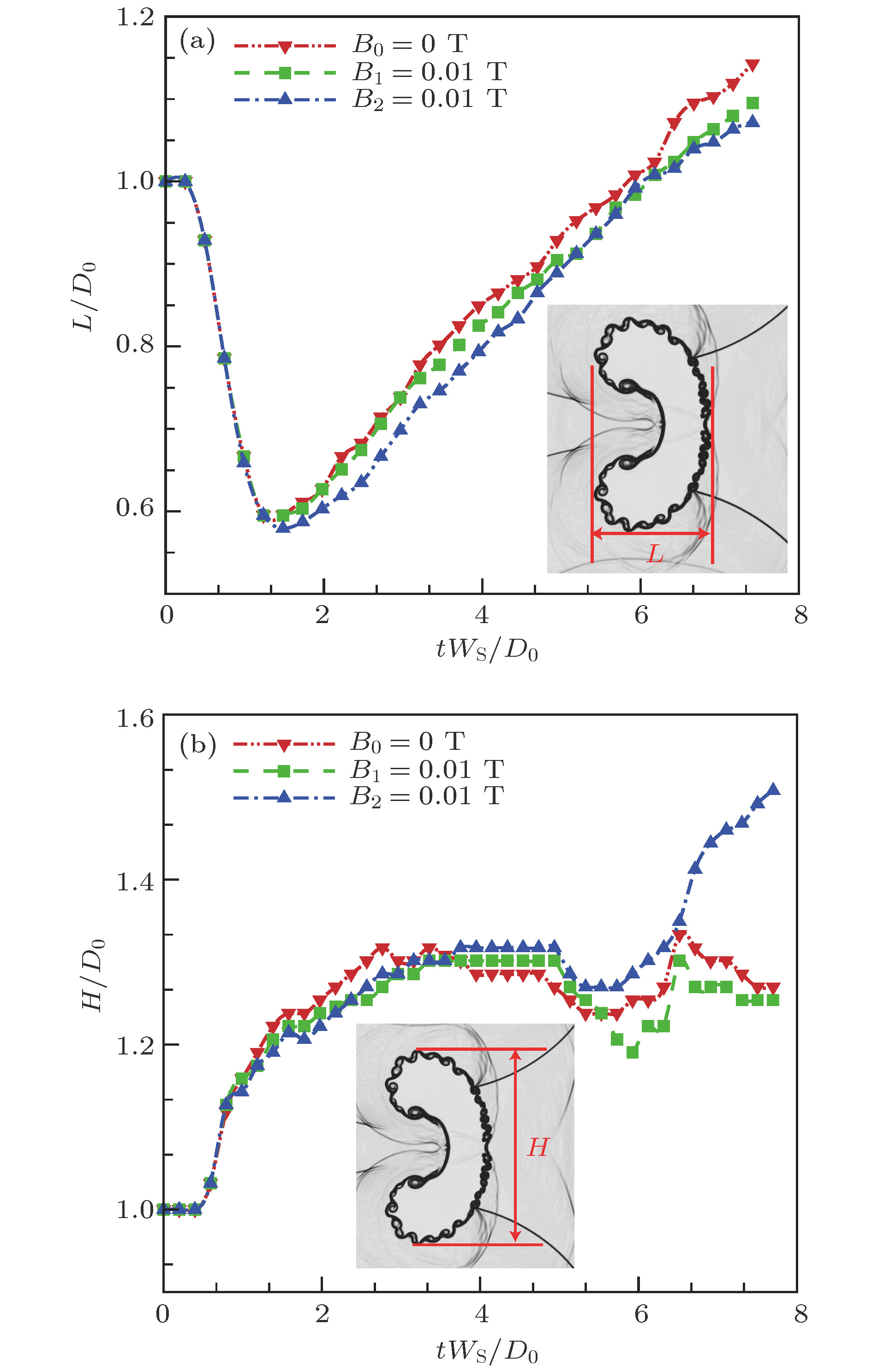
Based on magnetohydrodynamics(MHD), the evolution of the Richtmyer-Meshkov instability in different magnetic field configurations are studied. To ensure the zero magnetic divergence, an unsplit integration algorithm is adopted by combining corner transport upwind and constrained transport (CTU+CT) algorithm. The second order Godunov flux is obtained by using piecewise parabolic method(PPM) to construct conserved variables. The numerical results show that the evolution of complex wave patterns is not affected by magnetic fields, but the interface instability is compressed by magnetic field, especially in the case of transverse magnetic fields. Specifically, whether there exists magnetic field or not, irregular reflections occur outside the cylinder. Meanwhile, the central part of incident shock wave interacts with the density interface and generates the transmitted shock wave. Subsequently, the transmitted shock wave oscillates back and forth inside the cylinder, forming a transmission-reflection structure multiple times. Besides, in the absence of magnetic field, the density interface rolls up with a series of vortex sequences and an SF
6jet surrounded by vortex pairs appears. Then the SF
6jet passes through the downstream interface. In a longitudinal magnetic field, although density interface is smooth, a few vortex sequences still exist in the downstream interface and SF
6jet can still pass through downstream interface. However, in the case of transverse magnetic field, the interface is much smoother than in the other cases and the SF
6jet cannot pass through the downstream interface. The quantitative study also indicate that the increase of characteristic sizes is suppressed by the magnetic field. In addition, because of the influence of Richtmyer-Meshkov instability, magnetic lines are distorted near density interfaces. More distortions can be observed in the upstream interfaces, resulting in strong Lorentz forces in that area, which leads to the long distance between two vortex sheets distributed along two sides of the interface. In the downstream interfaces Lorentz forces are rather small, but the forces are even smaller in the longitudinal magnetic field, as a result vortex sheets interact with each other in that area. Furthermore, the dynamic mode decomposition(DMD) is primarily used in this paper and the results illustrate that even controlled by magnetic fields, vortex sequences can still exist, especially in the case of longitudinal magnetic field. For all cases, the first DMD modes all illustrate that a stable mode is the dominated feature of fluid field, and the following second to fourth mode show that the strength of vortex sequences decreases while their frequencies increase continually. Besides, for the same modes, the frequency of vortex sequences is reduced by magnetic fields, especially by the transverse magnetic field.