特邀综述
特邀综述
2022, 71 (10): 108801.
doi:10.7498/aps.71.20220291
摘要 +
钠离子电池近年来在大规模储能领域展现出优异的发展和应用前景. 由于钠离子层状过渡金属氧化物正极材料(NaxTMO2)具有比容量高、容易制备、电压可调和成本低的优势, 在学术界和产业界得到了广泛的关注与研究. 但较大的Na+半径和较强的Na+-Na+静电排斥作用, 导致NaxTMO2具有多种结构类型和复杂的结构转变, 以及由此形成了多重结构-性能关系. 本文详细介绍了NaxTMO2的结构类型, 综述了在Na+脱出/嵌入过程中引发的结构演变, 旨在揭示钠离子层状过渡金属氧化物正极材料结构转变机理及其对电化学性能的影响, 最后讨论了现存的挑战并提出了改进策略.
专题: 二维材料的宏观制备
编辑推荐
2022, 71 (10): 106801.
doi:10.7498/aps.71.20212407
摘要 +
由于量子受限效应, 二维材料表现出很多三维材料所不具备的优异电学、光学、热学以及力学性能, 为研究人员所关注. 材料的优异物性离不开高质量材料的制备, 超高真空环境可以减少杂质分子的污染与影响, 提高二维材料的质量与性能. 本文介绍基于超高真空环境的新型二维原子晶体材料的原位制备方法, 包括利用分子束外延构筑新型二维材料、利用石墨烯插层构筑新型二维原子晶体材料异质结构以及利用扫描探针原位操纵构筑二维材料异质结构三大类. 文章回顾利用这三类方法构筑的二维材料及其物理化学性质, 比较三种方法各自的优势与局限性, 对未来二维材料制备提供一定的指引.
编辑推荐
2022, 71 (10): 108102.
doi:10.7498/aps.71.20212447
摘要 +
二硫化钼(MoS2)作为一种新兴的二维半导体材料, 它具有天然原子级的厚度以及优异的光电特性和机械性能, 在未来超大规模集成电路中具有巨大的应用潜力. 本文综述了我们课题组在过去几年中在单层MoS2薄膜研究方面所取得的进展, 具体包括: 在MoS2薄膜制备方面, 通过氧辅助气相沉积方法, 实现了大尺寸MoS2单晶的可控生长; 通过独特的多源立式生长方法, 实现了4 in晶圆级大晶粒高定向的单层MoS2薄膜的外延生长, 样品显示出极高的光学和电学质量, 是目前国际上报道的质量最好的晶圆级MoS2样品; 通过调节MoS2薄膜的氧掺杂浓度, 可以实现对其电学和光学特性的有效调控. 在MoS2薄膜器件与应用方面, 利用制备的高质量单层MoS2薄膜, 实现了高性能柔性晶体管的集成, 这种大面积柔性逻辑和存储器件显示出优异的电学性能; 在集成多层场效应晶体管的基础上, 设计, 加工了垂直集成的多层全二维材料的多功能器件, 充分发挥器件的组合性能, 实现了“感-存-算”的一体化; 制备了全二维材料浮栅存储器, 实现了功耗低, 可靠性好, 且高度对称和线性度可调的突触权重输出的人工突触器件; 通过引入结构域边界提高MoS2基地面的电催化析氢反应(HER)催化活性等. 我们在MoS2薄膜的制备以及器件特性方面所取得的进展对于MoS2的基础和应用研究均具有指导意义.
编辑推荐
2022, 71 (10): 108103.
doi:10.7498/aps.71.20212399
摘要 +
随着芯片尺寸不断缩小, 短沟道效应、热效应日趋显著. 开发全新的量子材料体系以实现高性能芯片器件应用已成为当前科技发展的迫切需求. 二维材料作为一类重要的量子材料, 其天然具备原子层厚度和平面结构, 能够有效克服短沟道效应并兼容当代微纳加工工艺, 非常有望应用于新一代高性能器件方向. 与硅基芯片发展类似, 二维材料芯片级器件应用必须基于高质量、大尺寸的二维单晶材料制造. 然而, 由于二维材料的表界面特性, 现有体单晶制备技术不能完全适用于单原子层结构的二维单晶制造. 因此, 亟需发展新的制备策略以实现大尺寸、高质量的二维单晶原子制造. 有鉴于此, 本文重点综述表界面调控二维单晶大尺寸制备技术发展现状, 总结梳理了米级二维单晶原子制造过程中的3个关键调控方向, 即单畴生长调控、单晶衬底制备和多畴取向控制. 最后, 系统展望了大尺寸二维单晶在未来规模化芯片器件方向的潜在应用前景.
编辑推荐
2022, 71 (10): 108104.
doi:10.7498/aps.71.20220155
摘要 +
硼烯作为目前发现的最轻的二维材料, 表现出丰富的物理性质, 包括高柔韧性、光学透明性、高热导率、近一维自由电子气、狄拉克费米子、超导电性等. 然而, 由于体相硼的层间共价键结合力较强, 很难剥离出单层硼烯. 另外, 硼原子的缺电子属性, 使其化学性质比较活泼, 成键复杂, 导致硼烯有很多同素异形体. 长期以来, 关于硼烯的研究停留在理论探索方面, 硼烯的实验制备一直难以突破, 直到最近几年才由少数课题组成功制备, 至此关于硼烯的生长、结构以及电子性质研究打开了巨大的探索空间. 本文主要从实验方向, 系统综述了硼烯在不同衬底上的制备方法以及表现的不同结构相, 并讨论了其生长机理. 硼烯的制备为进一步扩展硼烯的物理性质提供研究平台, 为探索硼烯的纳米器件制备提供思路, 使得其在高能量储备、光电子器件、高检测灵敏度、柔性纳米器件等方面具有巨大的潜在应用前景.
编辑推荐
2022, 71 (10): 108201.
doi:10.7498/aps.71.20220030
摘要 +
自从2004年首次制备出石墨烯以来, 机械解理技术被广泛用于制备过渡金属二硫族化合物、黑磷等各种二维材料. 在多种二维材料制备技术中, 机械解理技术具有制备方法简单、普适性好等优点, 最重要的是解理得到的晶体质量高, 是研究很多新奇物性的理想选择. 本文介绍了机械解理技术的产生背景, 总结了常规机械解理技术在二维材料研究过程中的瓶颈. 为了解决常规机械解理技术制备效率低、样品尺寸小的问题, 一些新型机械解理技术近年来不断发展起来, 如氧气等离子体辅助法和金膜辅助法等. 作为自上而下的二维材料制备方法, 新的解理技术在未来二维材料基础研究和应用中仍然充满生机. 未来解理技术将朝更大尺寸, 更高质量方向发展.
总论
2022, 71 (10): 100301.
doi:10.7498/aps.71.20212173
摘要 +
基于纠缠交换方法进行多跳量子信息传输,是实现远距离量子网络通信的基本方式之一. 传统的多跳量子网络通常使用单自由度极化光子纠缠态作为量子信道, 信息传输容量较低且容易受到噪声的干扰. 本文提出一种基于超纠缠的高效量子网络多跳纠缠交换方法,利用极化-空间模式两自由度的纠缠光子, 建立超纠缠量子多跳信息传输通道. 以远程超纠缠隐形传态的信道建立需求为例, 首先给出了基础的逐跳超纠缠交换方案, 为降低该方案的端到端超纠缠建立时延, 提出在中间量子节点进行同时测量的并行超纠缠交换方案. 在此基础上, 为降低并行超纠缠交换的经典信息开销, 进一步提出一种分级并行超纠缠交换方案. 理论分析及仿真结果表明该方案的纠缠建立时延接近于并行超纠缠交换方案, 但可以减少经典信息传输量, 在一定程度上实现两者的平衡. 相比传统的纠缠交换方法, 本文方案有利于解决远程超纠缠通信的需求,对未来构建更高效率的量子网络有积极意义.
2022, 71 (10): 100701.
doi:10.7498/aps.71.20212114
摘要 +
采用溶剂热法制备了MOF衍生纯相ZnO和不同比例的ZnO/Co3O4复合微结构, 通过X射线衍射(XRD)、扫描电子显微镜(SEM)、X射线能量色散谱(EDS)、X射线光电子能谱(XPS)和表面积分析仪对所制备微结构的晶体结构、形貌和化学组成进行了分析. 基于上述材料制备气体传感器, 探究传感器对多种不同气体的响应特性. 实验结果表明: 大部分气体传感器在测试温度范围内对环己酮气体的响应值最高, 适量Co3O4复合可以有效提高ZnO微结构对环己酮的检测性能. ZnO/Co3O4复合微结构对环己酮的响应值随Co3O4含量的增加先升高后降低, 在最佳工作温度(250 ℃)下锌钴比例1∶0.1的ZnO/Co3O4传感器对体积分数为100 × 10–6环己酮气体的响应值可达161, 是相同条件下ZnO微结构的6.4倍, 且响应和恢复时间分别为30 s和35 s, 其优异的检测性能主要归因于ZnO和Co3O4之间形成的协同效应. 本文的工作在环己酮气体高性能检测方面有重要的应用价值.
封面文章
2022, 71 (10): 100702.
doi:10.7498/aps.71.20212360
摘要 +
高压非平衡相变动力学过程依赖于温度、压强及加载速率, 这要求在不同时间尺度内实现快速加载/卸载并进行快速数据采集. 本文着重介绍了最近在上海同步辐射光源BL15U1线站设计和发展的时间分辨X射线衍射和快速动态加载金刚石对顶砧(dDAC)实验装置的最新进展. dDAC采用气膜驱动和压电陶瓷驱动两种快速加载方式, 在毫秒尺度内实现DAC样品腔压强从常压加压到300 GPa(20 μm金刚石台面)以上, 并获得了毫秒尺度的时间分辨衍射数据. 其中压电陶瓷驱动的dDAC采用新设计的单、双筒驱动方式, 具有加载压力大、压缩速率高等特点, 加载速率可达13 TPa/s. 在快速加压过程中, 可同时连续采集X射线衍射谱. 探测器采用Pilatus 3X 900 K, 帧频达500 Hz, 实现了2 ms时间分辨的X射线衍射测量. 毫秒时间分辨的X射线衍射和高压快速加载装置丰富了BL15U1线站的高压研究技术, 拓展了线站开展超高压实验、非平衡相变动力学等科学研究的能力.
核物理学
2022, 71 (10): 102101.
doi:10.7498/aps.71.20212387
摘要 +
采用贝叶斯深度神经网络对液滴模型进行优化改进, 并运用KL (Kullback-Leibler)散度与变分推断的方法使得模型便于实现. 以最新的原子核数据(AME2020)中2457个有精确值的原子核(
$Z\geqslant 8$
和
$N\geqslant 8$
)作为总数据集, 随机选取其中80%的数据为训练集用于模型训练, 通过预测余下的20%进行模型验证. 最终两个数据集的误差均方根(RMS)基本相等, 而且全部数据的RMS从2.9894 MeV降到0.5695 MeV, 下降了80%, 呈现出较好的结果. 此模型进行了输入参数上的改进(区域限定策略), 使得未知核(
$Z = 118—126$
)可以被限定在一个固定的区域内, 从而提高了预测的准确性. 为了验证这一性质, 对实验数据(
$Z=100— 117$
)进行了预测计算, 结果也与实验值符合得很好. 最后使用该方案对未知元素
$Z = 118—126$
进行了预测, 为以后寻找新元素提供了新思路.
2022, 71 (10): 102901.
doi:10.7498/aps.71.20212429
摘要 +
为了利用低能量分辨率探测器γ能谱分析获取未知放射性核素的特征信息, 提高γ能谱中重峰及弱峰分析的准确性和有效性, 本文开展了基于Boosted-Gold算法的NaI(Tl)探测器γ能谱分析研究. 采用MCNPX建立NaI(Tl)探测器模拟模型,获得了维度201×200的探测器响应矩阵. 基于Boosted-Gold算法开发了γ能谱反演程序. 实验测量了γ源22Na,133Ba和152Eu的探测器响应能谱, 并以不同γ射线能量、不同能差
$(\Delta E)$
、不同相对强度为条件构建了3组低分辨率模拟γ能谱, 结合响应矩阵及反演程序对实测γ能谱和模拟γ能谱进行反演. 以IAEA数据库核素标准特征信息对反演结果进行分析. 结果表明: Boosted-Gold算法对实测γ能谱特征能量反演误差最大为2.17% (133Ba源0.276MeV), 反演强度与标准强度最大差为0.197(152Eu源1.408 MeV). 对模拟γ能谱核素特征能量均可准确分析, 反演强度与标准强度差值保持在0.01以内; 当增强系数p≤14时, Boosted-Gold算法有利于γ放射性核素的定量分析, 对于相对强度大于10%的γ射线, 该算法具有更好的分析准确性.
原子和分子物理学
2022, 71 (10): 103101.
doi:10.7498/aps.71.20220038
摘要 +
本文利用内收缩多参考组态相互作用方法计算了BH分子8个低电子态(X1Σ+, a3Π, A1Π, b3Σ–, 23Π, 13Σ+, 15Σ–和15Π)和在自旋-轨道耦合效应下所产生的23个Ω态的势能曲线、以及
${\rm{X}}{}^1\Sigma _{{0^ + }}^ +$
,
${{\rm{a}}^3}{\Pi _{{0^ + }}}$
,
${{\rm{a}}^3}{\Pi _1}$
,
${{\rm{a}}^3}{\Pi _2}$
和
${{\rm{A}}^1}{\Pi _1}$
态之间6对跃迁的跃迁偶极矩. 为了获得精确的势能曲线, 计算中修正了单双电子激发、核价相关效应、相对论效应和基组截断带来的误差. 获得的BH分子的光谱和跃迁数据与现有的理论值和实验值符合得很好. 计算结果表明: BH分子的A1Π1(υ'= 0 – 2,J'= 1, +) →
$ {\text{X}}{}^1\Sigma _{{0^ + }}^ + $
(υ′′ = 0 – 2,J′′ = 1, –)跃迁具有较大的爱因斯坦A系数和加权的吸收振子强度、高度对角化分布的振动分支比, A1Π1态具有较短的辐射寿命. 另外,
${{\rm{a}}^3}{\Pi _{{0^ + }}}$
和a3Π1态对A1Π1(υ'= 0) ↔
$ {\rm X}^1\Sigma _{{0^ + }}^ + $
(υ′′ = 0)循环跃迁的影响可以忽略. 因此, 基于A1Π1(υ'= 0—1,J′ = 1, +) ↔
$ {\rm X}^1\Sigma _{{0^ + }}^ + $
(υ′′= 0—3,J′′= 1, –)循环跃迁, 我们提出了用一束主冷却激光(λ00= 432.45 nm)和两束再泵浦激光(λ10= 479.67 nm和λ21= 481.40 nm)冷却BH分子的方案, 并评价了冷却效果.
2022, 71 (10): 103301.
doi:10.7498/aps.71.20220089
摘要 +
本文利用双色共振双光子电离和质量分辨阈值电离光谱技术, 研究了对氯苯腈分子第一电子激发态S1和离子基态D0的振动特征, 确定了对氯苯腈分子S1← S0电子跃迁的激发能为35818 ± 2 cm–1, 精确的绝热电离能为76846 ± 5 cm–1. 对氯苯腈分子35Cl和37Cl两种同位素有相同的激发能和电离能以及相似的振动特征. 采用高精度密度泛函方法, 计算了对氯苯腈分子在中性基态S0、第一电子激发态S1、离子基态D0的结构参数和振动频率, 分析了电子激发和电离过程中对氯苯腈分子结构和振动频率的变化, 并对激发态和离子基态的振动光谱进行了归属, 振动光谱上的活性振动大多数是苯环平面内的弯曲振动. 通过比较对氯苯酚、对氯苯胺、对氯苯甲醚、对氯苯腈与苯酚、苯胺、苯甲醚、苯腈分子的跃迁能, 分析了取代基Cl原子与苯环之间的相互作用及其对分子跃迁能的影响.
编辑推荐
2022, 71 (10): 103601.
doi:10.7498/aps.71.20220123
摘要 +
利用密度泛函理论B3LYP的方法, 在6-311++G(d, p)基组水平上沿二面角ϕ1(C9N1C2C5)和ϕ2(C16N1C9C12)构成的二维坐标下扫描了–180°—180°范围内构象异构化势能面, 甄别出12种三乙胺基态异构体. 进一步辅以二阶微扰理论MP2的方法, 在相同基组水平下计算与优化6种能量较低的构象异构体的结构与能量. 结果表明具有C3对称性的G1与G1'是最稳定构象, 并识别出两种具有新的甲基取向的G4与G4'构象异构体. 另外, 通过G1—G4红外光谱与振动模式的比较, 分析了它们之间的相似性与差异性. G1—G4的红外谱线显示在0—1600 cm–1范围内的强度较弱, 而在2800—3300 cm–1范围内的强度较强, 标定出伞状振动与C—H伸缩振动等特征振动模, 不同构象所引起的红外谱峰的平均移动量小于20 cm–1.
电磁学、光学、声学、传热学、经典力学和流体动力学
编辑推荐
2022, 71 (10): 104201.
doi:10.7498/aps.71.20220019
摘要 +
为了增强圆对称艾里光束的自聚焦能力, 本文使用了非对称双曲正割函数对光束的频谱进行了包络调制研究, 详细探讨了频谱中高、低频分量对自聚焦特性的影响. 结果表明单纯增加频谱的高频分量, 并不会使自聚焦能力持续增强, 低频分量对光束的自聚焦特性同样起着不可或缺的作用. 由于非对称包络可以灵活的调节高、低频分量的比重, 因此调制效果要优于高通滤波和对称包络调制. 当调制参数选取适当时, 光束焦点峰值大幅增加, 达到了调制前的3.4倍, 同时焦斑尺寸减小了23.6%. 最后, 本文对理论分析结果进行了实验验证, 实验结果与理论结果相吻合, 证明了频谱的非对称包络调制是一种高效且易于实现的调制方法.
2022, 71 (10): 104202.
doi:10.7498/aps.71.20211697
摘要 +
光子计数激光雷达技术具有极高的探测灵敏度与时间分辨率, 是极端条件下高精度目标信息获取的重要手段. 由于该技术通过探测单光子级的回波能量实现对目标信息的三维重建, 因此极易受噪声干扰, 导致成像质量严重降低. 基于高速电子门控的距离选通技术虽然可以有效抑制噪声, 但存在参数设计依靠经验、目标检测区间窄等问题. 本文提出一种在宽目标检测区间条件下的目标信息提取及三维重建方法, 首先通过对三维回波信息的获取机理及其概率模型进行分析, 获取目标信息分布范围并通过算法门控提取有效信息; 再采用高效的图像重建算法进一步提升三维重建的质量, 从而具有比基于纯硬件的去噪方法更强的抑噪能力. 实验结果显示, 在平均像素光子数仅为3.020, 且信号噪声比仅为0.106的极端条件下, 本文提出的目标信息提取方法可将信号噪声比提升19.330倍; 再配合高效的图像重建算法, 距离图像的重建信噪比相比于传统的互相关算法提升了33.520 dB, 大幅提升了强噪声环境下高精度目标信息获取的能力.
2022, 71 (10): 104203.
doi:10.7498/aps.71.20211960
摘要 +
光合作用激发能传输过程中量子效应的研究大都基于单激发初态假设, 该假设能较好地描述人们所关心的部分光合作用系统的初态. 但对于不满足上述假设条件的自然及人工光合作用系统, 激发过程对系统动力学有不可忽略的影响. 本文基于由高斯脉冲激发的多色素分子模型, 主要研究了激发脉冲宽度和激发间隔对系统动力学和激发能传输效率的影响. 首先, 推导了理论上可包含任意数量的色素分子构成的供体系统和受体系统整体演化所满足的动力学方程. 之后通过数值模拟展示了激发能传输效率随系统各相关参数变化的关系及相应参数的最优范围. 研究发现, 在单个脉冲激发供体色素分子的条件下, 存在最优脉冲宽度, 且脉冲宽度对色素分子数目、耦合强度及退相位速率的最优范围都有调制作用, 并分析了该调制作用的产生机制. 在两个高斯脉冲依次激发供体色素分子的条件下, 存在最优脉冲宽度及脉冲间隔的组合. 本文得到的动力学方程可推广到其他形式的激发脉冲, 得到的数值结果及优化设计原则对工作在不同光照条件下的人工光合作用系统的优化设计具有参考意义.
编辑推荐
2022, 71 (10): 104204.
doi:10.7498/aps.71.20212282
摘要 +
由飞秒激光驱动的非线性光学显微镜技术在医学组织成像中具有很多独特的优势, 包括多种成像模态、高对比度、高分辨率和无标记的深层光学切片能力等. 由于缺乏波长可灵活调谐的飞秒激发光源, 导致在多模态成像的同时难以兼顾每种模态的对比度, 从而制约了非线性光学显微镜在医学诊断中的广泛应用. 本文采用基于自相位调制光谱选择的光纤激光光源, 获得了中心波长在990—1110 nm范围内可调谐的高能量飞秒脉冲, 并用于驱动非线性光学显微镜. 采用990 nm的飞秒脉冲, 通过双光子激发荧光和二倍频对胃组织成像, 进一步结合图像拼接技术成功获得了胃组织的双模态大视场图像; 利用1110 nm的飞秒脉冲, 实现了无标记自发荧光多倍频显微镜技术, 同时高效激发了胃组织的双光子激发荧光、三光子激发荧光、二倍频和三倍频信号, 获得了胃组织的多模态图像.
2022, 71 (10): 104205.
doi:10.7498/aps.71.20212356
摘要 +
基于新型光源的显示设备以大色域、高亮度、高解析度等优点成为了市场主流. 蓝光作为三基色之一, 是显示系统不可或缺的部分, 它的波长、光谱宽度、亮度等参数影响着显示系统的方方面面. 同时, 过强的蓝光会损害人眼的视网膜细胞并影响生物节律. 如何减少蓝光危害是设计显示系统时需要考虑的重要问题. 以手机、电视屏幕为代表的显示设备是人机交互的重要媒介, 为了减少其中的蓝光危害, 在设备中通常都设有防蓝光模式. 这种模式会影响到显示设备的色域. 基于此, 测量显示系统中色域和蓝光危害随着防蓝光模式的变化过程是有必要的. 我们提出了一种测量显示设备特征点获得立体色域的理论. 以目前市面上几种主流手机作为实验样本测量立体色域, 结合光谱获得蓝光危害值, 提出色域和蓝光危害的兑换比例这一测量标准, 以评估防蓝光模式的质量.
2022, 71 (10): 104206.
doi:10.7498/aps.71.20212221
摘要 +
飞速增长的光通信容量需求推动着光纤技术的发展, 基于空分复用技术的多芯光纤作为突破传统单模光纤容量限制的方法引起了广泛的关注. 本文将纤芯异质结构与低折射率沟槽结合, 设计了1种具有低串扰的十九芯单模光纤结构, 该结构由环绕沟槽的3种不同参数的纤芯按正六边形排布构成,在C+L波段能实现稳定单模传输. 研究结果表明: 在波长为1.55 μm时, 通过在沟槽中进行掺氟处理, 可以使光纤的芯间串扰降低至–39.52 dB/100 km. 此外在弯曲半径为100 mm时, 弯曲损耗为–7.7×10–5dB/m且色散低于24 ps/(nm·km). 纤芯中基模的有效模场面积约为80 μm2, 有利于降低非线性效应. 与传统单模光纤及单沟槽同质结构光纤相比, 该结构具有更低的串扰、更好的抗弯曲性能和更大的模场面积. 本文设计的光纤适用于空分复用系统中远距离大容量的传输.
2022, 71 (10): 104207.
doi:10.7498/aps.71.20212302
摘要 +
锂离子电池是当今最通用的储能技术之一, 锂电池的可靠性和安全性一直是业界追求的目标, 因此准确监控电池安全状态显得尤为重要. 锂电池内部的热失控是一切锂电池安全问题的根源, 为克服目前锂电池组温度测量系统测温精度不高, 较高温度下长时间工作稳定性不足等问题, 本文提出了一种基于双包层光纤布拉格光栅(FBG)的准分布式锂电池组温度监测系统. 通过搭建4通道16个双包层FBG点位对18650锂电池组进行温度场及鼓包形变监测, 结果表明在0—450 ℃的温度条件下可以精确确定由短路等问题产生异常温度升高的点位, 相应温度灵敏度为10 pm/℃, 分辨率达0.1 ℃, 并且贴于锂电池壳体表面的双包层FBG还可以监测电池壳体表面出现的鼓包形变现象, 其纵向压力应变灵敏度达142 pm/N. 本文的双包层FBG准分布式锂电池组温度场监测系统既可以保证高精度的温度、形变测量, 同时具有良好的稳定性和抗干扰能力, 表明本文的研究工作有望为锂电池组的安全监测和使用提供可靠的理论与实验依据.
2022, 71 (10): 104208.
doi:10.7498/aps.71.20212284
摘要 +
非均匀手征分层粒子的俘获特性研究在化学工程、生物医药、光镊、微纳米加工等领域都有着重要的应用. 为了有效地俘获及操控手征分层球形粒子, 本文对椭圆高斯波束照射下手征分层球形粒子的辐射俘获力展开研究. 从广义米理论出发, 将入射椭圆高斯波束用矢量球谐函数展开, 根据波束散射理论及电磁场动量守恒定理, 得出椭圆高斯波束对手征分层球形粒子辐射俘获力的级数表达式, 并对椭圆高斯波束入射分层手征细胞时的轴向及横向俘获力进行了数值模拟, 讨论了手征参数、极化状态、束腰宽度、损耗以及最外层厚度对俘获情况的影响. 研究表明: 手征参数的引入会降低非均匀手征粒子的轴向俘获特性, 但是选择合适的极化态入射时, 可以有效地实现对非均匀手征粒子的稳定俘获. 对于内层损耗小的手征多层球形粒子, 当内层折射率大于最外层时, 最外层厚度大的非均匀手征粒子在光轴上更容易俘获; 反之内层折射率小于最外层时, 最外层厚度小的粒子在光轴上有更强的束缚; 同时与传统圆高斯波束相比, 椭圆高斯波束的强会聚性更容易实现对非均匀手征分层细胞的三维俘获, 具有良好的应用前景.
2022, 71 (10): 104301.
doi:10.7498/aps.71.20212181
摘要 +
声能量非互易传递机理及声非互易系统构建是近年来声学领域的研究热点. 本文开展了由非线性薄膜和两个不同尺寸声腔组成的实验系统中声能量非互易传递的实验研究. 该系统利用简化为Duffing振子的薄膜频响函数的不对称性, 实现了声能量的非互易传递. 采用复化平均法获得系统频响函数的渐近解, 理论计算结果与实验测量结果吻合. 理论计算和实验结果表明: 该系统理论上存在最大9.1倍的非互易量, 实验测得的最大非互易量为4.3倍, 归一化跳变区频率带宽为0.56. 研究结果揭示了实验系统中声能量非互易传递机理, 为实现空气介质声系统中声能量的非对称传递提供了一种新方法.
2022, 71 (10): 104302.
doi:10.7498/aps.71.20212251
摘要 +
声辐射力和声辐射力矩的计算是实现粒子精准操控的重要基础. 基于经典声散射理论的偏波级数展开法较难直接用于复杂模型的研究, 而纯数值的方法则不利于进行系统的参数化分析. 基于Born近似的基本原理, 推导了低频情况下零阶Bessel驻波场中心任意粒子的声辐射力和力矩表达式. 在此基础上, 以球形粒子、椭球形粒子和柱形粒子为例进行详细地计算, 并考虑声参数的非均匀性对声辐射力和力矩的影响. 仿真结果表明, 在低频范围内Born近似具有很高的精度, 随着频率的增加和粒子与流体的阻抗匹配变差, Born近似的精度逐渐下降. 对于倾斜放置于零阶Bessel驻波场中的椭球形粒子和柱形粒子, 非对称性会导致其受到声辐射力矩的作用. 在粒子尺寸远小于波长的情况下, 声辐射力特性与粒子的具体形状几乎无关, 但声辐射力矩不然. 最后, 引入周围流体的黏滞效应并对声辐射力的表达式进行了修正. 该研究预期可以为生物医学、材料科学等领域利用驻波场声镊子实现微小粒子的精准操控提供一定的理论指导.
2022, 71 (10): 104303.
doi:10.7498/aps.71.20211825
摘要 +
血流速度的精确测量对于研究心血管疾病和动脉粥样硬化斑块的形成至关重要, 传统的彩色多普勒方法局限于获得沿超声束的速度分量, 难以描绘复杂的血流运动. 本文提出了一种多角度复合的超声多普勒方法, 结合多角度复合技术来提升速度估算的准确度. 该方法可以获取复杂血管内较为精确的二维速度矢量, 实现血管内动态矢量血流成像. 仿真结果表明, 多角度复合有效地减小了速度估算的误差, 提升图像的质量. 颈动脉分叉仿体成像实验表明, 该方法可以获得较为清楚的血管内速度矢量图像. 定量分析结果表明5个角度复合方案能够准确估算血管内流量. 本文提出的多角度复合的矢量多普勒具有可视化复杂血流和计算血流动力学参数的能力, 在矢量血流成像方法中有重要潜力.
2022, 71 (10): 104501.
doi:10.7498/aps.71.20212333
摘要 +
竖直振动激励下颗粒毛细上升现象为颗粒物料的提升、输运和采集提供了一种全新的技术路径. 然而, 已有颗粒毛细上升行为研究仍存在明显不足, 特别是缺乏对重力加速度、水平振动分量、颗粒粒径分布影响的深入探究. 针对这些问题, 采用离散元方法, 对不同操作条件下颗粒毛细上升现象开展数值模拟研究, 并对颗粒最终毛细上升高度和平均毛细上升速度进行计算分析. 结果表明, 在低重力条件下, 颗粒毛细效应仍能发生, 颗粒最终毛细上升高度和平均毛细上升速度随重力加速度均呈现先增加后减小的趋势; 颗粒最终毛细上升高度对水平振动分量的变化不敏感, 而平均毛细上升速度随水平振动分量的增大而增加; 在平均粒径相等的情况下, 粒径服从高斯分布的颗粒比单一粒径颗粒的最终毛细上升高度最大值对应的临界管径更大, 并且同处于堵塞效应影响的管径区域时平均毛细上升速度也更快.
2022, 71 (10): 104701.
doi:10.7498/aps.71.20212361
摘要 +
流动超材料与变换流体动力学的发展丰富了人们对于流体流动控制的方法. 本文基于变换流体动力学, 耦合流动旋转与放大功能, 设计出了具有张量化黏度的流动旋聚器. 从数值模拟层面验证了旋聚器可在蠕动流状态下同时实现对流速的放大和旋转功能. 在旋聚器中心流域, 流体流速被放大, 呈现出文丘里效应; 在旋聚器外部区域, 流体流动状态不会因旋聚器的存在而受到干扰, 保持原有的流动状态. 除此之外, 本文发现并解释了空间坐标变换的非互易性所造成的旋转滞后现象的本质. 本文所研究内容扩展并优化了现有的流体流动聚集功能; 提出了文丘里效应相关应用的一种新途径; 为超材料的非互易坐标变换设计提供了新的思路.
气体、等离子体和放电物理
2022, 71 (10): 105201.
doi:10.7498/aps.71.20212386
摘要 +
霍尔推力器由于推力密度大、结构简单等特点, 在商业航天领域具有广泛的应用前景. 为了进一步提升小功率霍尔推力器的性能, 克服低轨卫星用小功率霍尔推力器性能受限于输入功率和最大磁场强度的问题, 本文利用数值模拟和理论分析方法研究了霍尔推力器放电通道中径向磁场分布对推力器性能的影响. 在轴向磁场分布和最大径向磁场强度一定的情况下, 通过改变径向磁场梯度实现径向磁场对推力器性能影响的研究. 结果表明, 在放电参数、推进剂流率以及轴向磁场不变的情况下, 加速区的电势随着径向距离的增加而减小. 因此, 靠近推力器放电通道内壁侧的径向磁场梯度越大, 离子沿着轴向漂移到达推力器出口的动能越大, 推力器的推力越大. 本文的研究结果为霍尔推力器的磁场设计, 性能优化提供了理论支撑.
2022, 71 (10): 105202.
doi:10.7498/aps.71.20212378
摘要 +
采用TL-code电路编码方法, 建立了15 MA Z箍缩装置多层圆盘锥磁绝缘传输线的全电路模型, 分析了外磁绝缘传输线、汇流柱和内磁绝缘传输线三个区域电流损失特性. 外磁绝缘传输线磁绝缘形成过程的空间电荷损失持续时间约30 ns, 对负载电流影响小. 进入磁绝缘稳态时, 外磁绝缘传输线末端鞘层电子流损失约300 kA. 汇流柱区域电流损失与电极等离子体运动速率密切相关, 当等离子体运动速率为21 cm/μs时, 负载峰值电流时刻损失电流约4 MA. 内磁绝缘传输线电流损失取决于阳极离子流种类, 电流损失在负载峰值电流时刻之后, 损失电流约2.1 MA. 当15 MA装置驱动长度2 cm、半径2 cm、质量3 mg丝阵负载时, 绝缘堆峰值电流约18 MA, 负载峰值电流约13.5 MA、峰值时间(0—100%)约为100 ns.
凝聚物质:结构、力学和热学性质
2022, 71 (10): 106201.
doi:10.7498/aps.71.20212254
摘要 +
采用确切的Muffin-Tin轨道结合相干势近似方法, 本文系统计算研究了0 K下, 磁无序及合金化效应影响Co2CrZ(Z= Ga, Si, Ge)合金L21和D022相稳定性的规律性及物理机理. 研究结果表明, 0 K下, L21相合金晶格常数、体弹性模量、磁矩和弹性常数均与理论和实验值基本吻合; 铁磁下合金具有L21结构, 随磁无序度(y)的增大, L21相能量相对逐渐增大, 最终由低于转变到高于D022相, 因此, 当y≥ 0.1(0.2)时,Z= Si和Ge(Z= Ga)的合金具有D022相稳定结构; 随y的增大, L21相的四方剪切弹性模量(C'= (C11–C12)/2)还不断软化, 表明无论在能量还是力学角度上, 磁无序都有利于3种合金发生四方晶格变形; 磁无序影响L21和D022相相对稳定性的电子结构机理归因于Jahn-Teller不稳定性效应; 对于L21相Co2CrGa1–xSix和Co2CrGa1–xGex四元铁磁合金, 随x的增大, 总磁矩均按照Slater-Pauling定律单调增大,C'同时也都变硬, 表明Si和Ge掺杂均有利于增强Co2CrGa合金L21相的力学稳定性, 从而抑制了其四方晶格变形的发生.
凝聚物质:电子结构、电学、磁学和光学性质
编辑推荐
2022, 71 (10): 107201.
doi:10.7498/aps.71.20220011
摘要 +
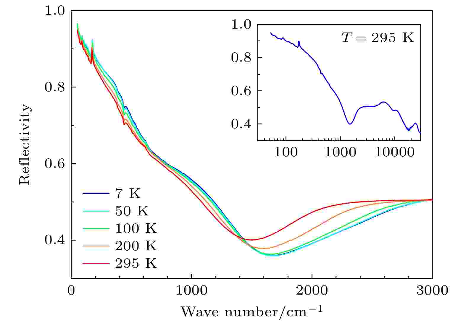
对于新型拓扑材料BaMnSb2, 研究了从7 K到常温下温度依赖的宽频红外光谱特性. 随着温度的降低, 绝对反射谱中等离子体极小值有着明显的蓝移, 表明载流子浓度存在随温度变化的行为. 在光电导谱的实部中存在两段随着频率线性增加的响应, 它们的线性外延不经过原点, 表明BaMnSb2的费米能级附近有打开能隙的Dirac型色散. 此外, 在低温下还发现了一段不随频率变化的光电导, 且无法用传统的Drude-Lorentz模型拟合. 因此本文引入了一个恒定的光电导分量, 得到了满意的拟合结果. 通过计算和分析, 我们认为恒定光电导分量可能来自于拓扑材料BaMnSb2的表面态响应.
2022, 71 (10): 107301.
doi:10.7498/aps.71.20220041
摘要 +
本文研究了300 V绝缘体上硅横向双扩散金属氧化物半导体场效应管在电离辐射总剂量效应下的线性电流退化机理, 提出了一种具有超薄屏蔽层的抗辐射结构实现线性电流加固. 超薄屏蔽层位于器件场氧化层的下方, 旨在阻止P型掺杂层表面发生反型, 从而截断表面电流路径, 有效抑制线性电流的退化. 对于横向双扩散金属氧化物半导体场效应管, 漂移区上的场氧化层中引入的空穴对线性电流的退化起着主导作用. 本文基于器件工艺仿真软件, 研究器件在辐照前后的电学特性, 对超薄屏蔽层的长度、注入能量、横向间距进行优化, 给出相应的剂量窗口, 在电离辐射总剂量为0—500 krad(Si)的条件下, 将最大线性电流增量从传统结构的447%缩减至10%以内, 且辐照前后击穿电压均维持在300 V以上.
2022, 71 (10): 107401.
doi:10.7498/aps.71.20212094
摘要 +
与单金属相比, 多金属纳米材料具有优异宽波谱范围响应的局部表面等离子体共振(LSPR), 有利于提高光致电子转移效率并促进电荷载流子的有效分离. 本文通过种子生长法和化学还原法, 成功合成了具有多触角的海胆状金/银/铂/钯(Au-Ag-Pt-Pd NUs)四元纳米合金, 探究了该纳米合金在不同退火温度下的局部表面等离子体共振(LSPR)响应特性, 实验结果显示, 在近红外光(808 nm)激发下, 退火200 ℃的Au-Ag-Pt-Pd NUs的瞬态光电流强度是初始Au-Ag-Pt-Pd NUs的1.6倍. 此外, 以结晶紫(CV)作为探针分子, 退火200 ℃的Au-Ag-Pt-Pd NUs的表面增强拉曼光谱(SERS)信号强度是初始Au-Ag-Pt-Pd NUs的1.8倍, 从而验证了退火200 ℃的Au-Ag-Pt-Pd NUs具有很好的SERS活性, 同时CV探测浓度可低至10–12M, 并且实现了低浓度H2O2探测, 探测范围: 0.09—1.02 μmol/L. 结果表明, 由于多重金属协同效应, 四元Au-Ag-Pt-Pd NUs复合结构具备优异的光电响应特性和较高的SERS灵敏度, 可为贵金属生物近红外探测提供新的思路.
2022, 71 (10): 107501.
doi:10.7498/aps.71.20211700
摘要 +
自旋转移矩辅助电压调控磁各向异性磁隧道结(STT辅助VCMA-MTJ)作为非易失性全加器(NV-FA)中的核心部件, 具有切换速度快、功耗低, 稳定性好等优点, 将在物联网、人工智能等领域具有良好的发展前景. 然而随着磁隧道结(MTJ)尺寸的不断缩小以及芯片集成度的不断提高, 工艺偏差对MTJ及NV-FA电路性能的影响将变得越来越显著. 本文基于STT辅助VCMA-MTJ磁化动力学, 在充分考虑薄膜生长工艺偏差以及刻蚀工艺偏差影响的情况下, 建立了更为精确的STT辅助VCMA-MTJ电学模型, 研究了上述两种工艺偏差对MTJ及NV-FA电路性能的影响. 结果表明, 当自由层厚度偏差γtf≥ 6%或氧化层厚度偏差γtox≥ 0.7%时, MTJ将无法实现状态切换; 当隧穿磁阻率偏差β增大到30%时, 读取裕度SM将下降高达17.6%. 对于NV-FA电路, 通过增大电压Vb1以及写‘0’时增大电压Vb2或写‘1’时减小Vb2, 可有效降低非易失性加数写入错误率; 通过增大逻辑运算驱动电压Vdd, 可有效降低逻辑运算结果输出错误率.
2022, 71 (10): 107801.
doi:10.7498/aps.71.20212375
摘要 +
基于全介质超构材料独特的电磁属性, 提出了一种晶格扰动介质纳米孔阵列超构表面来激发近红外区域的多重Fano共振. 结合群论深入探究了该超构表面在其原胞为方形晶格构型与方形晶格对称性被破坏两情况下多重Fano共振的形成机理及演变规律. 研究表明, 在方形晶格超构表面中, 外部辐射连续体分别与由正入射平面波直接激发的双重简并模式共振干涉形成双重Fano共振, 且该共振与原胞中是否含孔及孔的形状无关, 在晶格扰动超构表面中, 原本不耦合的非简并模式由正入射平面波激发出来并与外部辐射连续体干涉形成Q值更高的三重Fano共振. 进一步探讨了正入射平面波的xy极化方向对上述五重Fano共振的影响, 结果表明, 双重简并模式Fano共振偏振无关, 三重非简并模式Fano共振偏振依赖. 本文将为利用方形晶格构型的超构表面实现多重Fano共振的激发及演变提供有效的理论参考.
物理学交叉学科及有关科学技术领域
2022, 71 (10): 108101.
doi:10.7498/aps.71.20212321
摘要 +
设计了一种涂覆石墨烯的嵌套偏心空心圆柱的椭圆形电介质纳米线波导. 采用多极方法得到了波导所支持的最低阶的3个模式的传输特性, 即场分布、有效折射率的实部、传播长度和品质因数. 结果显示: 最低阶的3个模式都可由涂覆石墨烯的单根圆柱和椭圆柱所支持的最低阶模式合成. 通过改变波导的结构参数, 即圆柱的半径、椭圆柱半长轴、椭圆柱半短轴及两柱之间的最小间距, 可以在一定程度上调节模式的传输性能. 然而通过增大工作波长、费米能以及减小椭圆形电介质纳米线的介电常数, 可以明显改善模式的传输性能. 文中还与涂覆石墨烯的嵌套偏心空心圆柱的圆形电介质纳米线波导进行比较, 可以发现本文所设计的波导具有更优的传输性能. 这些结果都得到了有限元方法的验证. 本文设计的波导可以为涂覆石墨烯的嵌套偏心空心圆柱的椭圆形电介质纳米线波导的设计、制作及应用提供理论基础.
2022, 71 (10): 108401.
doi:10.7498/aps.71.20212274
摘要 +
混沌时间序列能够较好反映真实环境的非线性和非平稳性特性, 然而具有二阶统计特性的核自适应滤波器(kernel adaptive filter, KAF)在处理含噪声和异常值的混沌时间序列时, 其预测性能显著下降. 为提高核自适应滤波器的鲁棒性, 本文提出了一种用于测量非线性相似度的柯西核损失(Cauchy kernel loss, CKL), 并采用半平方(half-quadratic, HQ)方法保证了CKL的全局凸性. 为改善随机梯度下降法收敛速度较慢且容易陷入局部最优的不足, 采用共轭梯度(conjugate gradient, CG)方法优化CKL. 进一步, 为解决核矩阵网络增长的问题, 采取Nyström稀疏策略近似核矩阵, 并利用概率密度秩量化(probability density rank-based quantization, PRQ)提高逼近精度. 基于此, 本文提出了一种新的基于Nyström和PRQ的柯西核共轭梯度(Nyström Cauchy kernel conjugate gradient with PRQ, NCKCG-PRQ)算法有效实现了混沌时间序列的预测. 基于合成和真实两类混沌时间序列验证了所提NCKCG-PRQ算法在稳态性能, 鲁棒性和计算存储复杂度上的优势.
2022, 71 (10): 108501.
doi:10.7498/aps.71.20212192
摘要 +
采用H等离子体处理p-GaN盖帽层来制备p-GaN栅AlGaN/GaN高电子迁移率晶体管(HEMT). 在p-GaN层表面上先沉积2 nm的Al2O3薄膜, 以减少H等离子体注入p-GaN时对表面造成的损伤. 经研究表明沉积Al2O3阻挡层的器件栅极反向泄漏电流降低了一个数量级, 开关比提高了约3倍. 由于栅极泄露电流的减小, 关态击穿电压从410 V提高到780 V. 针对栅极反向泄漏减小的现象, 进行了变温IG-VG测试, 验证了栅极反向泄漏电流的主导机制是二维变程跳跃(Two-dimensional variable range hopping, 2D-VRH)模型. 分析了减小栅极反向电流的原因是由于Al2O3阻挡层改变了HR-GaN的表面态, 使陷阱能级的活化能升高. 此外, 器件动态特性也表现出更稳定的趋势, 这是Al2O3薄膜阻挡过多的H等离子体的注入, 使AlGaN势垒和沟道陷阱态数量减少, 电流崩塌效应减弱.
2022, 71 (10): 108701.
doi:10.7498/aps.71.20212303
摘要 +
本文提出了一种用于生物样品检测的高灵敏度太赫兹折射率超材料吸波体传感器. 该传感器由2个同心开口金属环组成, 是一种多模谐振器. 传感器在0.7—2.5 THz频率范围内具有2个独立可调的工作频段, 即1.079 THz和2.271 THz, 可观测样品在太赫兹波段的不同电磁效应. 采用吸收特性、灵敏度等指标评估太赫兹传感器的性能, 自由空间中的吸收率超过99.9%, 具有较高的频率选择特性, 灵敏度达到693.7 GHz/RIU, 检测生物样品最小折射率变化量为0.004, 传感性能较好. 所提出的传感器使用低介电常数的柔性材料, 具有生物相容性、便携性等优点, 且在0°—60°斜入射角下及4%的制作误差内显示出高度稳定性. 此外, 通过乙醇-水混合物模拟实验, 验证了传感器的检测效果. 本文设计的传感器单元结构之间相互作用小、稳定、易制作, 能够显著增强光与物质之间相互作用, 在太赫兹高灵敏生物传感检测中具有广阔的应用前景.
地球物理学、天文学和天体物理学
2022, 71 (10): 109201.
doi:10.7498/aps.71.20211673
摘要 +
利用高速无狭缝光栅摄谱仪捕获到的一次闪电光谱资料, 结合等离子体光谱理论, 选用不同波段的光谱信息估算了闪电回击通道温度. 结果表明: 用不同波段的谱线组—单电离氮原子(NII)、中性氧原子(OI)和中性氮原子(NI), 基于玻尔兹曼图法估算的闪电回击通道平均温度分别为43270 K, 17660 K和17730 K; 同时用NII和NI两个谱线组, 基于萨哈-玻尔兹曼图法估算得到的闪电回击通道平均温度为24770 K. 依据闪电通道电晕鞘模型和光谱辐射理论推断, 单独选用NII谱线组获得的温度应该是闪电回击通道核心的温度, 单独选用NI或OI谱线组获得的温度应该是围绕在闪电回击通道核心周围电晕鞘的温度; 同时选用NII和NI谱线组, 获得的温度应该是在曝光时间内整个通道截面(包括通道核心和电晕鞘)的平均温度.




