-
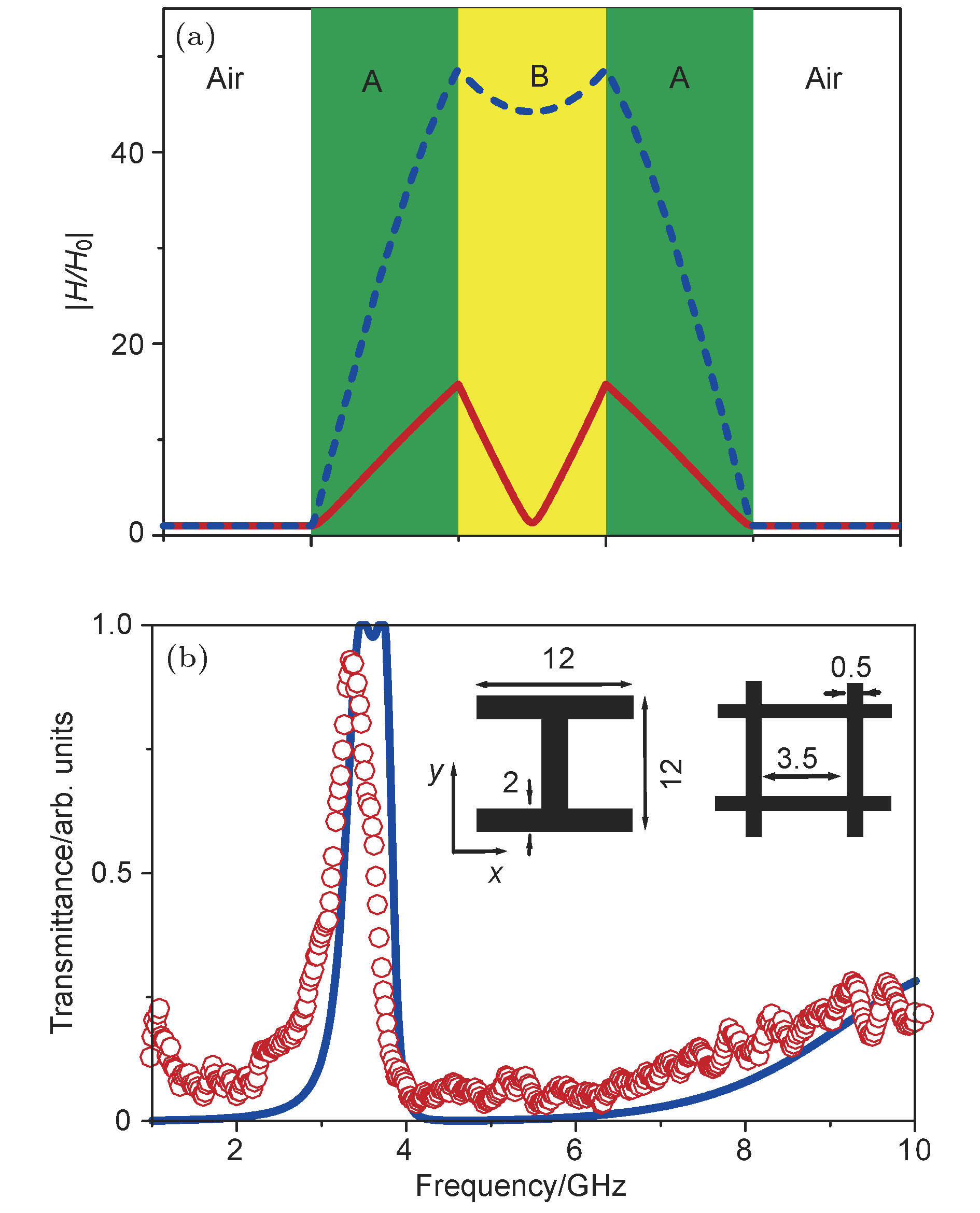
When light passes through an interface between two media with different refractive indices, part of light energy is reflected and thus causes an inevitable optical reflection. Optical anti-reflection is of great importance for applications in a wide range such as solar cells, optical lenses, infrared sensors, and photo-detectors, which has long been a research topic in the fields of optical systems and optoelectronic devices. In this article, the recent research progress of the optical anti-reflection based on subwavelength artificial engineering materials is reviewed. Having made a brief review of conventional anti-reflection methods, we focus on the overview of the newly developed techniques for optical anti-reflection, such as eliminating reflection by exciting the localized surface plasmons, the enhancement of transmission induced by the excitation of propagating surface plasmons, making metals transparent by the help of metamaterials, and the reduction of anti-reflection in long wavelength infrared and terahertz spectral ranges by using metasurfaces. Compared with the conventional anti-reflection methods, the new technique usually does not suffer the limitation of material, and it benefits from enhanced light absorption and wide incidence angle response. The new technique also enables the design of anti-reflection over wide or a multiple wavelength band. Finally, the future opportunities and challenges for further developing the subwavelength artificial engineering microstructures in optical anti-reflection are also predicted.
[1] [2] [3] [4] [5] [6] [7] [8] [9] [10] [11] [12] [13] [14] [15] [16] [17] [18] [19] [20] [21] [22] [23] [24] [25] [26] [27] [28] [29] [30] [31] [32] [33] [34] [35] [36] [37] [38] [39] [40] [41] [42] [43] [44] [45] [46] [47] [48] [49] [50] [51] [52] [53] [54] [55] [56] [57] [58] [59] [60] [61] [62] [63] [64] [65] [66] [67] [68] [69] [70] [71] [72] [73] [74] [75] [76] [77] [78] [79] [80] [81] [82] [83] [84] [85] [86] [87] [88] [89] [90] [91] [92] [93] [94] [95] [96] [97] [98] [99] [100] [101] [102] [103] [104] [105] [106] [107] [108] [109] [110] [111] [112] [113] [114] [115] [116] [117] [118] [119] [120] [121] [122] [123] [124] [125] [126] [127] [128] [129] [130] [131] [132] [133] [134] [135] [136] [137] [138] [139] [140] [141] [142] [143] [144] [145] [146] [147] [148] [149] [150] [151] [152] [153] [154] [155] [156] [157] [158] [159] [160] [161] [162] [163] [164] [165] [166] [167] [168] [169] [170] [171] [172] [173] -
[1] [2] [3] [4] [5] [6] [7] [8] [9] [10] [11] [12] [13] [14] [15] [16] [17] [18] [19] [20] [21] [22] [23] [24] [25] [26] [27] [28] [29] [30] [31] [32] [33] [34] [35] [36] [37] [38] [39] [40] [41] [42] [43] [44] [45] [46] [47] [48] [49] [50] [51] [52] [53] [54] [55] [56] [57] [58] [59] [60] [61] [62] [63] [64] [65] [66] [67] [68] [69] [70] [71] [72] [73] [74] [75] [76] [77] [78] [79] [80] [81] [82] [83] [84] [85] [86] [87] [88] [89] [90] [91] [92] [93] [94] [95] [96] [97] [98] [99] [100] [101] [102] [103] [104] [105] [106] [107] [108] [109] [110] [111] [112] [113] [114] [115] [116] [117] [118] [119] [120] [121] [122] [123] [124] [125] [126] [127] [128] [129] [130] [131] [132] [133] [134] [135] [136] [137] [138] [139] [140] [141] [142] [143] [144] [145] [146] [147] [148] [149] [150] [151] [152] [153] [154] [155] [156] [157] [158] [159] [160] [161] [162] [163] [164] [165] [166] [167] [168] [169] [170] [171] [172] [173]
计量
- 文章访问数:13718
- PDF下载量:461
- 被引次数:0












下载:











