-
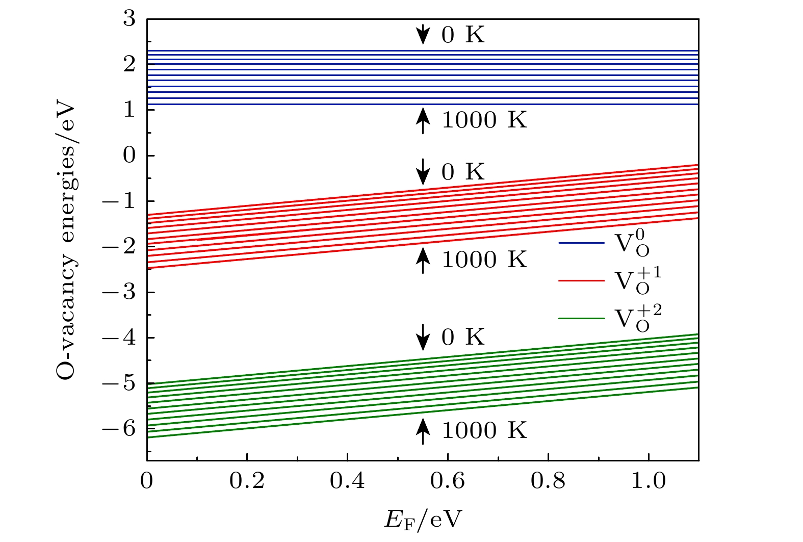
基于密度泛函理论的第一性原理方法, 计算了锂离子电池富锂锰基三元正极材料Li 1.167Ni 0.167Co 0.167Mn 0.5O 2中的氧空位形成, 讨论了环境温度、压强以及点缺陷的存在对氧空位形成能的影响, 还讨论了氧空位对材料容量的影响. 结果表明, 氧空位的形成能随温度的升高而下降, 随氧分压的降低而降低. 对于带电氧空位(
$ {\mathrm{V}}_{\mathrm{O}}^{+1} $ ,$ {\mathrm{V}}_{\mathrm{O}}^{+2} $ ), 空位形成能随着费米能级的升高而增加. 研究还表明, 氧空位的形成对Li 1.167Ni 0.167Co 0.167Mn 0.5O 2材料中电荷密度分布的影响是相当局域的,$ {\mathrm{V}}_{\mathrm{O}}^{0} $ 氧空位形成后仅在氧空位附近的Mn离子周围出现明显的电荷密度的重新分布. 此外, 计算了氧空位附近存在阳离子空位以及替位点缺陷对氧空位形成能的影响. 结果显示, Mn空位的存在能够明显地促进氧空位的产生. 另外, 当Mn被Mo或Fe原子替位时, 氧空位的产生会受到抑制.Using the first-principles method based on the density functional theory, the oxygen vacancy formations in the lithium-rich manganese-based ternary cathode material Li 1.167Ni 0.167Co 0.167Mn 0.5O 2are calculated. The changes of oxygen vacancy formation energy with temperature, oxygen partial pressure and point defects in the material are discussed, meanwhile, the effect of oxygen vacancies on the capacity is also discussed. The calculation results show that the increase of temperature and the decrease of oxygen partial pressure can lead the formation energy of an oxygen vacancy to decline. For the charged oxygen vacancies ($ {\mathrm{V}}_{\mathrm{O}}^{+1} $ ,$ {\mathrm{V}}_{\mathrm{O}}^{+2} $ ), the formation energy of an O-vacancy increases with Fermi level increasing. It is also found that the presence of an oxygen vacancy will trigger off a very local charge density redistributions, mainly around the neighboring Mn ions next to the O-vacancy. Furthermore, the effects of point defects, including cation vacancies and substitutional defects in the vicinity of the O-vacancy, on the formation energy of O-vacancy are also calculated. The results show that the presence of Mn vacancy near the O-vacancy is beneficial to the formation of the O-vacancy. In addition, the formation of oxygen vacancy is suppressed when the Mn atoms near the O-vacancy are substituted by the Mo or Fe atoms.-
Keywords:
- Li-rich Mn-based ternary materials/
- oxygen vacancy/
- defect formation/
- first-principles calculations
[1] [2] [3] [4] [5] [6] [7] [8] [9] [10] [11] [12] [13] [14] [15] [16] [17] [18] [19] [20] [21] [22] [23] [24] [25] [26] [27] [28] [29] [30] [31] -
不同配位环境的氧空位形成能/eV VO-4Li2Mn VO-4LiCoMn VO-3LiNiCoMn VO-3LiNi2Mn $ {\mathrm{V}}_{\mathrm{O}}^{0} $ 2.30 2.80 3.12 3.20 EF= 0 $ {\mathrm{V}}_{\mathrm{O}}^{+1} $ –1.30 –1.13 –0.95 –0.66 $ {\mathrm{V}}_{\mathrm{O}}^{+2} $ –5.02 –4.90 –4.42 –4.40 EF=Egap $ {\mathrm{V}}_{\mathrm{O}}^{0} $ 2.30 2.80 3.12 3.20 $ {\mathrm{V}}_{\mathrm{O}}^{+1} $ –0.20 –0.03 0.15 0.44 $ {\mathrm{V}}_{\mathrm{O}}^{+2} $ –2.82 –2.70 –2.22 –2.20 -
[1] [2] [3] [4] [5] [6] [7] [8] [9] [10] [11] [12] [13] [14] [15] [16] [17] [18] [19] [20] [21] [22] [23] [24] [25] [26] [27] [28] [29] [30] [31]
计量
- 文章访问数:4697
- PDF下载量:146
- 被引次数:0












下载:







