSi EMTO 306.87 196.56 155.88 55.15 2.83 102.04 267.17 FPLAPW[36] 297 193 145 52 — — — Co2CrGe EMTO 268.28 177.35 128.81 45.47 2.83 54.06 147.74 -
[1] [2] [3] [4] [5] [6] [7] [8] [9] [10] [11] [12] [13] [14] [15] [16] [17] [18] [19] [20] [21] [22] [23] [24] [25] [26] [27] [28] [29] [30] [31] [32] [33] [34] [35] [36] [37] [38] [39] [40] [41] [42] [43]
计量
- 文章访问数:4739
- PDF下载量:88
- 被引次数:0












下载:






