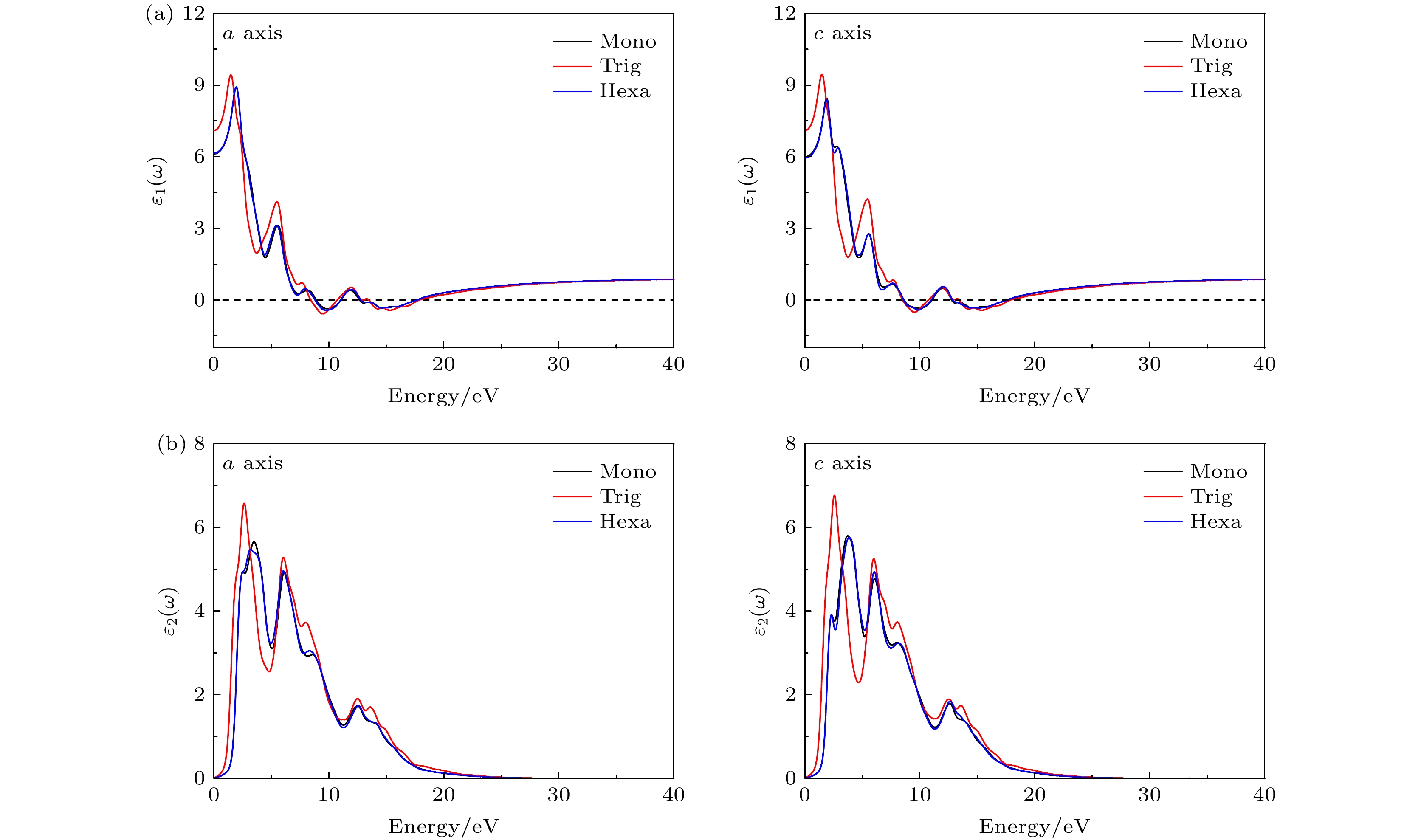
Organic-inorganic halide perovskite materials are widely used in solar cells because of their excellent photoelectric properties. However, the stability and lead toxicity problems associated with materials and devices have restrict their production and development. Compared with the hybrid perovskite, the inorganic lead-free perovskite Cs
3Bi
2I
9has attracted wide attention because of its stronger stability and environmental friendliness. The Cs
3Bi
2I
9has three crystal types: monoclinic type, trigonal type, and hexagonal type. At present, the researches of Cs
3Bi
2I
9focus mainly on the hexagonal phase. In this paper, based on the first principles of density functional theory, the electronic properties, carrier effective mass values, stabilities, and optical properties of Cs
3Bi
2I
9monoclinic, trigonal, and hexagonal phases are studied theoretically. It is suggested that the stabilities of the three crystal phases are similar, and the direct band gap (1.21 eV) of the trigonal phase would be noticeable. For the three phases, their effective mass values show that their properties are the same along both the
adirection and the
bdirection, but different along the
cdirection. The effective mass of electron of the trigonal phase is significantly smaller along the
a-direction than along the
c-direction. Corresponding to the red shift phenomenon of optical properties, the trigonal phase shows the better optical absorption performance than other phases. In addition, the optical properties also show that the properties are the same along the
adirection and the
bdirection, but different along the
cdirection, and the optical absorption performance is better along the
a-direction than along the
c-direction.