On the basis of first-principles calculations, the systematic researches of the structural, electronic and magnetic properties of NaFeF
3are carried out in the present work. The influences of anion substitution and strain effect are taken into consideration in the reaearch.
First, the basic properties of the NaFeF
3bulk are determined. The fully relaxed structure exhibits a distinct GdFeO
3-type distortion and a relatively weak Jahn-Teller distortion. The band gap is estimated at 3 eV from our DFT calculations with Hubbard U correction. Moreover, the magnetic structure is of G-type antiferromagnetism (G-AFM). This intrinsic G-AFM magnetic state is robust, and cannot be easily destroyed by small perturbations, includinganion doping and epitaxial strain.
Secondly, we study the oxygen doping effect on the properties of material with considering the fact that the radius of oxygen anion is very close to that of fluoride anion, and the oxygen substitution can be accommodated by the further oxidation of iron cation from divalent to trivalent state. According to our energy comparison calculations, when one of the twelve F sites in the NaFeF
3unit cell is taken up by an oxygen anion, whose corresponding doping concentration is approximately 8.3%, the O ion is more likely to occupy the in-plane site of the FeF
6octahedron. This low concentration doping may induce unequal Fe—O bonds, which lead to diverse valence states of surrounding Fe cations, and therefore result in local polarization and non-zero net magnetic moment. The local dipole and magnetic moment are inherently correlated with each other due to the common origin, i.e., the incoordinate Fe—O bonds. Therefore, the net magnetic moment together with the local polarization may be reversed simultaneously by an external electric field. However, when the doping concentration is further increased to 33%, the overall iron valence will rise to a higher state where the local charge order and the net moment disappear.
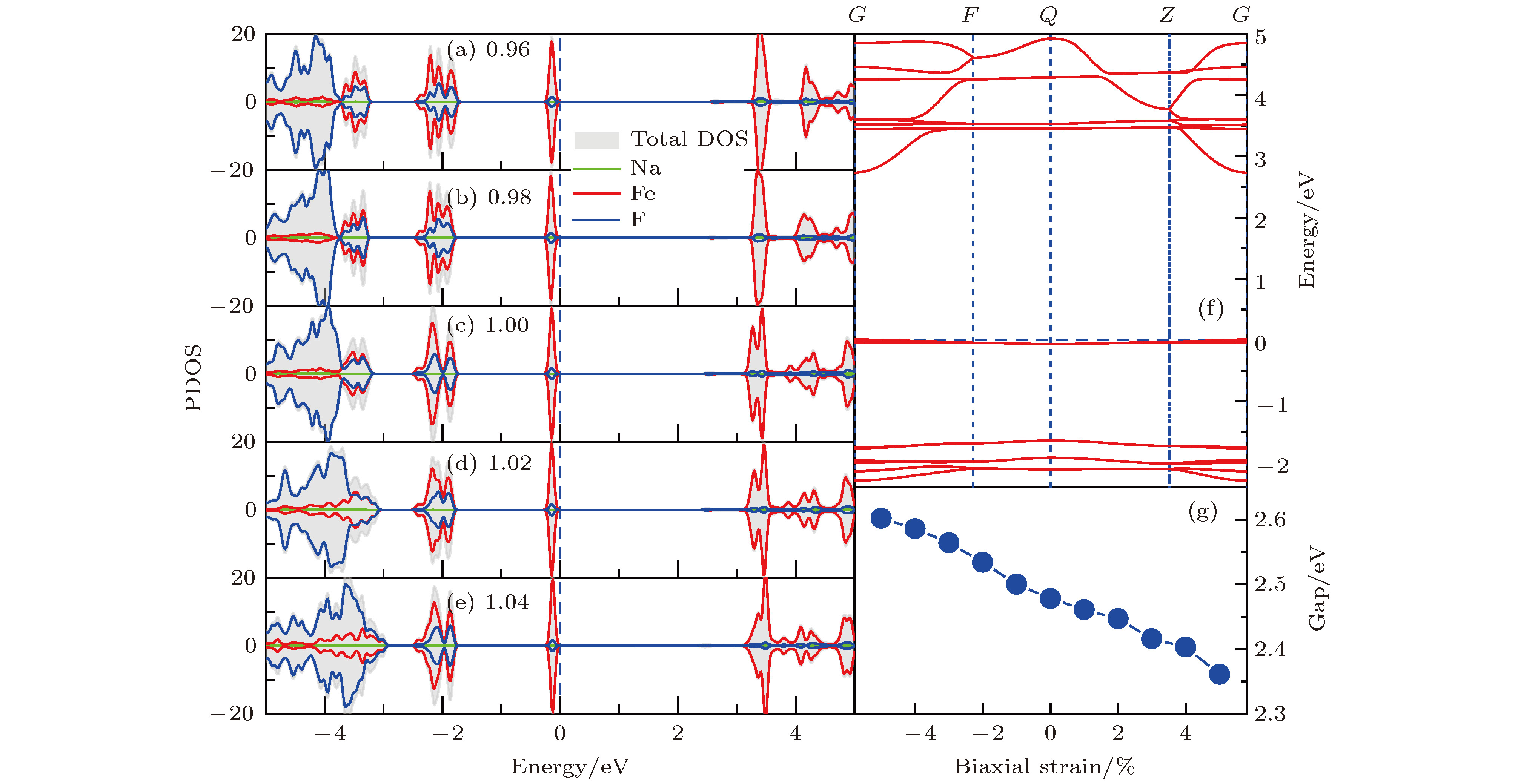
In addition, the electronic properties of NaFeF
3also show obvious change due to the influence of biaxial strain. Specifically, the energy gap decreases monotonically as the in-plane stress gradually changes from compression to extension. However, the band structure does not change significantly. The top of the valence band and the bottom of the conduction band are both located at the Gamma point, thus making it a direct bandgap semiconductor material with an adjustable energy gap.
These findings may promote further theoretical and experimental research on fluoride family and introduce a new candidate to the multiferroic field.