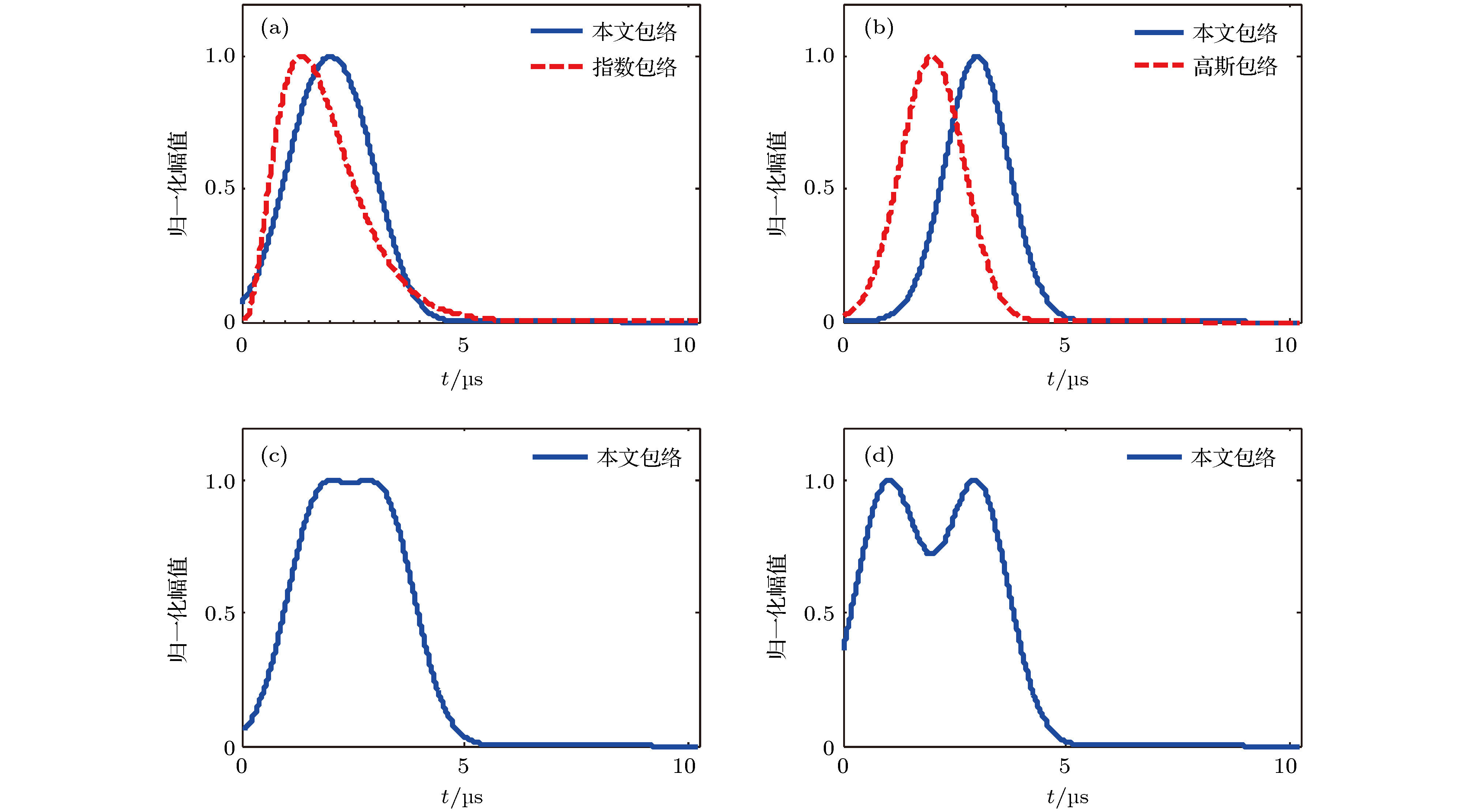
Ultrasonic non-destructive testing, which is one of the most important and rapidly developed non-destructive testing technologies, is widely used in industrial production and other areas. Signal de-noising and feature extraction, whose performance directly affects the evaluation of non-destructive testing results, are the key technologies of ultrasonic non-destructive testing data processing, and also the core elements of ultrasonic non-destructive testing. Therefore, the research on them has important academic significance and practical value. In order to solve the problem of parameter estimation and noise reduction of ultrasonic echo in strong noise background, a novel ultrasonic echo processing method is proposed in this paper. The principle of the proposed method in this paper is as follows. The ultrasonic echo, which is generated by modulating the ultrasonic transducer, has a specific structure, but the noise in practical engineering is usually a Gauss random process, therefore the noise is independent of the ultrasonic signal structure. In this paper, the problem of parameter estimation and noise reduction of ultrasonic echo signal are converted into a function optimization problem by establishing the model of ultrasonic signal, determining the objective function, optimizing the objective function, estimating the parameters, and reconstructing the ultrasonic signal. Firstly, a dual gaussian attenuation mathematical model of ultrasonic signal is established based on practical engineering experience. Secondly, the cosine similarity function, an effective measure of data sequence similarity, is selected as an objective function according to the observed echo and the established ultrasonic signal model. Thirdly, the artificial bee colony algorithm is selected to optimize the objective function to obtain the optimal estimation parameters of the ultrasonic signal from the noisy ultrasonic echo. Fourthly, the estimation of de-noising ultrasonic signal is reconstructed by the optimal parameters based on the established ultrasonic signal mathematical model. The processing results of simulated ultrasonic echoes and measured ultrasonic echoes show that the proposed method can accurately estimate the parameters of ultrasonic signal from strong background noise whose signal-to-noise ratio is lowest, as low as –10 dB. In addition, compared with the adaptive threshold based wavelet method and empirical mode decomposition method, the proposed method in this paper shows the good de-noising performance. Furthermore, compared with the commonly used exponential model and Gaussian model in numerical and simulation analysis, the proposed dual gaussian attenuation mathematical model of ultrasonic signal in this paper can well simulate the measured ultrasonic signal, with a mean square error of 9.4 × 10
–5and normalized correlation coefficient of 0.98.