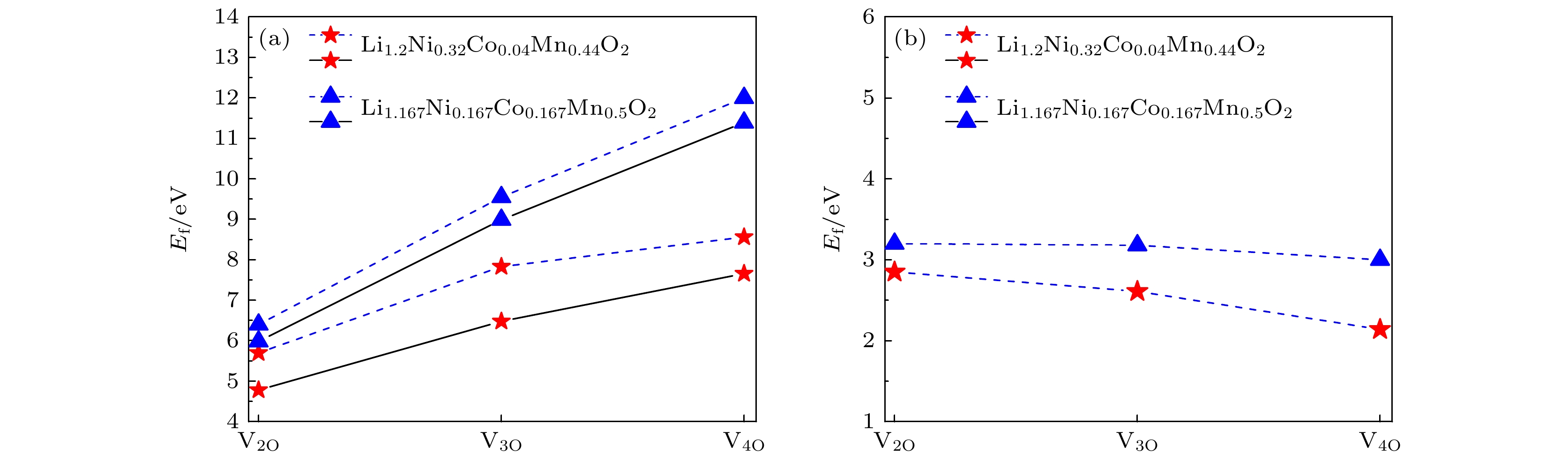
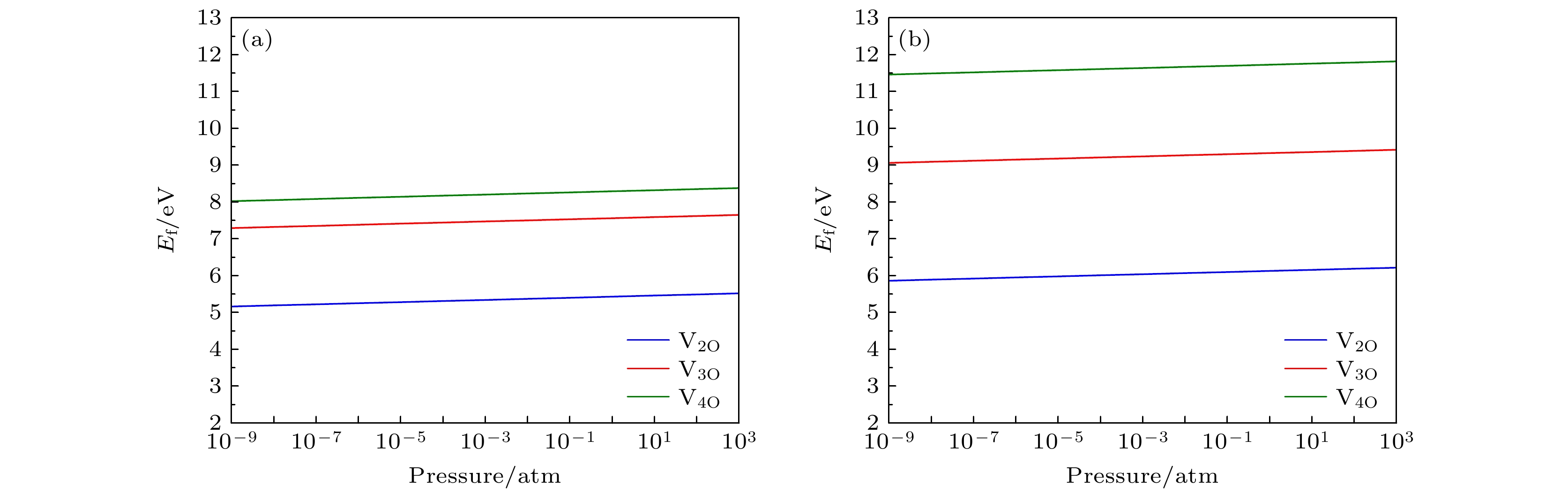
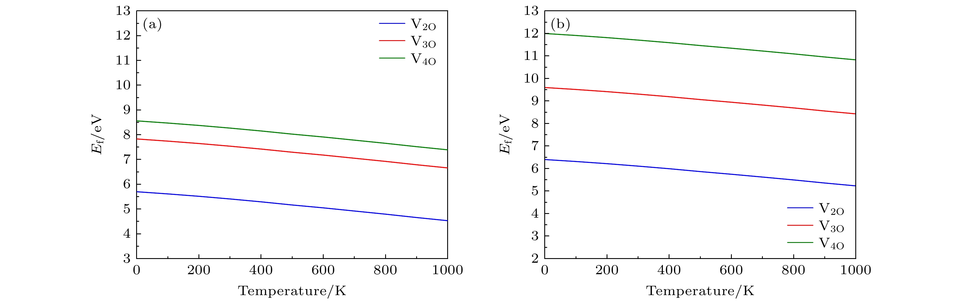
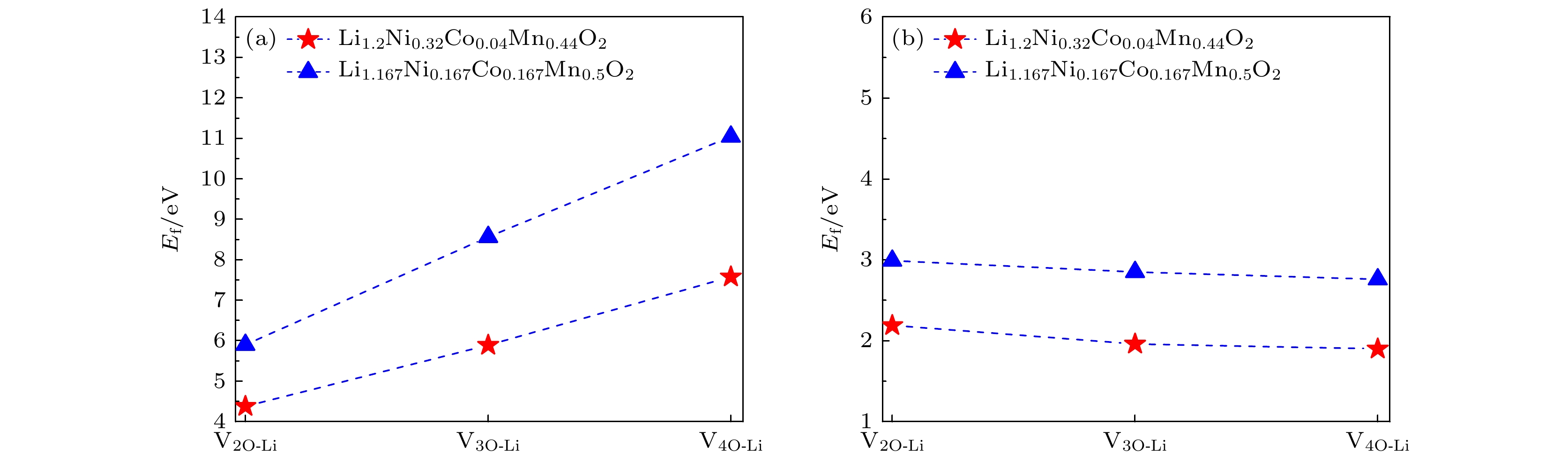
Using the first-principles method, the formation energy values of O-vacancy clusters of two Li-rich Mn-based ternary cathode materials of lithium ion battery with different amounts of nickel , i.e. Li
1.2Ni
0.32Co
0.04Mn
0.44O
2(space group
$R\bar{3}m)$
and Li
1.167Ni
0.167Co
0.167Mn
0.5O
2(space group
C2/
m), are calculated. Results show that the formation energy of oxygen vacancy cluster of the material with less nickel content Li
1.167Ni
0.167Co
0.167Mn
0.5O
2can be always higher than that of the material Li
1.2Ni
0.32Co
0.04Mn
0.44O
2with higher nickel content. This indicates that the oxygen vacancy clusters are more likely to form in cathode material with higher nickel content. The formation energy of the oxygen vacancy cluster near the transition metal is always greater than that near the lithium ion, indicating that the removal of oxygen tends to occur near the Li ion. Lower temperature and higher partial pressure can increase the formation energy of oxygen vacancy cluster, and therefore inhibit the formation of oxygen vacancy cluster. In addition, the formation energy values of oxygen vacancy clusters with the transition metals in the materials replaced by other transition metals (i.e., Ti and Mo) are also calculated. The results show that, in addition to the case of Ni replaced by Ti near the double oxygen vacancies near the Li-ion in Li
1.2Ni
0.32Co
0.04Mn
0.44O
2, all the remaining cases of the transition metals Ni or Mn replaced by Ti or Mo always increase the formation energy of the O-vacancy cluster. Therefore, the doping should be able to inhibit the loss of oxygen and improve the structural stability of material.