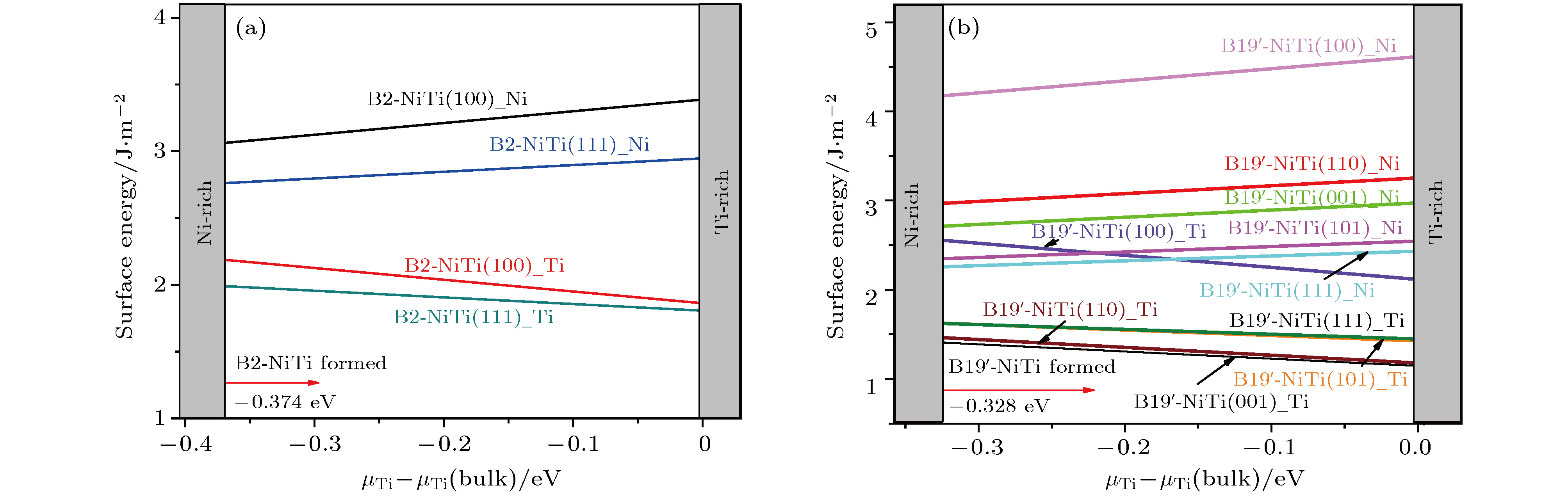
NiTi shape memory alloy has been widely used in industrial and biological fields due to its excellent mechanical properties, unique shape memory effect and superelasticity. In this paper, the atomic relaxation, thermodynamic energy, structural stability, electronic structures and other properties of all low-index surfaces of B2- and B19'-NiTi alloys are systematically studied by using the first principles calculations based on density functional theory. The calculated results show that the atomic relaxations on all low-index surfaces of both B2- and B19'-NiTi alloys are mainly concentrated in 2−3 atomic layers on the surface, which means that the surface effect is mainly confined in two or three layers on the surface configuration. In addition, the atomic relaxation of Ti-terminated surface is most remarkable, and followed by Ni-terminated surface, while the atomic relaxation of Ni&Ti-terminated surface is insignificant. Furthermore, the valence charge density decays rapidly from the surface configuration to the vacuum layer. The calculation results of surface energy show that surface energy is inversely related to the coordinate number, and surface stability increases with the coordination number increasing. For B2- and B19'-NiTi, the surface energy of non-dense and non-stoichiometric surface depend on the chemical potential of Ti, and the surface energy is high. Therefore, the stabilities of these surfaces change with the chemical potential of Ti increasing. However, the surface energy values of dense surface configurations with stoichiometric ratio for B2-NiTi (101) and B19'-NiTi (010) are 1.81 J/m
2and 1.93 J/m
2, respectively, which are both lower than those for other non-dense surfaces in the most Ti chemical potentials range, showing excellent structural stability. Moreover, the electron density analysis indicates that the dominant bonding for B2-NiTi (101) surface is the chained Ni-Ti-Ni metallic bond, the distribution of electrons and the distance between Ni and Ti atoms on the B2-NiTi (101) surface are more uniform and smaller, respectively, than those for B19'-NiTi (010) surface. In summary, the B2-NiTi (101) surface shows the high stability.