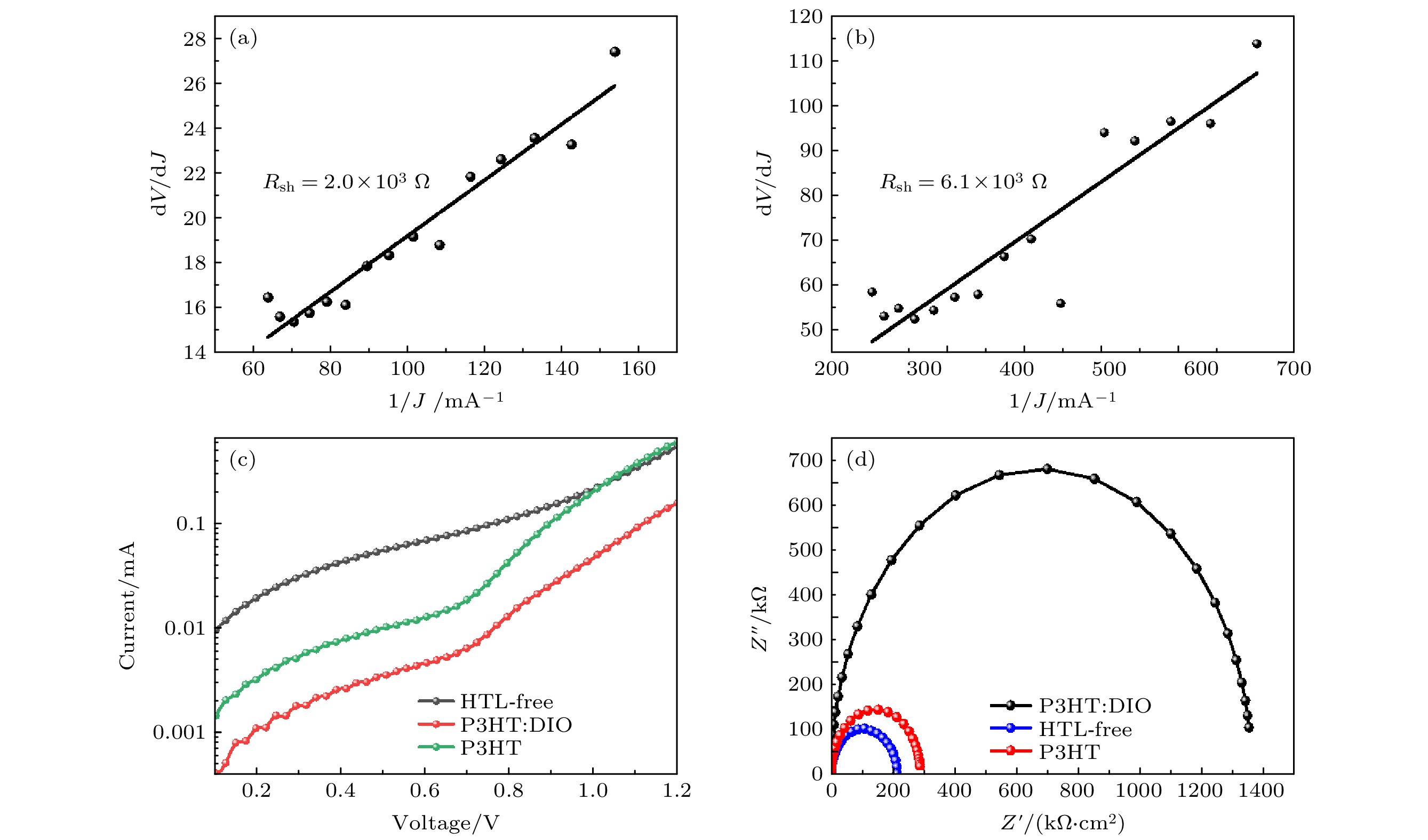
HTL-free carbon-based perovskite solar (PSCs) batteries have the advantages of low cost, simple preparation steps, and high stability, and have broad application prospects. However, the direct contact between the carbon electrode and the active layer causes the photoelectric conversion efficiency of the device to be generally lower than that of other metal electrode perovskite solar cells. Therefore, it is necessary to add a hole-transport layer between the perovskite layer and the electrode to improve the charge transport efficiency and optimize the performance. Poly(3-hexylthiophene) has excellent photoelectric properties and is regarded as one of the suitable hole transport materials for perovskite solar cells. In this paper, P3HT is used as the hole transport layer of the device. Compared with the traditional organic hole-transport layer Spiro-OMeTAD, the P3HT has the advantages of low cost and easy manufacture. However, in the current devices with using P3HT as the hole transport layer, due to the characteristics of the surface morphology and molecular ordering of the P3HT film, the carrier mobility in the film itself is low, resulting in unsatisfactory device performance. Studies have shown that the surface morphology and molecular arrangement of the P3HT film can be changed by doping, and the migration rate of charge-carriers inside the film can be accelerated, thereby improving the photovoltaic performance of the solar cell. In this paper, a printing process is used to print carbon paste on the hole transport layer as the electrode of the device, and spin coating is used to prepare the transport layer. And through the method of doping 1,8-diiodooctane (DIO) in P3HT to optimize the device performance, the photoelectric conversion efficiency of the carbon-based perovskite solar cell is improved, the mobility of holes is improved, and the transportation of electrons is blocked. The reduced interface recombination, the improved interface contact between the carbon electrode and the device, the increased short-circuit current
Jsc and the fill factor FF lead the photoelectric conversion efficiency of the device to increase from 14.06% to 15.11%. We test the light stability of the device under the 1000-h continuous illumination in a nitrogen atmosphere, and the conversion efficiency of the device remains above 98%, indicating that the addition of DIO into P3HT improves not only the photoelectric conversion efficiency of the device, but also the stability.