-
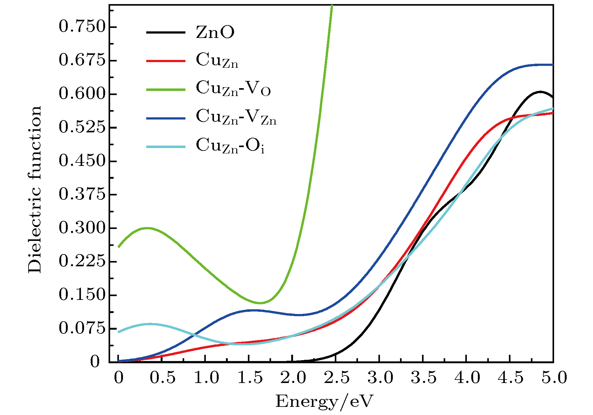
采用基于自旋密度泛函理论的平面波超软赝势方法, 研究了Cu掺杂ZnO (简称Cu Zn)与内在缺陷共存对ZnO电磁光性质的影响. 结果表明, Cu是以替位受主的形式掺入的; 制备条件对Cu Zn及内在缺陷的形成起至关重要的作用, 富氧条件下Cu掺杂有利于内在缺陷的形成, 且Cu Zn-O i最易形成; 相反在缺氧条件下, Cu掺杂不利于内在缺陷的形成. 替位Cu的3d电子在价带顶形成未占据受主能级, 产生p导电类型. 与Cu Zn体系相比, Cu Zn-V O体系中载流子浓度降低, 导电性变差; Cu Zn-V Zn体系中载流子浓度几乎不变, 对导电性没影响; Cu Zn-O i体系中载流子浓度升高, 导电性增强. 纯ZnO体系无磁性; 而Cu掺杂ZnO体系, 与Cu原子相连的O原子, 电负性越小, 键长越短, 对磁矩贡献越大; Cu Zn与Cu Zn-O i体系中的磁矩主要是Cu的3d电子与 Z轴上O的2p电子耦合产生的; Cu Zn中存在空位缺陷(V O, V Zn)时, 磁矩主要是Cu 3d电子与 XY平面内O的2p电子强烈耦合所致; Cu Zn中存在V Zn时, 磁性还包含V Zn周围O(5, 6)号原子2p轨道自旋极化的贡献; 所有体系中Zn原子自旋对称, 不产生磁性. Cu Zn-V Zn和Cu Zn-O i缺陷能态中, 深能级中产生的诱导态是O-O 2s电子相互作用产生的. Cu Zn模型的光学带隙减小, 导致吸收边红移; Cu Zn-V Zn模型中吸收和反射都增强, 使得透射率降低.For ZnO which is not magnetic itself, it is of great significance to study the source of ferromagnetism and its photoelectric properties when Cu doped ZnO coexists with internal defects. The effects of intrinsic defects on the electronic structures, magnetic and optical properties of Cu-doped ZnO (Cu Zn) are studied by using first principle calculations based on the density functional theory combined with the Hubbard U (DFT + U d+ U p). The results indicate that the doped Cu is a substitute acceptor, and the manufacturing environment plays an important role in forming the Cu Znwith internal defects. Under the oxygen-rich condition, the doped Cu is favorable for forming internal defects, and the Cu Zn—O ibonds are easily formed. On the contrary, the Cu-doped ZnO is not conducive to forming internal defects under the O-poor condition. The 3d electrons of the substitute Cu form the unoccupied accepter energy level at the top of valence band, generating p-type conduction. Comparing with Cu Znsystem, the carrier concentration of positive hole decreases in Cu Zn-V Osystem and the conductivity is poor. In the Cu Zn-V Znsystem, the number of carrier holes is almost constant, and the conductivity has no effect. In the Cu Zn-O imodel, the carrier concentration of positive holes increases and the conductivity gets better. The pure ZnO system exhibits non-magnetic behavior. The study also reveals that the smaller the electro-negativity, the greater the contribution to magnetic moment is when O atom is connected with Cu atom. The magnetic moments in Cu Znand Cu Zn-O isystem are mainly generated by the coupling between the Cu 3d and the O 2p orbital on the caxis. When V Oand V Znexist in Cu Zn, the magnetic moment is mainly caused by the strong coupling of Cu 3d with O 2p in ab plane. In the presence of V Znin Cu Zn, the magnetism also contains the contribution of the spin polarization of O(5, 6) atoms around V Zn. In the defect states of Cu Zn-V Znand Cu Zn-O i, the induced states in the deep energy levels are generated by the interaction between the O-O 2s orbital electrons. The reduced optical band gap of the Cu Znmodel results in the red shift of absorption spectrum. The enhanced absorption and reflection of the Cu Zn-V Znmodel reduce the transmission.
-
Keywords:
- first principles/
- intrinsic defect/
- Cu-doped ZnO/
- formation energy
[1] [2] [3] [4] [5] [6] [7] [8] [9] [10] [11] [12] [13] [14] [15] [16] [17] [18] [19] [20] [21] [22] [23] [24] [25] [26] [27] [28] [29] [30] [31] [32] [33] [34] [35] [36] [37] [38] [39] -
缺陷类型 VO VZn Oi Cui CuZn CuZn-VO CuZn-VZn CuZn-Oi O-rich 6.603 0.915 –0.548 5.795 –0.495 6.337 0.422 –0.965 O-poor 1.308 6.210 4.747 4.026 3.031 4.569 9.244 7.856 ZnO CuZn CuZn-VO CuZn-VZn CuZn-Oi 禁带宽度/eV 3.370 2.577 2.413 2.597 1.885 光学带隙/eV 3.370 0.980 0.228 1.108 0.195 P 0.068 1.344 1.107 1.321 1.574 -
[1] [2] [3] [4] [5] [6] [7] [8] [9] [10] [11] [12] [13] [14] [15] [16] [17] [18] [19] [20] [21] [22] [23] [24] [25] [26] [27] [28] [29] [30] [31] [32] [33] [34] [35] [36] [37] [38] [39]
计量
- 文章访问数:10340
- PDF下载量:143
- 被引次数:0












下载:






